α-Glucosidase Inhibitors: Diphenyl Ethers and Phenolic Bisabolane Sesquiterpenoids from the Mangrove Endophytic Fungus Aspergillus flavus QQSG-3
Abstract
1. Introduction
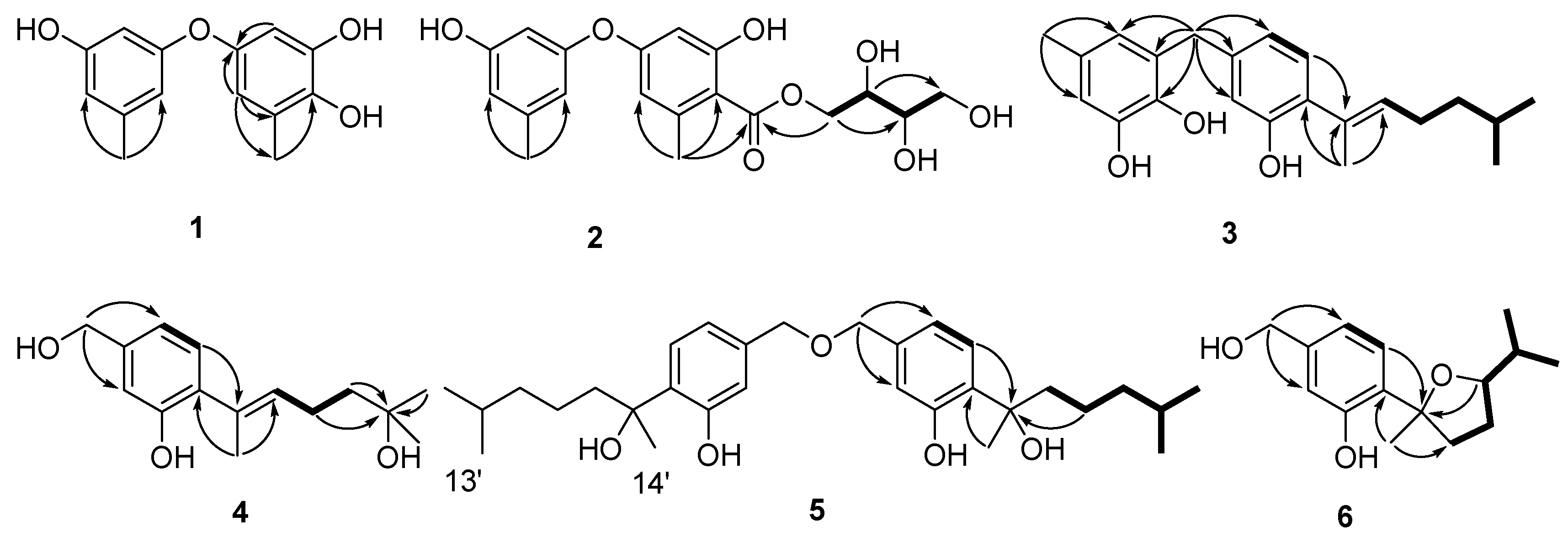
2. Results
3. Experimental Section
3.1. General Experimental Procedures
3.2. Fungal Materials
3.3. Extraction and Isolation
- Compound 1: colorless oil; UV (MeOH) λmax (logε): 220 (4.23), 281 (3.47) nm; IR (KBr) νmax: 3371, 2934, 1614, 1476, 1307, 1139, 1046, 840 cm−1; 1H and 13C NMR data, see Table 1; HRESIMS m/z 247.0962 [M + H]+ (calcd. for 247.0964).
- Compound 2: colorless oil; UV (MeOH) λmax (logε): 216 (5.12), 264 (3.55), 305 (1.36) nm; IR (KBr) νmax: 3362, 2915, 1672, 1590, 1461, 1306, 1266, 1168 cm−1; 1H and 13C NMR data, see Table 1; HRESIMS m/z 377.1245 [M − H]− (calcd. for 377.1242).
- Compound 3: pale yellow oil; UV (MeOH) λmax (logε): 213 (4.98), 285 (2.16) nm; IR (KBr) νmax: 3468, 2956, 1623, 1493, 1412, 1306, 1184 cm−1; 1H and 13C NMR data, see Table 2; HRESIMS m/z 339.1963 [M − H]− (calcd. for 339.1965).
- Compound 4: colorless oil; UV (MeOH) λmax (logε): 233 (4.27), 285 (3.63) nm; IR (KBr) νmax: 3414, 2931, 1550, 1317, 846 cm−1; 1H and 13C NMR data, see Table 2; HRESIMS m/z 249.1498 [M − H]− (calcd. for 249.1496).
- Compound 5: colorless oil; + 3.2 (c 0.18, MeOH); UV (MeOH) λmax (logε): 203 (4.05), 221 (3.51), 280 (1.17) nm; IR (KBr) νmax: 3387, 2948, 1379, 1282, 772 cm−1; ECD λmax (∆ε): 209 (−1.20), 227 (+1.29), 279 (+1.65); 1H and 13C NMR data, see Table 3; HRESIMS m/z 485.3271 [M − H]− (calcd. for 485.3272).
- Compound 6: colorless oil; + 22.3 (c 0.05, MeOH); UV (MeOH) λmax (logε): 202 (4.32), 218 (3.98), 279 (3.55) nm; IR (KBr) νmax: 3224, 2932, 1388, 1022, 872 cm−1; ECD λmax (∆ε): 210 (−0.20), 222 (+1.94), 278 (+0.98); 1H and 13C NMR data, see Table 2; HRESIMS m/z 249.1497 [M − H]− (calcd. for 249.1496).
3.4. Biological Assays
4. Conclusions
Supplementary Materials
Author Contributions
Funding
Conflicts of Interest
References
- Wang, J.F.; Wei, X.Y.; Qin, X.C.; Tian, X.P.; Liao, L.; Li, K.M.; Zhou, X.F.; Yang, X.W.; Wang, F.Z.; Zhang, T.Y.; et al. Antiviral Merosesquiterpenoids Produced by the Antarctic Fungus Aspergillus ochraceopetaliformis SCSIO 05702. J. Nat. Prod. 2016, 79, 59–65. [Google Scholar] [CrossRef] [PubMed]
- Tan, Y.H.; Yang, B.; Lin, X.P.; Luo, X.W.; Pang, X.Y.; Tang, L.; Liu, Y.H.; Li, X.J.; Zhou, X.F. Nitrobenzoyl Sesquiterpenoids with Cytotoxic Activities from a Marine-Derived Aspergillus ochraceus Fungus. J. Nat. Prod. 2018, 81, 92–97. [Google Scholar] [CrossRef] [PubMed]
- Liu, Z.M.; Chen, Y.; Chen, S.H.; Liu, Y.Y.; Lu, Y.J.; Chen, D.N.; Lin, Y.C.; Huang, X.S.; She, Z.G. Aspterpenacids A and B, Two Sesterterpenoids from a Mangrove Endophytic Fungus Aspergillus terreus H010. Org. Lett. 2016, 18, 1406–1409. [Google Scholar] [CrossRef] [PubMed]
- Ma, Y.M.; Liang, X.A.; Zhang, H.C.; Liu, R. Cytotoxic and Antibiotic Cyclic Pentapeptide from an Endophytic Aspergillus tamarii of Ficus carica. J. Agric. Food Chem. 2016, 64, 3789–3793. [Google Scholar] [CrossRef] [PubMed]
- Zheng, J.K.; Xu, Z.H.; Wang, Y.; Hong, K.; Liu, P.P.; Zhu, W.M. Cyclic Tripeptides from the Halotolerant Fungus Aspergillus sclerotiorum PT06-1. J. Nat. Prod. 2010, 73, 1133–1137. [Google Scholar] [CrossRef] [PubMed]
- Liu, L.; Bao, L.; Wang, L.; Ma, K.; Han, J.J.; Yang, Y.L.; Liu, R.X.; Ren, J.W.; Yin, W.B.; Wang, W.Z.; et al. Asperorydines A–M: Prenylated Tryptophan-Derived Alkaloids with Neurotrophic Effects from Aspergillus oryzae. J. Org. Chem. 2018, 83, 812–822. [Google Scholar] [CrossRef] [PubMed]
- Wang, C.; Guo, L.; Hao, J.J.; Wang, L.P.; Zhu, W.M. α-Glucosidase Inhibitors from the Marine-Derived Fungus Aspergillus flavipes HN4-13. J. Nat. Prod. 2016, 79, 2977–2981. [Google Scholar] [CrossRef] [PubMed]
- Li, W.S.; Xiong, P.; Zheng, W.X.; Zhu, X.W.; She, Z.G.; Ding, W.J.; Li, C.Y. Identification and Antifungal Activity of Compounds from the Mangrove Endophytic Fungus Aspergillus clavatus R7. Mar. Drugs 2017, 15, 259. [Google Scholar] [CrossRef] [PubMed]
- Myobatake, Y.; Takemoto, K.; Kamisuki, S.; Inoue, N.; Takasaki, A.; Takeuchi, T.; Mizushina, Y.; Sugawara, F. Cytotoxic Alkylated Hydroquinone, Phenol, and Cyclohexenone Derivatives from Aspergillus violaceofuscus Gasperini. J. Nat. Prod. 2014, 77, 1236–1240. [Google Scholar] [CrossRef] [PubMed]
- Liu, S.; Dai, H.F.; Konuklugil, B.; Orfali, R.S.; Lin, W.H.; Kalscheuer, R.; Liu, Z.; Proksch, P. Phenolic bisabolanes from the sponge-derived fungus Aspergillus sp. Phytochem. Lett. 2016, 18, 187–191. [Google Scholar] [CrossRef]
- Li, D.; Xu, Y.; Shao, C.L.; Yang, R.Y.; Zheng, C.J.; Chen, Y.Y.; Fu, X.M.; Qian, P.Y.; She, Z.G.; de Voogd, N.J.; et al. Antibacterial Bisabolane-Type Sesquiterpenoids from the Sponge-Derived Fungus Aspergillus sp. Mar. Drugs 2012, 10, 234–241. [Google Scholar] [CrossRef] [PubMed]
- Fujiwara, M.; Yagi, N.; Miyazawa, M. Acetylcholinesterase Inhibitory Activity of Volatile Oil from Peltophorum dasyrachis Kurz ex Bakar (Yellow Batai) and Bisabolane-Type Sesquiterpenoids. J. Agric. Food Chem. 2010, 58, 2824–2829. [Google Scholar] [CrossRef] [PubMed]
- Lu, Z.Y.; Zhu, H.J.; Fu, P.; Wang, Y.; Zhang, Z.H.; Lin, H.P.; Liu, P.P.; Zhuang, Y.B.; Hong, K.; Zhu, W.M. Cytotoxic Polyphenols from the Marine-Derived Fungus Penicillium expansum. J. Nat. Prod. 2010, 73, 911–914. [Google Scholar] [CrossRef] [PubMed]
- Takamatsu, S.; Hodges, T.W.; Rajbhandari, I.; Gerwick, W.H.; Hamann, M.T.; Nagle, D.G. Marine Natural Products as Novel Antioxidant Prototypes. J. Nat. Prod. 2003, 66, 605–608. [Google Scholar] [CrossRef] [PubMed]
- Liu, Z.M.; Xia, G.P.; Chen, S.H.; Liu, Y.Y.; Li, H.X.; She, Z.G. Eurothiocin A and B, Sulfur-Containing Benzofurans from a Soft Coral-Derived Fungus Eurotium rubrum SH-823. Mar. Drugs 2014, 12, 3669–3680. [Google Scholar] [CrossRef] [PubMed]
- Liu, Y.Y.; Wu, Y.N.; Zhai, R.; Liu, Z.M.; Huang, X.S.; She, Z.G. Altenusin derivatives from mangrove endophytic fungus Alternaria sp. SK6YW3L. RSC Adv. 2016, 6, 72127–72132. [Google Scholar] [CrossRef]
- Chen, S.H.; Liu, Z.M.; Lu, Y.J.; Xia, G.P.; He, L.; She, Z.G. New depsidones and isoindolinones from the mangrove endophytic fungus Meyerozyma guilliermondii (HZ-Y2) isolated from the South China Sea. Beilstein J. Org. Chem. 2015, 11, 1187–1193. [Google Scholar] [CrossRef] [PubMed]
- Liu, Y.Y.; Chen, S.H.; Liu, Z.M.; Xia, G.P.; He, L.; She, Z.G. Bioactive Metabolites from Mangrove Endophytic Fungus Aspergillus sp. 16-5B. Mar. Drugs 2015, 13, 3091–3102. [Google Scholar] [CrossRef] [PubMed]
- Bunyapaiboonsri, T.; Yoiprommarat, S.; Intereya, K.; Kocharin, K. New Diphenyl Ethers from the Insect Pathogenic Fungus Cordyceps sp. BCC 1861. Chem. Pharm. Bull. 2007, 55, 304–307. [Google Scholar] [CrossRef] [PubMed]
- Trisuwan, K.; Rukachaisirikul, V.; Kaewpet, M.; Phongpaichit, S.; Hutadilok-Towatana, N.; Preedanon, S.; Sakayaroj, J. Sesquiterpene and Xanthone Derivatives from the Sea Fan-Derived Fungus Aspergillus sydowii PSU-F154. J. Nat. Prod. 2011, 74, 1663–1667. [Google Scholar] [CrossRef] [PubMed]
- Li, X.D.; Li, X.M.; Xu, G.M.; Zhang, P.; Wang, B.G. Antimicrobial Phenolic Bisabolanes and Related Derivatives from Penicillium aculeatum SD-321, a Deep Sea Sediment-Derived Fungus. J. Nat. Prod. 2015, 78, 844–849. [Google Scholar] [CrossRef] [PubMed]
- Wang, P.; Yu, J.H.; Zhu, K.K.; Wang, Y.Y.; Cheng, Z.Q.; Jiang, C.S.; Dai, J.G.; Wu, J.; Zhang, H. Phenolic bisabolane sesquiterpenoids from a Thai mangrove endophytic fungus, Aspergillus sp. xy02. Fitoterapia 2018, 127, 322–327. [Google Scholar] [CrossRef] [PubMed]
- Takenaka, Y.; Tanahashi, T.; Nagakura, N.; Hamada, N. Phenyl Ethers from Cultured Lichen Mycobionts of Graphis scripta var. serpentina and G. rikuzensis. Chem. Pharm. Bull. 2003, 51, 794–797. [Google Scholar] [CrossRef]
- Sumarah, M.W.; Kesting, J.R.; Sørensen, D.; Miller, J.D. Antifungal metabolites from fungal endophytes of Pinus strobus. Phytochemistry 2011, 72, 1833–1837. [Google Scholar] [CrossRef] [PubMed]
- Nukina, M.; Sato, Y.; Ikeda, M.; Sassa, T. Sydonol, a New Fungal Morphogenic Substance Produced by an Unidentified Aspergillus sp. Agric. Biol. Chem. 1981, 45, 789–790. [Google Scholar] [CrossRef]
- Wang, J.F.; Lu, Z.Y.; Liu, P.P.; Wang, Y.; Li, J.; Hong, K.; Zhu, W.M. Cytotoxic Polyphenols from the Fungus Penicillium expansum 091006 Endogenous with the Mangrove Plant Excoecaria agallocha. Planta Med. 2012, 78, 1861–1866. [Google Scholar] [PubMed]
- Rivera-Chávez, J.; Figueroa, M.; González, M.D.C.; Glenn, A.E.; Mata, R. α-Glucosidase Inhibitors from a Xylaria feejeensis Associated with Hintonia latif lora. J. Nat. Prod. 2015, 78, 730–735. [Google Scholar] [CrossRef] [PubMed]
- Rivera-Chávez, J.; González-Andrade, M.; González, M.D.C.; Glenn, A.E.; Mata, R. Thielavins A, J and K: α-Glucosidase inhibitors from MEXU 27095, an endophytic fungus from Hintonia latiflora. Phytochemistry 2013, 94, 198–205. [Google Scholar] [CrossRef] [PubMed]


| No. | 1 | 2 | ||
|---|---|---|---|---|
| δC | δH | δC | δH | |
| 1 | 149.4 | 163.6 | ||
| 2 | 105.5 | 6.43, d (2.6) | 103.7 | 6.23, s |
| 3 | 144.0 | 164.9 | ||
| 4 | 138.4 | 109.9 | ||
| 5 | 125 | 144.6 | ||
| 6 | 114.1 | 6.41, d (2.6) | 113.1 | 6.35, s |
| 7 | 15.8 | 2.22, s | 24.0 | 2.53, s |
| 8 | 172.4 | |||
| 9 | 68.4 | 4.40, dd (6.6, 11.6) 4.62, dd (2.8, 11.6) | ||
| 10 | 71.1 | 3.89, td (2.8, 6.8) | ||
| 11 | 73.7 | 3.63, m | ||
| 12 | 64.6 | 3.65, dd (5.3, 8.0) 3.77, dd (5.7, 7.7) | ||
| 1′ | 159.6 | 159.9 | ||
| 2′ | 102.3 | 6.22, dd (3.6, 2.1) | 105.7 | 6.27, s |
| 3′ | 156.5 | 157.4 | ||
| 4′ | 111.1 | 6.34, brs | 113.6 | 6.47, s |
| 5′ | 141.1 | 142.2 | ||
| 6′ | 110.5 | 6.34, brs | 113.4 | 6.35, s |
| 7′ | 21.6 | 2.24, s | 21.5 | 2.26, s |
| No. | 3 | 4 | 6 | |||
|---|---|---|---|---|---|---|
| δC | δH | δC | δH | δC | δH | |
| 1 | 154.9 | 155.2 | 155.8 | |||
| 2 | 131.6 | 133.2 | 132.0 | |||
| 3 | 130.5 | 6.88, d (7.7) | 130.3 | 6.99, d (7.7) | 127.2 | 7.14, d (7.9) |
| 4 | 121.1 | 6.63, dd (7.7, 1.4) | 119.1 | 6.75, d (7.7) | 119.0 | 6.78, dd (7.9, 1.1) |
| 5 | 142.5 | 142.3 | 142.8 | |||
| 6 | 116.8 | 6.60, d (1.4) | 115.0 | 6.77, s | 116.0 | 6.75, d (1.1) |
| 7 | 135.6 | 135.4 | 87.2 | |||
| 8 | 130.1 | 5.38, td (1.3, 7.2) | 130.8 | 5.43, td (1.1, 7.1) | 39.5 | 2.14, 2.40, m |
| 9 | 27.2 | 2.15, m | 24.5 | 2.25, m | 29.7 | 1.71, 1.86, m |
| 10 | 40.0 | 1.33, m | 44.3 | 1.60, m | 86.4 | 3.65, m |
| 11 | 28.9 | 1.61, m | 71.4 | 34.4 | 1.75, m | |
| 12 | 23.0 | 0.93, d (6.6) | 29.2 | 1.23, s | 18.9 | 0.93, d (6.7) |
| 13 | 23.0 | 0.93, d (6.6) | 29.2 | 1.23, s | 19.5 | 1.03, d (6.7) |
| 14 | 17.3 | 1.94, s | 17.2 | 1.96, s | 29.5 | 1.50, s |
| 15 | 36.1 | 3.80, s | 65.0 | 4.5, s | 64.9 | 4.50, s |
| 16 | 129.2 | |||||
| 17 | 141.9 | |||||
| 18 | 145.9 | |||||
| 19 | 114.8 | 6.47, d (1.3) | ||||
| 20 | 129.7 | |||||
| 21 | 122.9 | 6.34, d (1.3) | ||||
| 22 | 20.9 | 2.13, s | ||||
| No. | δC | δH | No. | δC | δH |
|---|---|---|---|---|---|
| 1 (1′) | 157.0 | 9 (9′) | 23.0 | 1.27, m | |
| 2 (2′) | 131.9 | 10 (10′) | 40.5 | 1.13, m | |
| 3 (3′) | 127.7 | 7.10, d (7.9) | 11 (11′) | 29.0 | 1.48, m |
| 4 (4′) | 119.8 | 6.78, d (7.9) | 12 (12′) | 23.0 | 0.82, d (6.6) |
| 5 (5′) | 139.5 | 13 (13′) | 23.0 | 0.82, d (6.6) | |
| 6 (6′) | 117.1 | 6.76, s | 14 (14′) | 29.0 | 1.58, s |
| 7 (7′) | 78.0 | 15 (15′) | 72.6 | 4.44, s | |
| 8 (8′) | 44.0 | 1.77, 1.88, m |
| Compounds | 1 | 2 | 3 | 4 | 5 | 6 | 7 | 8 | 9 | 10 | 11 | Acarbose a |
|---|---|---|---|---|---|---|---|---|---|---|---|---|
| IC50 (μM) | 165.2 | 129.9 | 4.5 | - | 3.1 | - | 532.5 | - | - | 1.5 | 2.3 | 840.2 |
© 2018 by the authors. Licensee MDPI, Basel, Switzerland. This article is an open access article distributed under the terms and conditions of the Creative Commons Attribution (CC BY) license (http://creativecommons.org/licenses/by/4.0/).
Share and Cite
Wu, Y.; Chen, Y.; Huang, X.; Pan, Y.; Liu, Z.; Yan, T.; Cao, W.; She, Z. α-Glucosidase Inhibitors: Diphenyl Ethers and Phenolic Bisabolane Sesquiterpenoids from the Mangrove Endophytic Fungus Aspergillus flavus QQSG-3. Mar. Drugs 2018, 16, 307. https://doi.org/10.3390/md16090307
Wu Y, Chen Y, Huang X, Pan Y, Liu Z, Yan T, Cao W, She Z. α-Glucosidase Inhibitors: Diphenyl Ethers and Phenolic Bisabolane Sesquiterpenoids from the Mangrove Endophytic Fungus Aspergillus flavus QQSG-3. Marine Drugs. 2018; 16(9):307. https://doi.org/10.3390/md16090307
Chicago/Turabian StyleWu, Yingnan, Yan Chen, Xishan Huang, Yahong Pan, Zhaoming Liu, Tao Yan, Wenhao Cao, and Zhigang She. 2018. "α-Glucosidase Inhibitors: Diphenyl Ethers and Phenolic Bisabolane Sesquiterpenoids from the Mangrove Endophytic Fungus Aspergillus flavus QQSG-3" Marine Drugs 16, no. 9: 307. https://doi.org/10.3390/md16090307
APA StyleWu, Y., Chen, Y., Huang, X., Pan, Y., Liu, Z., Yan, T., Cao, W., & She, Z. (2018). α-Glucosidase Inhibitors: Diphenyl Ethers and Phenolic Bisabolane Sesquiterpenoids from the Mangrove Endophytic Fungus Aspergillus flavus QQSG-3. Marine Drugs, 16(9), 307. https://doi.org/10.3390/md16090307

