Diketopiperazine and Diphenylether Derivatives from Marine Algae-Derived Aspergillus versicolor OUCMDZ-2738 by Epigenetic Activation
Abstract
1. Introduction
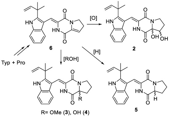
2. Results and Discussion
3. Materials and Methods
3.1. General Experimental Procedures
3.2. Fungal Material
3.3. Cultivation and Extraction of Strain OUCMDZ-2738
3.4. Purification
3.5. Crystallographic Data for Racemic 2
3.6. ECD Calculation Assays
3.7. Methylation of 12
3.8. Antimicrobial Assays
3.9. α-Glucosidase Inhibitory Effect Assays
4. Conclusions
Supplementary Materials
Author Contributions
Funding
Conflicts of Interest
References
- Blunt, J.W.; Copp, B.R.; Keyzers, R.A.; Munro, M.H.G.; Prinsep, M.R. Marine natural products. Nat. Prod. Rep. 2017, 34, 235–294. [Google Scholar] [CrossRef] [PubMed]
- Blunt, J.W.; Carroll, A.R.; Copp, B.R.; Davis, R.A.; Keyzers, R.A.; Prinsep, M.R. Marine natural products. Nat. Prod. Rep. 2018, 35, 8–53. [Google Scholar] [CrossRef]
- Zhu, T.H.; Ma, Y.N.; Wang, W.L.; Chen, Z.B.; Qin, S.D.; Du, Y.Q.; Wang, D.Y.; Zhu, W.M. New marine natural products from the marine-derived fungi other than Penicillium sp. and Aspergillus sp. (1951–2014). Chin. J. Mar. Drugs 2015, 34, 56–108. [Google Scholar] [CrossRef]
- Zhuang, Y.; Teng, X.; Wang, Y.; Liu, P.; Li, G.; Zhu, W. New quinazolinone alkaloids within rare amino acid residue from coral-associated fungus, Aspergillus versicolor LCJ-5-4. Org. Lett. 2011, 13, 1130–1133. [Google Scholar] [CrossRef] [PubMed]
- Ji, N.Y.; Liu, X.H.; Miao, F.P.; Qiao, M.F. Aspeverin, a new alkaloid from an algicolous strain of Aspergillus versicolor. Org. Lett. 2013, 15, 2327–2329. [Google Scholar] [CrossRef] [PubMed]
- Cheng, Z.; Lou, L.; Liu, D.; Li, X.; Proksch, P.; Yin, S.; Lin, W. Versiquinazolines A−K, fumiquinazoline-type alkaloids from the gorgonian-derived fungus Aspergillus versicolor LZD-14-1. J. Nat. Prod. 2016, 79, 2941–2952. [Google Scholar] [CrossRef] [PubMed]
- Shan, W.G.; Wu, Z.Y.; Pang, W.W.; Ma, L.F.; Ying, Y.M.; Zhan, Z.J. α-Glucosidase inhibitors from the fungus Aspergillus versicolor 3.05358. Chem. Biodivers. 2015, 12, 1718–1724. [Google Scholar] [CrossRef]
- Miao, F.P.; Li, X.D.; Liu, X.H.; Cichewicz, R.H.; Ji, N.Y. Secondary metabolites from an algicolous Aspergillus versicolor strain. Mar. Drugs 2012, 10, 131–139. [Google Scholar] [CrossRef] [PubMed]
- Shi, T.; Qi, J.; Shao, C.L.; Zhao, D.L.; Hou, X.M.; Wang, C.Y. Bioactive diphenyl ethers and isocoumarin derivatives from a gorgonian-derived fungus Phoma sp. (TA07-1). Mar. Drugs 2017, 15, 146. [Google Scholar] [CrossRef] [PubMed]
- Williams, R.B.; Henrikson, J.C.; Hoover, A.R.; Lee, A.E.; Cichewicz, R.H. Epigenetic remodeling of the fungal secondary metabolome. Org. Biomol. Chem. 2008, 6, 1857–2020. [Google Scholar] [CrossRef] [PubMed]
- Cichewicz, R.H. Epigenome manipulation as a pathway to new natural product scaffolds and their congeners. Nat. Prod. Rep. 2010, 27, 11–22. [Google Scholar] [CrossRef] [PubMed]
- Sun, K.; Zhu, G.; Hao, J.; Wang, Y.; Zhu, W. Chemical-epigenetic method to enhance the chemodiversity of the marine algicolous fungus, Aspergillus terreus OUCMDZ-2739. Tetrahedron 2018, 74, 83–87. [Google Scholar] [CrossRef]
- Sun, K.; Zhu, G.; Hao, J.; Wang, Y.; Zhu, W. Corrigendum to “Chemical-epigenetic method to enhance the chemodiversity of the marine algicolous fungus, Aspergillus terreus OUCMDZ-2739” [Tetrahedron 74 (2018) 83–87]. Tetrahedron 2018, 74, 6465–6466. [Google Scholar] [CrossRef]
- Henrikson, J.C.; Hoover, A.R.; Joyner, P.M.; Cichewicz, R.H. A chemical epigenetics approach for engineering the in situ biosynthesis of a cryptic natural product from Aspergillus niger. Org. Biomol. Chem. 2009, 7, 435–438. [Google Scholar] [CrossRef] [PubMed]
- Li, G.; Kusari, S.; Golz, C.; Laatsch, H.; Strohmann, C.; Spiteller, M. Epigenetic modulation of endophytic Eupenicillium sp. LG41 by a histone deacetylase inhibitor for production of decalin-containing compounds. J. Nat. Prod. 2017, 80, 983–988. [Google Scholar] [CrossRef]
- El-Hawary, S.S.; Sayed, A.M.; Mohammed, R.; Hassan, H.M.; Zaki, M.A.; Rateb, M.E.; Mohammed, T.A.; Amin, E.; Abdelmohsen, U.R. Epigenetic modifiers induce bioactive phenolic metabolites in the marine-derived fungus Penicillium brevicompactum. Mar. Drugs 2018, 16, 253. [Google Scholar] [CrossRef]
- Liu, H.; Chen, Z.; Zhu, G.; Wang, L.; Du, Y.; Wang, Y.; Zhu, W. Phenolic polyketides from the marine alga-derived Streptomyces sp. OUCMDZ-3434. Tetrahedron 2017, 73, 5451–5455. [Google Scholar] [CrossRef]
- Du, Y.; Sun, J.; Gong, Q.; Wang, Y.; Fu, P.; Zhu, W. New α-pyridones with quorum sensing inhibitory activity from diversity-enhanced extracts of a marine algae-derived Streptomyces sp. J. Agric. Food Chem. 2018, 66, 1807–1812. [Google Scholar] [CrossRef]
- Chen, Z.; Hao, J.; Wang, L.; Wang, Y.; Kong, F.; Zhu, W. New α-glucosidase inhibitors from marine algae-derived Streptomyces sp. OUCMDZ-3434. Sci. Rep. 2016, 6, 20004. [Google Scholar] [CrossRef]
- Li, G.Y.; Li, L.M.; Yang, T.; Chen, X.Z.; Fang, D.M.; Zhang, G.L. Four new alkaloids, brevianamides O–R, from the fungus Aspergillus versicolor. Helv. Chim. Acta. 2010, 93, 2075–2080. [Google Scholar] [CrossRef]
- Song, F.; Liu, X.; Guo, H.; Ren, B.; Chen, C.; Andrew, M.P.; Yu, K.; Gao, H.; Wang, Q.; Liu, M.; et al. Brevianamides with antitubercular potential from a marine-derived isolate of Aspergillus versicolor. Org. Lett. 2012, 14, 4770–4773. [Google Scholar] [CrossRef] [PubMed]
- Kong, X.; Cai, S.; Zhu, T.; Gu, Q.; Li, D.; Luan, Y. Secondary metabolites of a deep sea derived fungus Aspergillus versicolor CXCTD-06-6a and their bioactivity. J. Ocean Univ. China 2014, 13, 691–695. [Google Scholar] [CrossRef]
- Li, G.Y.; Yang, T.; Luo, Y.G.; Chen, X.Z.; Fang, D.M.; Zhang, G.L.; Brevianamide, J. A new indole alkaloid dimer from fungus Aspergillus versicolor. Org. Lett. 2009, 11, 3714–3717. [Google Scholar] [CrossRef] [PubMed]
- Zhuravleva, O.I.; Kirichuk, N.N.; Denisenko, V.A.; Dmitrenok, P.S.; Yurchenko, E.A.; Minʹko, E.M.; Ivanets, E.V.; Afiyatullov, S.S. New diorcinol J produced by co-cultivation of marine fungi Aspergillus sulphureus and Isaria felina. Chem. Nat. Compd. 2016, 52, 227–230. [Google Scholar] [CrossRef]
- Itabashi, T.; Nozawa, K.; Nakajima, S.; Kawai, K. A new azaphilone, falconensin H., from Emericella falconensis. Chem. Pharm. Bull. 1993, 41, 2040–2041. [Google Scholar] [CrossRef]
- Yamamoto, Y.; Nitta, K.; Oohata, Y.; Furukawa, T. Studies on the metabolic products of a strain of Aspergillus fumigatus DH 413. V. A new metabolite produced by ethionine inhibition. Chem. Pharm. Bull. 1972, 20, 931–935. [Google Scholar] [CrossRef]
- Gong, D.L.; Wang, X.J.; Xiang, Z.D.; Wang, J.D.; Zhang, H.; Liu, C.X.; Zhang, J.; Xiang, W.S. Diphenyl etheric metabolites from Streptomyces sp. neau50. J. Antibiot. 2011, 64, 465–467. [Google Scholar] [CrossRef]
- Smith, S.G.; Goodman, J.M. Assigning stereochemistry to single diastereoisomers by GIAO NMR calculation: The DP4 probability. J. Am. Chem. Soc. 2010, 132, 12946–12959. [Google Scholar] [CrossRef]
- Berova, N.; Di Bari, L.; Pescitelli, G. Application of electronic circular dichroism in configurational and conformational analysis of organic compounds. Chem. Soc. Rev. 2007, 36, 914–931. [Google Scholar] [CrossRef]
- Chomcheon, P.; Wiyakrutta, S.; Sriubolmas, N.; Ngamrojanavanich, N.; Kengtong, S.; Mahidol, C.; Ruchirawat, S.; Kittakoop, P. Aromatase inhibitory, radical scavenging, and antioxidant activities of depsidones and diaryl ethers from the endophytic fungus Corynespora cassiicola L36. Phytochemistry 2009, 70, 407–413. [Google Scholar] [CrossRef]
- Shen, C.C.; Syu, W.J.; Li, S.Y.; Lin, C.H.; Lee, G.H.; Sun, C.M. Antimicrobial activities of naphthazarins from Arnebia euchroma. J. Nat. Prod. 2002, 65, 1857–1862. [Google Scholar] [CrossRef] [PubMed]
- Li, X.D.; Li, X.M.; Xu, G.M.; Zhang, P.; Wang, B.G. Antimicrobial phenolic bisabolanes and related derivatives from Penicillium aculeatum SD-321, a deep sea sediment-derived fungus. J. Nat. Prod. 2015, 78, 844–849. [Google Scholar] [CrossRef] [PubMed]
- Wang, C.; Guo, L.; Hao, J.; Wang, L.; Zhu, W. α-Glucosidase inhibitors from the marine-derived fungus Aspergillus flavipes HN4-13. J. Nat. Prod. 2016, 79, 2977–2981. [Google Scholar] [CrossRef] [PubMed]







| No. | 1 | 2 | ||
|---|---|---|---|---|
| δC, Type | δH, Mult. (J in Hz) | δC, Type | δH, Mult. (J in Hz) | |
| 1 | 12.01, brs | 165.7, C | ||
| 2 | 156.2, C | |||
| 3 | 155.2, C | 125.1, C | ||
| 4 | 161.3, C | |||
| 5 | 120.8, CH | 7.01, s | ||
| 6 | 138.0, C | 44.7, CH2 | 3.96, m; 3.72, m | |
| 7 | 27.6, CH2 | 2.79, t (7.5) | 29.0, CH2 | 1.93, m; 2.41, m |
| 8 | 31.1, CH2 | 2.41, t (7.5) | 76.4, CH | 4.41, m |
| 9 | 173.7, C | 91.0, C | ||
| 10 | 38.4, CH2 | 2.25, d (7.3) | 115.1, CH | 7.29, s |
| 11 | 27.5, CH | 1.91, m | 104.5, C | |
| 12 | 21.9, CH3 | 0.85, d (6.6) | 127.4, C | |
| 13 | 21.9, CH3 | 0.85, d (6.6) | 120.2, CH | 7.37, d (7.9) |
| 14 | 121.3, CH | 7.07, dd (7.9, 7.9) | ||
| 15 | 122.6, CH | 7.12, dd (7.9, 7.9) | ||
| 16 | 112.6, CH | 7.43, d (7.9) | ||
| 17 | 136.8, C | |||
| NH2 | 6.72, s; 7.30, s | |||
| 19 | 146.2, C | |||
| 20 | 40.5, C | |||
| 21 | 146.1, CH | 6.11, dd (17.3, 10.6) | ||
| 22 | 112.6, CH2 | 5.10, d (10.6); 5.13, d (17.3) | ||
| 23 | 28.1, CH3 | 1.57, s | ||
| 24 | 28.3, CH3 | 1.54, s | ||
| No. | 12 | 12a | 12 [27] | |||
|---|---|---|---|---|---|---|
| δC, Type | δH, Mult. (J in Hz) | δC, Type | δH, Mult. (J in Hz) | δC, Type | δH, Mult. (J in Hz) | |
| 1 | 156.4, C | 156.9, C | 155.9, C | |||
| 2 | 103.8, CH | 6.22, dd (1.2, 1.2) | 102.3, CH | 6.42, d (1.2) | 105.0, CH | 6.44, brs |
| 3 | 158.6, C | 160.5, C | 156.8, C | |||
| 4 | 112.1, CH | 6.41, brs | 110.4, CH | 6.58, brs | 112.6, CH | 6.49, brs |
| 5 | 140.5, C | 140.6, C | 141.2, C | |||
| 6 | 110.8, CH | 6.30, brs | 111.7, CH | 6.42, d (1.2) | 113.4, CH | 6.37, brs |
| 1′ | 159.1, C | 158.4, C | 162.3, C | |||
| 2′ | 110.9, CH | 6.35, d (2.1) | 111.2, CH | 6.40, d (2.1) | 113.0, CH | 6.37, d (2.5) |
| 3′ | 139.1, C | 137.5, C | 143.6, C | |||
| 4′ | 114.8, C | 118.6, C | 107.0, CH | |||
| 5′ | 157.7, C | 157.6, C | 165.0, C | |||
| 6′ | 102.7, CH | 6.27, d (2.1) | 100.2, CH | 6.61, d (2.1) | 103.2, CH | 6.34, d (2.5) |
| 1′′ | 168.6, C | 167.6, C | 172.0, C | |||
| 5-Me | 21.1, CH3 | 2.20, s | 21.2, CH3 | 2.25, s | 21.4, CH3 | 2.28, s |
| 3′-Me | 20.2, CH3 | 2.21, s | 19.0, CH3 | 2.14, s | 24.2, CH3 | 2.50, s |
| 3-OMe | 55.3, CH3 | 3.72, s | ||||
| 5′-OMe | 56.0, CH3 | 3.72, s | ||||
| 1′′-OMe | 51.9, CH3 | 3.78, s | 52.1, CH3 | 3.78, s | 51.9, CH3 | 3.94, s |
| 3-OH | 10.21, brs | 11.66, s | ||||
| 5′-OH | 9.61, brs | |||||
| Compounds | MIC (μM) | |||||||
|---|---|---|---|---|---|---|---|---|
| B. subtilis | P. aeruginosa | C. perfringens | S. aureusa | E. coli | S. aureusb | C. albicans | C. glabrata | |
| 1 | >200 | >200 | >200 | >200 | >200 | >200 | >200 | >200 |
| 2 | >200 | >200 | >200 | >200 | >200 | >200 | >200 | >200 |
| 3 | >200 | >200 | >200 | >200 | >200 | >200 | >200 | >200 |
| 4 | >200 | >200 | >200 | >200 | >200 | >200 | >200 | >200 |
| 5 | >200 | >200 | >200 | >200 | >200 | >200 | >200 | >200 |
| 6 | >200 | 92.2 | >200 | 184.4 | >200 | 184.4 | >200 | >200 |
| 7 | >200 | >200 | >200 | >200 | >200 | >200 | >200 | >200 |
| 8 | >200 | 46.2 | >200 | >200 | >200 | 184.8 | >200 | >200 |
| 9 | >200 | 101.9 | >200 | >200 | >200 | >200 | >200 | >200 |
| 10 | >200 | 50.9 | >200 | >200 | >200 | >200 | >200 | >200 |
| 11 | 69.6 | 17.4 | 139.2 | >200 | >200 | >200 | >200 | >200 |
| 12 | >128 | 13.9 | 55.6 | >200 | >200 | 55.6 | 111.2 | 27.8 |
| Ciprofloxacin | 48.4 | 96.8 | 0.75 | 0.75 | 12.1 | 0.75 | ND | ND |
| Ketoconazole | ND | ND | ND | ND | ND | ND | 7.6 | 3.8 |
© 2018 by the authors. Licensee MDPI, Basel, Switzerland. This article is an open access article distributed under the terms and conditions of the Creative Commons Attribution (CC BY) license (http://creativecommons.org/licenses/by/4.0/).
Share and Cite
Liu, W.; Wang, L.; Wang, B.; Xu, Y.; Zhu, G.; Lan, M.; Zhu, W.; Sun, K. Diketopiperazine and Diphenylether Derivatives from Marine Algae-Derived Aspergillus versicolor OUCMDZ-2738 by Epigenetic Activation. Mar. Drugs 2019, 17, 6. https://doi.org/10.3390/md17010006
Liu W, Wang L, Wang B, Xu Y, Zhu G, Lan M, Zhu W, Sun K. Diketopiperazine and Diphenylether Derivatives from Marine Algae-Derived Aspergillus versicolor OUCMDZ-2738 by Epigenetic Activation. Marine Drugs. 2019; 17(1):6. https://doi.org/10.3390/md17010006
Chicago/Turabian StyleLiu, Wen, Liping Wang, Bin Wang, Yanchao Xu, Guoliang Zhu, Mengmeng Lan, Weiming Zhu, and Kunlai Sun. 2019. "Diketopiperazine and Diphenylether Derivatives from Marine Algae-Derived Aspergillus versicolor OUCMDZ-2738 by Epigenetic Activation" Marine Drugs 17, no. 1: 6. https://doi.org/10.3390/md17010006
APA StyleLiu, W., Wang, L., Wang, B., Xu, Y., Zhu, G., Lan, M., Zhu, W., & Sun, K. (2019). Diketopiperazine and Diphenylether Derivatives from Marine Algae-Derived Aspergillus versicolor OUCMDZ-2738 by Epigenetic Activation. Marine Drugs, 17(1), 6. https://doi.org/10.3390/md17010006

