Three New Cytotoxic Steroidal Glycosides Isolated from Conus pulicarius Collected in Kosrae, Micronesia
Abstract
:1. Introduction
2. Results
2.1. Isolation of Cholesterol Derivatives from the Conus Pulicarius Cone Snails
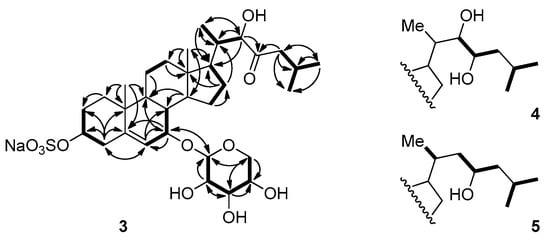
2.2. Structure Elucidation of the Isolated Compounds
3. Discussion
4. Materials and Methods
4.1. General Procedures
4.2. Biological Material Collection, Extraction, and Isolation
4.3. Cytotoxicity Assay
Supplementary Materials
Acknowledgments
Author Contributions
Conflicts of Interest
References
- Franco, A.; Pisarewicz, K.; Moller, C.; Mora, D.; Fields, G.B.; Mari, F. Hyperhydroxylation: A new strategy for neuronal targeting by venomous marine molluscs. In Molluscs: From Chemo-Ecological Study to Biotechnological Application, 1st ed.; Cimino, G., Gavagnin, M., Eds.; Springer: Berlin/Heidelberg, Germany, 2006; pp. 83–103. [Google Scholar]
- Cruz, L.J.; Gray, W.R.; Oliviera, B.M. Purification and properties of a myotoxin from Conus geographus venom. Arch. Biochem. Biophys. 1978, 190, 539–548. [Google Scholar] [CrossRef]
- Olivera, B.M.; Gray, W.R.; Zeikus, R.; McIntosh, J.M.; Varga, J.; Rivier, J.; de Santos, V.; Cruz, L.J. Peptide neurotoxins from fish-hunting cone snails. Science 1985, 230, 1338–1343. [Google Scholar] [CrossRef] [PubMed]
- Brady, R.M.; Baell, J.B.; Norton, R.S. Strategies for the development of conotoxins as new therapeutic leads. Mar. Drugs 2013, 11, 2293–2313. [Google Scholar] [CrossRef] [PubMed]
- Munasinghe, N.R.; Christie, M.J. Conotoxins that could provide analgesia through voltage gated sodium channel inhibition. Toxins 2015, 7, 5386–5407. [Google Scholar] [CrossRef] [PubMed]
- Aknin, M.; Faure, I.V.; Gaydou, E.M. 5α,8α-Epidioxycholest-6-en-3-β-ol from three cone snails of the Indian Ocean. J. Am. Oil Chem. Soc. 1998, 75, 1679–1681. [Google Scholar] [CrossRef]
- Neves, J.L.B.; Lin, Z.; Imperial, J.S.; Antunes, A.; Vasconcelos, V.; Oliviera, B.M.; Schmidt, E.W. Small molecules in the cone snail arsenal. Org. Lett. 2015, 17, 4933–4935. [Google Scholar] [CrossRef] [PubMed]
- Lin, Z.; Antemano, R.R.; Hughen, R.W.; Tianero, M.D.B.; Peraud, O.; Haygood, M.G.; Concepcion, G.P.; Oliviera, B.M.; Light, A.; Schmidt, E.W. Pulicatins A–E, neuroactive thiazoline metabolites from cone snail-associated bacteria. J. Nat. Prod. 2010, 73, 1922–1926. [Google Scholar] [CrossRef] [PubMed]
- Gunatilaka, A.A.L.; Gopichand, Y.; Schmitz, F.J.; Djerassi, C. Minor and trace sterols in marine invertebrates. 26. Isolation and structure elucidation of nine new 5α,8α-epidoxy sterols from four marine organisms. J. Org. Chem. 1981, 46, 3860–3866. [Google Scholar] [CrossRef]
- Miyamoto, T.; Honda, M.; Sugiyama, S.; Higuchi, R.; Komori, T. Isolation and structure of two 5,8α-epidioxysterols and a cholesteryl ester mixture from the albumen gland of Aplysia juliana. Liebigs Ann. Chem. 1988, 1988, 589–592. [Google Scholar] [CrossRef]
- Minn, C.V.; Kiem, P.V.; Huong, L.M.; Kim, Y.H. Cytotoxic constituents of Diadema setosum. Arch. Pharm. Res. 2004, 27, 734–737. [Google Scholar] [CrossRef]
- Kakiyama, G.; Ogawa, S.; Iida, T.; Fujimoto, Y.; Mushiake, K.; Goto, T.; Mano, N.; Goto, J.; Nambara, T. Nuclear magnetic resonance spectroscopy of 3β,7β-dihydroxy-5-cholen-24-oic acid multi-conjugates: Unusual bile acid metabolites in human urine. Chem. Phys. Lipids 2006, 140, 48–54. [Google Scholar] [CrossRef] [PubMed]
- Li, H.-P.; Yu, P.; Zhang, H.-J.; Liu, H.-M. Synthesis of 5-androstene-3β,7α,17β-triol and 5-androstene-3β,7β,17β-triol. Chin. J. Chem. 2008, 26, 1666–1668. [Google Scholar] [CrossRef]
- De Riccardis, F.; Minale, L.; Iorizzi, M.; Debitus, C.; Lévi, C. Marine Sterols. Side-chain-oxygenated sterols, possibly of abiotic origin, from the New Caledonian sponge Stelodoryx chlorophylla. J. Nat. Prod. 1993, 56, 282–287. [Google Scholar] [CrossRef]
- D’Auria, M.V.; Minale, L.; Riccio, R. Polyoxygenated steroids of marine origin. Chem. Rev. 1993, 93, 1839–1895. [Google Scholar] [CrossRef]
- Ivanchina, N.V.; Kicha, A.A.; Stonik, V.A. Steroid glycosides from marine organisms. Steroids 2011, 76, 425–454. [Google Scholar] [CrossRef] [PubMed]
- Malyarenko, T.V.; Kicha, A.A.; Ivanchina, N.V.; Kalinovsky, A.I.; Popov, R.S.; Vishchuk, O.S.; Stonik, V.A. Asterosaponins from the Far Eastern starfish Leptasterias ochotensis and their anticancer activity. Steroids 2014, 87, 119–127. [Google Scholar] [CrossRef] [PubMed]
- Nguyen, P.T.; Luyen, B.T.T.; Kim, E.-J.; Kang, H.-K.; Kim, S.; Cuong, N.X.; Nam, N.H.; Kiem, P.V.; Minh, C.V.; Kim, Y.H. Asterosaponins from the starfish Astropecten monacanthus suppress growth and induce apoptosis in HL-60, PC-3, and SNU-C5 human cancer cell lines. Biol. Pharm. Bull. 2014, 37, 315–321. [Google Scholar]
- Ngoan, B.T.; Hanh, T.T.H.; Vien, L.T.; Diep, C.N.; Thao, N.P.; Thao, D.T.; Thanh, N.V.; Cuong, N.X.; Nam, N.H.; Thung, D.C.; et al. Asterosaponins and glycosylated polyhydroxysteroids from the starfish Culcita novaeguineae and their cytotoxic activities. J. Asian Nat. Prod. Res. 2015, 17, 1010–1017. [Google Scholar] [CrossRef] [PubMed]
- Kang, J.-X.; Kang, Y.-F.; Han, H. Three new cytotoxic polyhydroxysteroidal glycosides from starfish Craspidaster hesperus. Mar. Drugs 2016, 14, 189. [Google Scholar] [CrossRef] [PubMed]
- Calabro, K.; Kalahroodi, E.L.; Rodrigues, D.; Díaz, C.; de la Cruz, M.; Cautain, B.; Laville, R.; Reyes, F.; Pérez, T.; Soussi, B.; et al. Poecillastrosides, steroidal saponins from the Mediterranean deep-sea sponge Poecillastra compressa (Bowerbank, 1866). Mar. Drugs 2017, 15, 199. [Google Scholar] [CrossRef] [PubMed]
- Kicha, A.A.; Kalinovsky, A.I.; Ivanchina, N.V.; Malyarenko, T.V.; Dmitrenok, P.S.; Kuzmich, A.S.; Sokolova, E.V.; Stonik, V.A. Furostane series asterosaponins and other unusual steroid oligoglycosides from the tropical starfish Pentaceraster regulus. J. Nat. Prod. 2017, 80, 2761–2770. [Google Scholar] [CrossRef] [PubMed]
- Ishiyama, M.; Shiga, M.; Sasamoto, K.; Mizoguchi, M.; He, P.-G. A new sulfonated tetrazolium salt that produces a highly water-soluble formazan dye. Chem. Pharm. Bull. 1993, 41, 1118–1122. [Google Scholar] [CrossRef]
- Wang, X.-D.; Li, C.-Y.; Jiang, M.-M.; Li, D.; Wen, P.; Song, X.; Chen, J.-D.; Guo, L.-X.; Hu, X.-P.; Li, G.-Q.; et al. Induction of apoptosis in human leukemia cells through an intrinsic pathway by cathachunine, a unique alkaloid isolated from Catharanthus roseus. Phytomedicine 2016, 23, 641–653. [Google Scholar] [CrossRef] [PubMed]




| Postion | 3 | 4 | 5 | |||
|---|---|---|---|---|---|---|
| δC | δH (J in Hz) | δC | δH (J in Hz) | δC | δH (J in Hz) | |
| 1α | 37.6 | 1.23 (m) | 37.7 | 1.22 (m) | 37.7 | 1.22 (m) |
| 1β | 1.88 (m) | 1.86 (m) | 1.88 (m) | |||
| 2α | 29.7 | 2.07 (br d, 12.9) | 29.7 | 2.07 (br d, 12.0) | 29.8 | 2.07 (br d, 12.4) |
| 2β | 1.65 (m) | 1.65 (m) | 1.64 (m) | |||
| 3 | 79.3 | 4.21 (dddd, 16.0, 13.0, 4.8, 4.8) | 79.3 | 4.20 (dddd, 15.0, 13.1, 5.5, 5.2) | 79.3 | 4.20 (dddd, 16.0, 13.1, 4.5, 4.5) |
| 4α | 40.4 | 2.61 (dd, 13.0, 4.8) | 40.4 | 2.61 (dd, 13.1, 5.2) | 40.4 | 2.61 (dd, 13.1, 4.5) |
| 4β | 2.40 (dd, 13.0, 13.0) | 2.42 (dd, 13.1, 13.1) | 2.42 (dd, 13.1, 13.1) | |||
| 5 | 148.2 | 148.1 | 148.2 | |||
| 6 | 122.0 | 5.74 (dd, 5.5, 1.5) | 122.1 | 5.74 (dd, 5.0, 1.3) | 122.1 | 5.73 (dd, 4.9, 1.3) |
| 7 | 70.1 | 3.98 (br s) | 70.1 | 4.00 (br s) | 70.2 | 3.96 (br s) |
| 8 | 38.5 | 1.55 (ovl) | 38.7 | 1.53 (ovl) | 38.4 | 1.53 (ovl) |
| 9 | 43.0 | 1.54 (ovl) | 43.0 | 1.54 (ovl) | 43.0 | 1.54 (ovl) |
| 10 | 38.7 | 38.4 | 38.7 | |||
| 11α | 21.8 | 1.54 (ovl) | 21.8 | 1.54 (ovl) | 21.8 | 1.54 (ovl) |
| 11β | 1.21 (ovl) | 1.29 (ovl) | 1.29 (ovl) | |||
| 12α | 40.0 | 1.23 (ovl) | 40.5 | 1.22 (ovl) | 40.4 | 1.21 (ovl) |
| 12β | 1.93 (m) | 1.98 (br d, 12.4) | 2.00 (br d, 12.4) | |||
| 13 | 43.0 | 43.0 | 43.3 | |||
| 14 | 49.8 | 1.72 (m) | 49.8 | 1.68 (m) | 49.7 | 1.63 (m) |
| 15α | 24.6 | 1.97 (ovl) | 24.7 | 1.95 (ovl) | 24.8 | 1.92 (ovl) |
| 15β | 1.10 (m) | 1.09 (m) | 1.05 (m) | |||
| 16α | 29.0 | 1.98 (ovl) | 28.9 | 1.95 (m) | 29.6 | 2.05 (m) |
| 16β | 1.44 (m) | 1.25 (ovl) | 1.21 (ovl) | |||
| 17 | 53.3 | 1.57 (ovl) | 53.4 | 1.56 (ovl) | 58.2 | 1.15 (m) |
| 18 | 11.9 | 0.75 (s) | 11.8 | 0.71 (s) | 11.9 | 0.70 (s) |
| 19 | 18.5 | 1.03 (s) | 18.6 | 1.02 (s) | 18.6 | 1.02 (s) |
| 20 | 40.1 | 1.97 (m) | 38.9 | 1.53 (m) | 35.2 | 1.44 (m) |
| 21 | 13.3 | 0.76 (d, 6.8) | 12.6 | 0.91 (d 6.4) | 20.0 | 0.98 (d, 6.4) |
| 22 | 80.8 | 4.12 (br s) | 78.2 | 3.31 (ovl) | 46.3 | 1.44 (ovl) |
| 1.54 (ovl) | ||||||
| 23 | 215.0 | 72.2 | 3.55 (ddd, 10.5, 8.2, 2.6) | 69.1 | 3.69 (m) | |
| 24 | 48.5 | 2.38 (dd, 18.3, 6.8) | 43.3 | 1.14 (ddd, 13.6, 10.5, 2.6) | 47.5 | 1.22 (ovl) |
| 1.96 (ovl) | 1.24 (ovl) | 1.25 (ovl) | ||||
| 25 | 25.4 | 2.12 (m) | 25.3 | 1.86 (m) | 25.5 | 1.84 (m) |
| 26 | 22.9 | 0.91 (d, 6.8) | 21.7 | 0.92 (d, 6.6) | 22.0 | 0.90 (d, 6.7) |
| 27 | 23.0 | 0.93 (d, 6.8) | 24.5 | 0.94(d, 6.7) | 22.0 | 0.92 (d, 6.7) |
| 1′ | 101.3 | 4.40 (d, 7.4) | 101.3 | 4.40 (d, 7.4) | 101.3 | 4.40 (d, 7.5) |
| 2′ | 75.2 | 3.10 (dd, 8.9, 7.4) | 75.2 | 3.10 (dd, 8.9, 7.4) | 75.2 | 3.10 (dd, 8.9, 7.5) |
| 3′ | 77.9 | 3.31 (ovl) | 77.8 | 3.33 (ovl) | 77.9 | 3.32 (ovl) |
| 4′ | 71.4 | 3.46 (ddd, 10.0, 9.0, 5.3) | 71.4 | 3.46 (ddd, 10.2, 9.4, 5.3) | 71.4 | 3.47 (ddd, 9.9, 8.9, 5.3) |
| 5′α | 66.8 | 3.83 (dd, 11.4, 5.3) | 66.8 | 3.83 (dd, 11.4, 5.3) | 66.8 | 3.83 (dd, 11.4, 5.3) |
| 5′β | 3.19 (dd, 11.4, 10.0) | 3.19 (dd, 11.4, 10.2) | 3.19 (dd, 11.4, 9.9) | |||
© 2017 by the authors. Licensee MDPI, Basel, Switzerland. This article is an open access article distributed under the terms and conditions of the Creative Commons Attribution (CC BY) license (http://creativecommons.org/licenses/by/4.0/).
Share and Cite
Lee, Y.-J.; Han, S.; Kim, S.H.; Lee, H.-S.; Shin, H.J.; Lee, J.S.; Lee, J. Three New Cytotoxic Steroidal Glycosides Isolated from Conus pulicarius Collected in Kosrae, Micronesia. Mar. Drugs 2017, 15, 379. https://doi.org/10.3390/md15120379
Lee Y-J, Han S, Kim SH, Lee H-S, Shin HJ, Lee JS, Lee J. Three New Cytotoxic Steroidal Glycosides Isolated from Conus pulicarius Collected in Kosrae, Micronesia. Marine Drugs. 2017; 15(12):379. https://doi.org/10.3390/md15120379
Chicago/Turabian StyleLee, Yeon-Ju, Saem Han, Su Hyun Kim, Hyi-Seung Lee, Hee Jae Shin, Jong Seok Lee, and Jihoon Lee. 2017. "Three New Cytotoxic Steroidal Glycosides Isolated from Conus pulicarius Collected in Kosrae, Micronesia" Marine Drugs 15, no. 12: 379. https://doi.org/10.3390/md15120379
APA StyleLee, Y.-J., Han, S., Kim, S. H., Lee, H.-S., Shin, H. J., Lee, J. S., & Lee, J. (2017). Three New Cytotoxic Steroidal Glycosides Isolated from Conus pulicarius Collected in Kosrae, Micronesia. Marine Drugs, 15(12), 379. https://doi.org/10.3390/md15120379

