Abstract
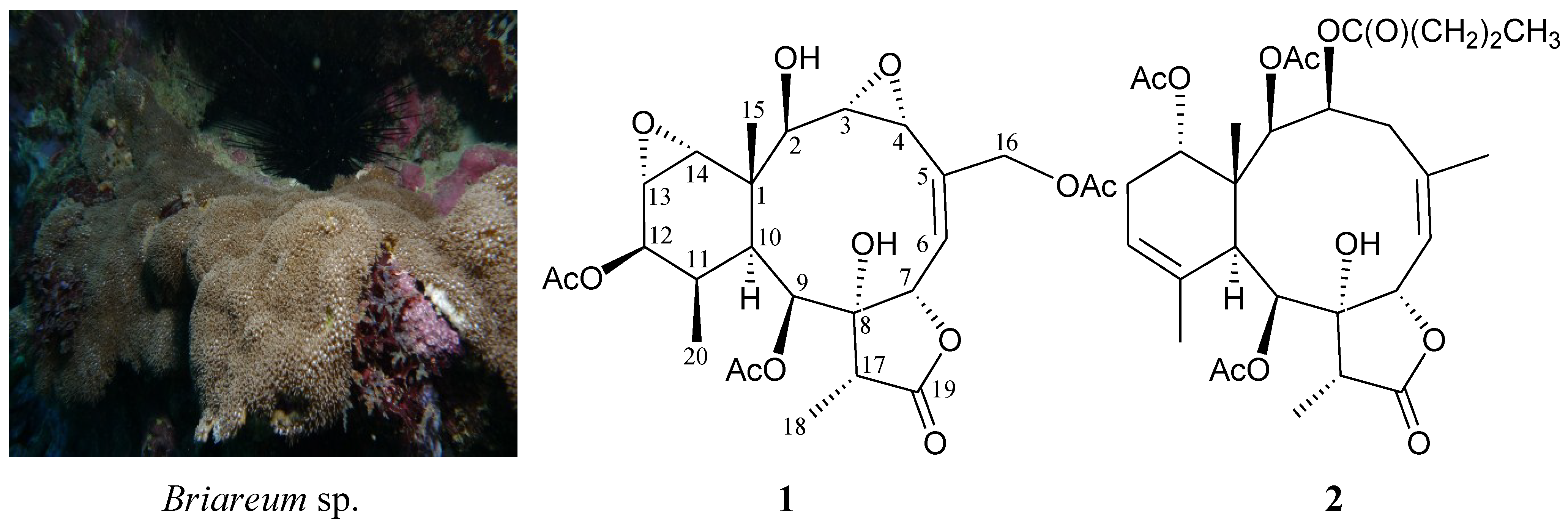
Two new briarane-type diterpenoids, briarenolides K (1) and L (2), were isolated from an octocoral identified as Briareum sp. The structures of new briaranes 1 and 2 were elucidated by spectroscopic methods. In the in vitro anti-inflammatory effects test, briaranes 1 and 2 were found to significantly inhibit the accumulation of the pro-inflammatory iNOS protein of the lipopolysaccharide (LPS)-stimulated RAW264.7 macrophage cells.
1. Introduction
Among the diterpenoids isolated from octocorals, the 3,8-cyclized cembranoidal diterpenes (briarane) are major representative compounds. Briarane-type natural products are found only in marine organisms and mainly from octocorals [1,2,3,4,5]. The compounds of this type are suggested to be originally synthesized by host corals [6,7] and have been proven to possess various interesting bioactivities [1,2,3,4,5]. The octocorals belonging to the genus Briareum (phylum Cnidaria, class Anthozoa, subclass Octocorallia, order Gorgonacea, suborder Scleraxonia, family Briareidae) have been proven to be the most important source of briarane analogues [1,2,3,4,5]. The genus Briareum is distributed widely in the Indo-Pacific Ocean and the Caribbean Sea and is placed taxonomically within the orders Gorgonacea and Alcyonacea [8,9,10,11]. Previous chemical investigations of octocorals belonging to the genus Briareum, collected off the waters of Taiwan, at the intersection of the Kuroshio current and the South China Sea surface current, have yielded numbers of briarane analogues [12,13,14,15,16,17,18,19,20,21,22,23,24,25,26,27,28,29,30,31,32,33,34,35,36,37,38,39,40,41,42,43,44]. In our continuing studies of this interesting organism, a sample collected at the Southern Tip, Taiwan, identified as Briareum sp. [45,46,47,48,49], yielded two new briaranes, briarenolides K (1) (Scheme 1 and Supplementary Figures S1–S7) and L (2) (Scheme 1 and Supplementary Figures S8–S14). In this paper, we report the isolation, structure determination and anti-inflammatory activity of briaranes 1 and 2.
Scheme 1.
The octocoral Briareum sp. and the structures of briarenolides K (1) and L (2).
Scheme 1.
The octocoral Briareum sp. and the structures of briarenolides K (1) and L (2).

2. Results and Discussion
Briarenolide K (1), −291 (c 0.2, CHCl3), was isolated as a white powder. The molecular formula of 1 was established as C26H34O12 (ten degrees of unsaturation) from a sodium adduct at m/z 561 in the electrospray ionization mass spectrum (ESIMS) and further supported by the high-resolution electrospray ionization mass spectrum (HRESIMS) at m/z 561.19435 (calcd. for C26H34O12 + Na, 561.19425). The IR spectrum of 1 showed bands at 3366, 1781 and 1733 cm−1, consistent with the presence of hydroxy, γ-lactone and ester carbonyl groups.
Table 1.
1H (400 MHz, CDCl3) and 13C (100 MHz, CDCl3) NMR data and 1H–1H COSY and HMBC correlations for briarane 1.
| Position | δH (J in Hz) | δC, Multiple | 1H–1H COSY | HMBC |
|---|---|---|---|---|
| 1 | 39.2, C | |||
| 2 | 3.12 br d (9.6) | 75.9, CH | H-3, OH-2 | n. o. a |
| 3 | 3.31 dd (9.6, 4.0) | 60.3, CH | H-2, H-4 | C-1 |
| 4 | 4.09 br s | 58.2, CH | H-3, H-6 | n .o. |
| 5 | 136.3, C | |||
| 6 | 5.81 dddd (9.2, 1.2, 0.8, 0.8) | 122.9, CH | H-4, H-7, H2-16 | C-16 |
| 7 | 5.32 d (9.2) | 76.6, CH | H-6 | C-5, -8 |
| 8 | 81.8, C | |||
| 9 | 5.35 d (8.4) | 69.3, CH | H-10 | C-8, -17, acetate carbonyl |
| 10 | 1.82 dd (8.4, 2.4) | 36.8, CH | H-9, H-11 | C-1, -2, -8, -9, -11, -15, -20 |
| 11 | 2.17 m | 36.5, CH | H-10, H-12, H3-20 | n. o. |
| 12 | 4.94 d (4.8) | 71.7, CH | H-11, H-13 | C-10, -11, -13, -14, -20, |
| acetate carbonyl | ||||
| 13 | 3.27 d (4.0) | 58.1, CH | H-12, H-14 | C-1 |
| 14 | 3.34 d (4.0) | 62.7, CH | H-13 | C-1, -10 |
| 15 | 1.20 s | 15.2, CH3 | C-1, -2, -10, -14 | |
| 16a | 4.67 d (15.6) | 64.6, CH2 | H-6, H-16b | C-5, -6 |
| b | 4.80 d (15.6) | H-6, H-16a | C-5, -6 | |
| 17 | 2.39 q (6.8) | 43.7, CH | H3-18 | C-18, -19 |
| 18 | 1.21 d (6.8) | 6.3, CH3 | H-17 | C-8, -17, -19 |
| 19 | 175.6, C | |||
| 20 | 1.08 d (6.8) | 9.7, CH3 | H-11 | C-10, -11, -12 |
| 9-OAc | 169.5, C | |||
| 2.20 s | 21.8, CH3 | Acetate carbonyl | ||
| 12-OAc | 170.3, C | |||
| 2.11 s | 21.0, CH3 | Acetate carbonyl | ||
| 16-OAc | 172.2, C | |||
| 2.19 s | 21.2, CH3 | Acetate carbonyl | ||
| OH-2 | 3.55 br s | H-2 | n. o. | |
| OH-8 | 3.73 br s | n. o. |
a n. o. = not observed.
The 13C NMR and distortionless enhancement polarization transfer (DEPT) spectral data showed that this compound has 26 carbons (Table 1), including six methyls, an sp3 oxymethylene, eleven sp3 methines (including eight oxymethines), two sp3 quaternary carbons (including an oxygenated quaternary carbon), an sp2 methine and five sp2 quaternary carbons (including four carbonyls). From 1H and 13C NMR spectra (Table 1), 1 was found to possess three acetoxy groups (δH 2.20, 2.19, 2.11, each 3H × s; δC 169.5, 172.2, 170.3, 3 × C; 21.8, 21.2, 21.0, 3 × CH3), a γ-lactone moiety (δC 175.6, C-19) and a trisubstituted olefin (δH 5.81, 1H, dddd, J = 9.2, 1.2, 0.8, 0.8 Hz, H-6; δC 136.3, C-5; 122.9, CH-6). The presence of two disubstituted epoxy groups was established from the signals of four oxymethines at δC 60.3 (CH-3), 58.2 (CH-4), 58.1 (CH-13) and 62.7 (CH-14) and further confirmed by the proton signals at δH 3.31 (1H, dd, J = 9.6, 4.0 Hz, H-3), 4.09 (1H, br s, H-4), 3.27 (1H, d, J = 4.0 Hz, H-13) and 3.34 (1H, d, J = 4.0 Hz, H-14). On the basis of the above unsaturation data, 1 was concluded to be a diterpenoid molecule possessing five rings.
From the 1H–1H correlation spectroscopy (COSY) spectrum of 1 (Table 1), it was possible to establish the separate system that maps out the proton sequences from H-2/H-3/H-4, H-4/H-6 (by allylic coupling), H-6/H-7 and H-9/H-10. These data, together with the heteronuclear multiple-bond coherence (HMBC) correlations between H-3/C-1, H-7/C-5, -8, H-9/C-8 and H-10/C-1, -2, -8, -9, established the connectivity from C-1 to C-10 in the ten-membered ring (Table 1). The methylcyclohexane ring, which is fused to the ten-membered ring at C-1 and C-10, was elucidated by the 1H–1H COSY correlations between H-10/H-11/H-12/H-13/H-14 and H-11/H3-20 and by the HMBC correlations between H-10/C-11, -20, H-12/C-10, -11, -13, -14, -20, H-13/C-1, H-14/C-1, -10 and H3-20/C-10, -11, -12. The ring junction C-15 methyl group was positioned at C-1 from the HMBC correlations between H3-15/C-1, -2, -10, -14 and H-10/C-15. The acetate esters at C-9 and C-12 were established by the correlations between H-9 (δH 5.35), H-12 (δH 4.94) and the acetate carbonyls at δC 169.5 and 170.3, respectively, in the HMBC spectrum of 1. The methyl acetate group at C-5 was confirmed by the HMBC correlations between the oxygen-bearing methylene protons at δH 4.67 and 4.80 (H-16a/b) and the olefinic carbons C-5 and C-6; and further confirmed by the allylic couplings between H2-16 and H-6, although there is no HMBC correlation found between H2-16 and the acetate carbonyl at δC 172.2. The presence of a hydroxy group at C-2 was deduced from the 1H–1H COSY correlation between a hydroxy proton (δH 3.55) and H-2 (δH 3.12). Thus, the remaining hydroxy group is positioned at C-8 and an oxygen-bearing quaternary carbon at δC 81.8. These data, together with the 1H–1H COSY correlation between H-17 and H3-18 and the HMBC correlations between H-9/C-17, H-17/C-18, -19 and H3-18/C-8, -17, -19, were used to establish the molecular framework of 1.
In all naturally-occurring briarane-type natural products, H-10 is trans to the C-15 methyl group at C-1, and these two groups are assigned as α- and β-oriented in most briarane derivatives [1,2,3,4,5]. The relative configuration of 1 was elucidated from the interactions observed in a nuclear Overhauser effect spectroscopy (NOESY) experiment and was found to be compatible with that of 1 offered by computer modeling (Figure 1) [50] and that obtained from vicinal proton coupling constant analysis. In the NOESY experiment of 1, the correlations of H-10 with H-2, H-11 and H-12, but not with H3-15 and H3-20, indicated that H-2, H-10, H-11 and H-12 were situated on the same face and were assigned as α protons, since the Me-15 and Me-20 are β-substituents at C-1 and C-11, respectively. H-14 showed correlations with H-13 and Me-15, but not with H-10, as well as a lack of coupling was detected between H-12 and H-13, indicating that the dihedral angle between H-12 and H-13 is approximately 90° and the 13,14-epoxy group has an α-orientation [51]. H-9 was found to show responses to H-11, H3-18 and H3-20. From modeling analysis, H-9 was found to be close H-11, H3-18 and H3-20 when H-9 was α-oriented. H-3 correlated with Me-15 and H-4, but not with H-2 and H-10, and a large coupling constant (J = 9.6 Hz) was detected between H-2 and H-3, indicating that the 3,4-epoxy group was α-oriented. In addition, H-4 showed a correlation with H-7, and a large coupling constant (J = 9.2 Hz) was detected between H-6 and H-7, indicating that the dihedral angle between H-6 and H-7 is approximately 180°, and H-7 was β-oriented [51]. Furthermore, H-7 exhibited a correlation with H-17, but not with the C-8 hydroxy proton, suggesting that the H-17 and 8-hydroxy group were β- and α-oriented in the γ-lactone moiety, respectively, by modeling analysis. Based on the above findings, the structure of 1 was established unambiguously.
Figure 1.
The computer-generated model of 1 using MM2 force field calculations and the calculated distances (Å) between selected protons with key NOESY correlations.
Figure 1.
The computer-generated model of 1 using MM2 force field calculations and the calculated distances (Å) between selected protons with key NOESY correlations.

Briarenolide L (2) had a molecular formula of C30H42O11 as deduced from HRESIMS at m/z 601.26221 (C30H42O11 + Na, calcd. 601.26193). Thus, ten degrees of unsaturation were determined for 2. The IR spectrum showed bands at 3461, 1780 and 1739 cm−1, consistent with the presence of hydroxy, γ-lactone and ester carbonyl groups in the structure of 2. From the 13C spectral data of 2 (Table 2), two trisubstituted olefins were deduced from the signals of four carbons at δC 143.2 (C-5), 121.2 (CH-6), 131.6 (C-11) and 122.2 (CH-12). In the 13C NMR spectrum of 2, five carbonyl resonances at δC 176.1, 172.3, 170.3, 169.8 and 169.2 (5 × C) confirmed the presence of a γ-lactone and four other ester groups. In the 1H NMR spectrum of 2 (Table 2), an n-butyrate group (δH 0.94, 3H, t, J = 7.2 Hz; 1.60, 2H, m; 2.21, 2H, t, J = 7.6 Hz) and three acetyl methyls (δH 2.24, 2.10, 1.98, each 3H × s) were observed. Based on the above data, metabolite 2 was found to be a tricyclic compound.
1H–1H couplings in the COSY spectrum of 2 enabled identification of the C-2/-3/-4, C-6/-7, C-9/-10, C-12/-13/-14, C-6/-16 (by allylic coupling), C-12/C-20 (by allylic coupling) and C-17/-18 units (Table 2), which were assembled with the assistance of an HMBC experiment. The HMBC correlations between the protons and carbons of 2, such as H-4α/C-5, H-4β/C-3, H-6/C-4, -5, -8, H-7/C-6, H-9/C-1, -7, -8, -10, -11, -17, H-10/C-8, -9, -11, -12, -14, H-13α/C-12, H-14/C-2, H-17/C-8, -18, -19 and H3-18/C-8, -17, -19, permitted the elucidation of the main carbon skeleton of 2 (Table 2). The vinyl methyls at C-5 and C-11 were confirmed by the HMBC correlations between H3-16/C-4, -5, -6 and H3-20/C-10, -11, -12 and further supported by the allylic couplings between H-6/H3-16 and H-12/H3-20, respectively. The C-15 methyl group was positioned at C-1 from the HMBC correlations between H3-15/C-1, -2, -10, -14. In addition, the carbon signal at δC 172.3 (C) was correlated with the signal of the methylene protons at δH 2.21 and 1.60 in the HMBC spectrum and was consequently assigned as the carbon atom of the n-butyrate carbonyl. The acetate esters at C-2 and C-9 were established by the correlations between H-2 (δH 5.51), H-9 (δH 5.34) and the acetate carbonyls at δC 169.2 and 169.8, respectively, observed in the HMBC spectrum of 2. Due to the absence of HMBC correlations for H-3 (δH 4.76) and H-14 (δH 4.92) and the ester carbonyls, the positions for the remaining acetoxy and n-butyroxy groups could not be determined by this method.
Table 2.
1H (400 MHz, CDCl3) and 13C (100 MHz, CDCl3) NMR data and 1H–1H COSY and HMBC correlations for briarane 2.
| Position | δH (J in Hz) | δC, Multiple | 1H–1H COSY | HMBC |
|---|---|---|---|---|
| 1 | 42.1, C | |||
| 2 | 5.51 d (3.6) | 72.5, CH | H-3 | Acetate carbonyl |
| 3 | 4.76 ddd (3.6, 3.2, 3.2) | 72.3, CH | H-2, H2-4 | n. o. |
| 4α | 2.13 m | 33.7, CH2 | H-3, H-4β | C-5 |
| β | 3.31 dd (16.0, 3.2) | H-3, H-4α | C-3 | |
| 5 | 143.2, C | |||
| 6 | 5.53 s | 121.2, CH | H-7, H3-16 | C-4, -5, -8, -16 |
| 7 | 5.53 s | 79.8, CH | H-6 | C-6 |
| 8 | 84.6, C | |||
| 9 | 5.34 d (1.2) | 77.2, CH | H-10 | C-1, -7, -8, -10, -11, -17, |
| acetate carbonyl | ||||
| 10 | 2.96 br s | 43.8, CH | H-9 | C-8, -9, -11, -12, -14 |
| 11 | 131.6, C | |||
| 12 | 5.49 br s | 122.2, CH | H2-13, H3-20 | n. o. |
| 13α | 2.17 m | 28.2, CH2 | H-12, H-13β, H-14 | C-12 |
| β | 2.35 m | H-12, H-13α, H-14 | n. o. | |
| 14 | 4.92 dd (10.0, 7.2) | 73.5, CH | H2-13 | C-2 |
| 15 | 1.59 s | 17.3, CH3 | C-1, -2, -10, -14 | |
| 16 | 1.85 br s | 23.9, CH3 | H-6 | C-4, -5, -6 |
| 17 | 2.91 q (7.2) | 42.1, CH | H3-18 | C-8, -18, -19 |
| 18 | 1.11 d (7.2) | 7.4, CH3 | H-17 | C-8, -17, -19 |
| 19 | 176.1, C | |||
| 20 | 1.79 d (1.2) | 22.2, CH3 | H-12 | C-10, -11, -12 |
| 2-OAc | 169.2, C | |||
| 2.10 s | 21.0, CH3 | Acetate carbonyl | ||
| 9-OAc | 169.8, C | |||
| 2.24 s | 21.0, CH3 | Acetate carbonyl | ||
| 14-OAc | 170.3, C | |||
| 1.98 s | 21.0, CH3 | Acetate carbonyl | ||
| 3-OC(O)CH2CH2CH3 | 172.3, C | |||
| 1′ 2′ 3′ 4′ | 2.21 t (7.6) | 35.9, CH2 | H2-3′ | C-1′, -3′, -4′ |
| 1.60 m | 18.0, CH2 | H2-2′, H3-4′ | C-1′, -2′, -4′ | |
| 0.94 t (7.2) | 13.6, CH3 | H2-3′ | C-2′, -3′ |
a n. o. = not observed.
NOESY measurements were carried out in order to deduce the relative stereochemical features of 2 (Figure 2). Thus, H3-15 gave a correlation with H-14, but not with H-10, indicating that Me-15 and H-14 are located on the same face (assigned as the β-face) and that H-10 lies on the opposite side, the α-face. It was found that one of the methylene protons at C-4 (δH 3.31) exhibited correlations with H3-15 and H-7, but not with H-3, and therefore, it was assigned as H-4β and the other C-4 proton (δH 2.13) as H-4α. H-10 showed correlations with H-2, H-3 and H-9, indicating that the ester groups at C-2, C-3 and C-9 were β-oriented. Moreover, H-7 exhibited a correlation with H-17, supporting that H-17 and the hydroxy group at C-8 were positioned on the β- and α-positions at C-17 and C-8 in the γ-lactone moiety of 2 by modeling analysis. Fortunately, the methylene protons of the n-butyrate group at δH 2.21 exhibited correlation with H-2, indicating that the n-butyrate group should be positioned at C-3, and the remaining acetoxy group is positioned at C-14, an oxymethine at δC 73.5.
Figure 2.
The computer-generated model of 2 using MM2 force field calculations and the calculated distances (Å) between selected protons with key NOESY correlations.
Figure 2.
The computer-generated model of 2 using MM2 force field calculations and the calculated distances (Å) between selected protons with key NOESY correlations.

In the in vitro anti-inflammatory activity test, the upregulation of the pro-inflammatory iNOS (inducible nitric oxide synthase) and COX-2 (cyclooxygenase-2) protein expression of LPS (lipopolysaccharide)-stimulated RAW264.7 macrophage cells was evaluated using immunoblot analysis. At a concentration of 10 μM, Compounds 1 and 2 were found to significantly reduce the levels of iNOS to 23.67% ± 1.86% and 31.71% ± 8.75%, respectively, relative to the control cells stimulated with LPS only (Figure 3). Thus, Compounds 1 and 2 might be promising as anti-inflammatory agents, as they do not exhibit cytotoxicity to RAW264.7 macrophage cells.
Figure 3.
Effects of Compounds 1 and 2 on pro-inflammatory iNOS and COX-2 protein expression in the LPS-stimulated murine macrophage cell line, RAW264.7. (A) Relative density of iNOS immunoblot; (B) relative density of COX-2 immunoblot. The relative intensity of the LPS-stimulated group was taken to be 100%. Band intensities were quantified by densitometry and are indicated as the percent change relative to that of the LPS-stimulated group. Compounds 1, 2 and dexamethasone (Dex) significantly inhibited LPS-induced iNOS protein expression in macrophages. The experiment was repeated three times (* p < 0.05, significantly different from the LPS-stimulated group).
Figure 3.
Effects of Compounds 1 and 2 on pro-inflammatory iNOS and COX-2 protein expression in the LPS-stimulated murine macrophage cell line, RAW264.7. (A) Relative density of iNOS immunoblot; (B) relative density of COX-2 immunoblot. The relative intensity of the LPS-stimulated group was taken to be 100%. Band intensities were quantified by densitometry and are indicated as the percent change relative to that of the LPS-stimulated group. Compounds 1, 2 and dexamethasone (Dex) significantly inhibited LPS-induced iNOS protein expression in macrophages. The experiment was repeated three times (* p < 0.05, significantly different from the LPS-stimulated group).

3. Experimental Section
3.1. General Experimental Procedures
Optical rotation values were measured with a Jasco P-1010 digital polarimeter (Japan Spectroscopic Corporation, Tokyo, Japan). IR spectra were obtained on a Varian Digilab FTS 1000 FT-IR spectrophotometer (Varian Inc., Palo Alto, CA, USA); peaks are reported in cm−1. NMR spectra were recorded on a Varian Mercury Plus 400 NMR spectrometer (Varian Inc., Palo Alto, CA, USA) using the residual CHCl3 signal (δH 7.26 ppm) as the internal standard for 1H NMR and CDCl3 (δC 77.1 ppm) for 13C NMR. Coupling constants (J) are given in Hz. ESIMS and HRESIMS were recorded using a Bruker 7 Tesla solariX FTMS system (Bruker, Bremen, Germany). Column chromatography was performed on silica gel (230–400 mesh, Merck, Darmstadt, Germany). TLC was carried out on precoated Kieselgel 60 F254 (0.25 mm, Merck, Darmstadt, Germany); spots were visualized by spraying with 10% H2SO4 solution followed by heating. Normal-phase HPLC (NP-HPLC) was performed using a system comprised of a Hitachi L-7110 pump (Hitachi Ltd., Tokyo, Japan), a Hitachi L-7455 photodiode array detector (Hitachi Ltd., Tokyo, Japan) and a Rheodyne 7725 injection port (Rheodyne LLC, Rohnert Park, CA, USA). A semi-preparative normal-phase column (Hibar 250 × 10 mm, LiChrospher Si 60, 5 μm, Merck, Darmstadt, Germany) was used for HPLC. The reverse phase HPLC (NP-HPLC) was performed using a system comprised of a Hitachi L-7100 pump (Hitachi Ltd., Tokyo, Japan), a Hitachi L-2455 photodiode array detector (Hitachi Ltd., Tokyo, Japan), a Rheodyne 7725 injection port (Rheodyne LLC., Rohnert Park, CA, USA) and a Varian Polaris 5 C-18-A column (25 cm × 10 mm, 5 μm).
3.2. Animal Material
Specimens of the octocorals Briareum sp. were collected by hand using scuba equipment off the coast of southern Taiwan in July, 2011, and stored in a freezer until extraction. A voucher specimen (NMMBA-TW-SC-2011-77) was deposited in the National Museum of Marine Biology and Aquarium. This organism was identified by comparison with previous descriptions [45,46,47,48,49].
3.3. Extraction and Isolation
Sliced bodies of Briareum sp. (wet weight, 6.32 kg; dry weight, 2.78 kg) were extracted with a mixture of methanol (MeOH) and dichloromethane (DCM) (1:1). The extract was partitioned between ethyl acetate (EtOAc) and H2O. The EtOAc layer was separated on silica gel and eluted using n-hexane/EtOAc (stepwise, 100:1, pure EtOAc) to yield 18 fractions, A–R. Fractions M, N, O and P were combined and further separated on silica gel and eluted using n-hexane/EtOAc (stepwise, 4:1, pure EtOAc) to afford 30 fractions, M1–M30. Fraction M4 was further separated by normal-phase HPLC (NP-HPLC) using a mixture of n-hexane and EtOAc as the mobile phase to afford 2 (2:1, 0.7 mg). Fraction Q was chromatographed on silica gel and eluted using n-hexane/EtOAc (stepwise, 4:1, pure EtOAc) to afford 20 fractions, Q1–Q20. Fraction Q1 was separated by reverse-phase HPLC (RP-HPLC), using a mixture of acetonitrile and H2O as the mobile phase to afford 1 (30:70, 0.7 mg).
Briarenolide K (1): white powder; mp 215–216 °C; −291 (c 0.2, CHCl3); IR (neat) νmax 3366, 1781, 1733 cm−1; 1H (400 MHz, CDCl3) and 13C (100 MHz, CDCl3) NMR data (see Table 1); ESIMS: m/z 561 [M + Na]+; HRESIMS: m/z 561.19435 (calcd. for C26H34O12 + Na, 561.19425).
Briarenolide L (2): white powder; mp 110–111 °C; −177 (c 0.2, CHCl3); IR (neat) νmax 3461, 1780, 1739 cm−1; 1H (400 MHz, CDCl3) and 13C (100 MHz, CDCl3) NMR data (see Table 2); ESIMS: m/z 601 [M + Na]+; HRESIMS: m/z 601.26221 (calcd. for C30H42O11 + Na, 601.26193).
3.4. In Vitro Anti-Inflammatory Assay
The murine macrophage (RAW264.7) cell line was purchased from ATCC. The in vitro anti-inflammatory activity of Compounds 1 and 2 was measured by examining the inhibition of lipopolysaccharide (LPS)-induced upregulation of pro-inflammatory iNOS (inducible nitric oxide synthase) and COX-2 (cyclooxygenase-2) protein expression in macrophage cells using Western blotting analysis [52,53,54]. Briefly, inflammation in macrophages was induced by incubating them for 16 h in a medium containing only LPS (10 ng/mL) without compounds. For the anti-inflammatory activity assay, Compounds 1, 2 and dexamethasone (10 μM) were added to the cells 10 min before the LPS challenge. The cells were then for western blot analysis. The immunoreactivity data were calculated with respect to the average optical density of the corresponding LPS-stimulated group. For statistical analysis, the data were analyzed by a one-way analysis of variance (ANOVA), followed by the Student–Newman–Keuls post hoc test for multiple comparisons. A significant difference was defined as a p-value of <0.05.
4. Conclusions
Our continuing investigations demonstrated that the octocoral, Briareum sp., is a good source of bioactive substances. Compounds 1 and 2 are potentially anti-inflammatory and may become lead compounds in future marine anti-inflammation drug development [55,56]. These results suggest that continuing investigation of novel secondary metabolites together with the potentially useful bioactivities from this marine organism are worthwhile for future drug development. The octocoral Briareum sp. will be transplanted to culturing tanks located in the National Museum of Marine Biology and Aquarium, Taiwan, for extraction of additional natural products to establish a stable supply of bioactive material.
Supplementary Files
Supplementary File 1Acknowledgments
This research was supported by grants from the National Museum of Marine Biology and Aquarium, National Dong Hwa University, Asia-Pacific Ocean Research Center, National Sun Yat-sen University, the Ministry of Science and Technology (Grant Nos. NSC101-2320-B-291-001-MY3 and MOST 103-2325-B-291-001) and China Medical University under the Aim for Top University Plan of the Ministry of Education, Taiwan, awarded to Y.-C.W., J.-H.S. and P.-J.S.
Author Contributions
Jyh-Horng Sheu and Ping-Jyun Sung designed the whole experiment and contributed to manuscript preparation. Yin-Di Su and Tzu-Rong Su researched data and wrote the manuscript. Zhi-Hong Wen, Tsong-Long Hwang, Lee-Shing Fang, Jih-Jung Chen and Yang-Chang Wu analyzed the data and performed the data acquisition.
Conflicts of Interest
The authors declare no conflicts of interest.
References
- Sung, P.-J.; Sheu, J.-H.; Xu, J.-P. Survey of briarane-type diterpenoids of marine origin. Heterocycles 2002, 57, 535–579. [Google Scholar] [CrossRef]
- Sung, P.-J.; Chang, P.-C.; Fang, L.-S.; Sheu, J.-H.; Chen, W.-C.; Chen, Y.-P.; Lin, M.-R. Survey of briarane-related diterpenoids-Part II. Heterocycles 2005, 65, 195–204. [Google Scholar] [CrossRef]
- Sung, P.-J.; Sheu, J.-H.; Wang, W.-H.; Fang, L.-S.; Chung, H.-M.; Pai, C.-H.; Su, Y.-D.; Tsai, W.-T.; Chen, B.-Y.; Lin, M.-R.; et al. Survey of briarane-type diterpenoids–Part III. Heterocycles 2008, 75, 2627–2648. [Google Scholar] [CrossRef]
- Sung, P.-J.; Su, J.-H.; Wang, W.-H.; Sheu, J.-H.; Fang, L.-S.; Wu, Y.-C.; Chen, Y.-H.; Chung, H.-M.; Su, Y.-D.; Chang, Y.-C. Survey of briarane-type diterpenoids–Part IV. Heterocycles 2011, 83, 1241–1258. [Google Scholar] [CrossRef]
- Sheu, J.-H.; Chen, Y.-H.; Chen, Y.-H.; Su, Y.-D.; Chang, Y.-C.; Su, J.-H.; Weng, C.-F.; Lee, C.-H.; Fang, L.-S.; Wang, W.-H.; et al. Briarane diterpenoids isolated from gorgonian corals between 2011 and 2013. Mar. Drugs 2014, 12, 2164–2181. [Google Scholar] [CrossRef] [PubMed]
- Sung, P.-J.; Fan, T.-Y.; Chen, M.-C.; Fang, L.-S.; Lin, M.-R.; Chang, P.-C. Junceellin and praelolide, two briaranes from the gorgonian corals Junceella fragilis and Junceella juncea (Ellisellidae). Biochem. Syst. Ecol. 2004, 32, 111–113. [Google Scholar] [CrossRef]
- Kokke, W.C.M.C.; Epstein, S.; Look, S.A.; Rau, G.H.; Fenical, W.; Djerassi, C. On the origin of terpenes in symbiotic associations between marine invertebrates and algae (zooxanthellae) culture stuides and an application of 13C/12C isotope ratio mass spectrometry. J. Biol. Chem. 1984, 259, 8168–8173. [Google Scholar] [PubMed]
- Rodríguez, A.D. The natural products chemistry of West Indian gorgonian octocorals. Tetrahedron 1996, 51, 4571–4618. [Google Scholar] [CrossRef]
- Bowden, B.F.; Coll, J.C.; Patalinghug, W.; Skelton, B.W.; Vasilescu, I.; White, A.H. Studies of Australian soft corals. XLII. Structure determination of new briaran derivatives from Briareum steckei (Coelenterata, Octocorallia, Gorgonacea). Aust. J. Chem. 1987, 40, 2085–2096. [Google Scholar] [CrossRef]
- Bowden, B.F.; Coll, J.C.; Vasilescu, I. Studies of Australian soft corals. XLVI. New diterpenes from a Briareum species (Anthozoa, Octocorallia, Gorgonacea). Aust. J. Chem. 1989, 42, 1705–1726. [Google Scholar] [CrossRef]
- Schmitz, F.J.; Schulz, M.M.; Siripitayananon, J.; Hossain, M.B.; van der Helm, D. New diterpenes from the gorgonian Solenopodium excavatum. J. Nat. Prod. 1993, 56, 1339–1349. [Google Scholar] [CrossRef] [PubMed]
- Sheu, J.-H.; Sung, P.-J.; Huang, L.-H.; Lee, S.-F.; Wu, T.; Chang, B.-Y.; Duh, C.-Y.; Fang, L.-S.; Soong, K.; Lee, T.-J. New cytotoxic briaran diterpenes from the Formosan gorgonian Briareum sp. J. Nat. Prod. 1996, 59, 935–938. [Google Scholar] [CrossRef]
- Sheu, J.-H.; Sung, P.-J.; Cheng, M.-C.; Liu, H.-Y.; Fang, L.-S.; Duh, C.-Y.; Chiang, M.Y. Novel cytotoxic diterpenes, excavatolides A–E, isolated from the Formosan gorgonian Briareum excavatum. J. Nat. Prod. 1998, 61, 602–608. [Google Scholar] [CrossRef] [PubMed]
- Sung, P.-J.; Su, J.-H.; Wang, G.-H.; Lin, S.-F.; Duh, C.-Y.; Sheu, J.-H. Excavatolides F–M, new briarane diterpenes from the gorgonian Briareum excavatum. J. Nat. Prod. 1999, 62, 457–463. [Google Scholar] [CrossRef] [PubMed]
- Sheu, J.-H.; Sung, P.-J.; Su, J.-H.; Wang, G.-H.; Duh, C.-Y.; Shen, Y.-C.; Chiang, M.Y.; Chen, I.-T. Excavatolides U–Z, new briarane diterpenes from the gorgonian Briareum excavatum. J. Nat. Prod. 1999, 62, 1415–1420. [Google Scholar] [CrossRef] [PubMed]
- Sheu, J.-H.; Sung, P.-J.; Su, J.-H.; Liu, H.-Y.; Duh, C.-Y.; Chiang, M.Y. Briaexcavatolides A–J, new diterpenes from the gorgonian Briareum excavatum. Tetrahedron 1999, 55, 14555–14564. [Google Scholar] [CrossRef]
- Sung, P.-J.; Su, J.-H.; Duh, C.-Y.; Chiang, M.Y.; Sheu, J.-H. Briaexcavatolides K–N, new briarane diterpenes from the gorgonian Briareum excavatum. J. Nat. Prod. 2001, 64, 318–323. [Google Scholar] [CrossRef] [PubMed]
- Wu, S.-L.; Sung, P.-J.; Chiang, M.Y.; Wu, J.-Y.; Sheu, J.-H. New polyoxygenated briarane diterpenoids, briaexcavatolides O–R, from the gorgonian Briareum excavatum. J. Nat. Prod. 2001, 64, 1415–1420. [Google Scholar] [CrossRef] [PubMed]
- Wu, S.-L.; Sung, P.-J.; Su, J.-H.; Sheu, J.-H. Briaexcavatolides S–V, four new briaranes from a Formosan gorgonian Briareum excavatum. J. Nat. Prod. 2003, 66, 1252–1256. [Google Scholar] [CrossRef] [PubMed]
- Wu, S.-L.; Sung, P.-J.; Su, J.-H.; Wang, G.-H.; Sheu, J.-H. Briaexcavatolide W, a new diterpenoid from Briareum excavatum. Heterocycles 2004, 63, 895–898. [Google Scholar] [CrossRef]
- Sung, P.-J.; Hu, W.-P.; Wu, S.-L.; Su, J.-H.; Fang, L.-S.; Wang, J.-J.; Sheu, J.-H. Briaexcavatolides X–Z, three new briarane-related derivatives from the gorgonian coral Briareum excavatum. Tetrahedron 2004, 60, 8975–8979. [Google Scholar] [CrossRef]
- Sung, P.-J.; Hu, W.-P.; Fang, L.-S.; Fan, T.-Y.; Wang, J.-J. Briarenol A, a new diterpenoid from a gorgonian Briareum sp. (Briareidae). Nat. Prod. Res. 2005, 19, 689–694. [Google Scholar] [CrossRef] [PubMed]
- Sung, P.-J.; Chao, C.-H.; Chen, Y.-P.; Su, J.-H.; Hu, W.-P.; Sheu, J.-H. Briaexcavatins A and B, novel briaranes from the octocoral Briareum excavatum. Tetrahedron Lett. 2006, 47, 167–170. [Google Scholar] [CrossRef]
- Sung, P.-J.; Chen, Y.-P.; Hwang, T.-L.; Hu, W.-P.; Fang, L.-S.; Wu, Y.-C.; Li, J.-J.; Sheu, J.-H. Briaexcavatins C–F, four new briarane-related diterpenoids from the Formosan octocoral Briareum excavatum (Briareidae). Tetrahedron 2006, 62, 5686–5691. [Google Scholar] [CrossRef]
- Chen, Y.-P.; Wu, S.-L.; Su, J.-H.; Lin, M.-R.; Hu, W.-P.; Hwang, T.-L.; Sheu, J.-H.; Fan, T.-Y.; Fang, L.-S.; Sung, P.-J. Briaexcavatins G and H, two new briaranes from the octocoral Briareum excavatum. Bull. Chem. Soc. Jpn. 2006, 79, 1900–1905. [Google Scholar] [CrossRef]
- Su, J.-H.; Sung, P.-J.; Kuo, Y.-H.; Hsu, C.-H.; Sheu, J.-H. Briarenolides A–C, briarane diterpenoids from the gorgonian coral Briareum sp. Tetrahedron 2007, 63, 8282–8285. [Google Scholar] [CrossRef]
- Sung, P.-J.; Lin, M.-R.; Su, Y.-D.; Chiang, M.Y.; Hu, W.-P.; Su, J.-H.; Cheng, M.-C.; Hwang, T.-L.; Sheu, J.-H. New briaranes from the octocorals Briareum excavatum (Briareidae) and Junceella fragilis (Ellisellidae). Tetrahedron 2008, 64, 2596–2604. [Google Scholar] [CrossRef]
- Sung, P.-J.; Lin, M.-R.; Hwang, T.-L.; Fan, T.-Y.; Su, W.-C.; Ho, C.-C.; Fang, L.-S.; Wang, W.-H. Briaexcavatins M–P, four new briarane-related diterpenoids from cultured octocoral Briareum excavatum (Briareidae). Chem. Pharm. Bull. 2008, 56, 930–935. [Google Scholar] [CrossRef] [PubMed]
- Hwang, T.-L.; Lin, M.-R.; Tsai, W.-T.; Yeh, H.-C.; Hu, W.-P.; Sheu, J.-H.; Sung, P.-J. New polyoxygenated briaranes from octocorals Briareum excavatum and Ellisella robusta. Bull. Chem. Soc. Jpn. 2008, 81, 1638–1646. [Google Scholar] [CrossRef]
- Sung, P.-J.; Lin, M.-R.; Chiang, M.Y. The structure and absolute stereochemistry of briaexcavatin U, a new chlorinated briarane from a cultured octocoral Briareum excavatum. Chem. Lett. 2009, 38, 154–155. [Google Scholar] [CrossRef]
- Sung, P.-J.; Lin, M.-R.; Chiang, M.Y.; Hwang, T.-L. Briaexcavatins V–Z, discovery of new briaranes from a cultured octocoral Briareum excavatum. Bull. Chem. Soc. Jpn. 2009, 82, 987–996. [Google Scholar] [CrossRef]
- Sung, P.-J.; Su, Y.-D.; Li, G.-Y.; Chiang, M.Y.; Lin, M.-R.; Huang, I.-C.; Li, J.-J.; Fang, L.-S.; Wang, W.-H. Excavatoids A–D, new polyoxygenated briaranes from the octocoral Briareum excavatum. Tetrahedron 2009, 65, 6918–6924. [Google Scholar] [CrossRef]
- Sung, P.-J.; Chen, B.-Y.; Lin, M.-R.; Hwang, T.-L.; Wang, W.-H.; Sheu, J.-H.; Wu, Y.-C. Excavatoids E and F: Discovery of two new briaranes from the cultured octocoral Briareum excavatum. Mar. Drugs 2009, 7, 472–482. [Google Scholar] [CrossRef] [PubMed]
- Sung, P.-J.; Chen, B.-Y.; Chiang, M.Y.; Hou, C.-H.; Su, Y.-D.; Hwang, T.-L.; Chen, Y.-H.; Chen, J.-J. Excavatoids G–K, new 8,17-epoxybriaranes from the cultured octocoral Briareum excavatum (Briareidae). Bull. Chem. Soc. Jpn. 2010, 83, 539–545. [Google Scholar] [CrossRef]
- Su, J.-H.; Chen, B.-Y.; Hwang, T.-L.; Chen, Y.-H.; Huang, I.-C.; Lin, M.-R.; Chen, J.-J.; Fang, L.-S.; Wang, W.-H.; Li, J.-J.; et al. Excavatoids L–N, new 12-hydroxybriaranes from the cultured octocoral Briareum excavatum (Briareidae). Chem. Pharm. Bull. 2010, 58, 662–665. [Google Scholar] [CrossRef] [PubMed]
- Sung, P.-J.; Li, G.-Y.; Su, Y.-D.; Lin, M.-R.; Chang, Y.-C.; Kung, T.-H.; Lin, C.-S.; Chen, Y.-H.; Su, J.-H.; Lu, M.-C.; et al. Excavatoids O and P, new 12-hydroxybriaranes from the octocoral Briareum excavatum. Mar. Drugs 2010, 8, 2639–2646. [Google Scholar] [CrossRef] [PubMed]
- Sung, P.-J.; Lin, M.-R.; Chiang, M.Y.; Huang, I.-C.; Syu, S.-M.; Fang, L.-S.; Wang, W.-H.; Sheu, J.-H. Briarenolide D, a new hydroperoxybriarane diterpenoid from a cultured octocoral Briareum sp. Chem. Lett. 2010, 39, 1030–1032. [Google Scholar] [CrossRef]
- Hong, P.-H.; Su, Y.-D.; Lin, N.-C.; Chen, Y.-H.; Kuo, Y.-H.; Hwang, T.-L.; Wang, W.-H.; Chen, J.-J.; Sheu, J.-H.; Sung, P.-J. Briarenolide E: The first 2-ketobriarane diterpenoid from an octocoral Briareum sp. (Briareidae). Tetrahedron Lett. 2012, 53, 1710–1712. [Google Scholar] [CrossRef]
- Hong, P.-H.; Su, Y.-D.; Su, J.-H.; Chen, Y.-H.; Hwang, T.-L.; Weng, C.-F.; Lee, C.-H.; Wen, Z.-H.; Sheu, J.-H.; Lin, N.-C.; et al. Briarenolides F and G, new briarane diterpenoids from a Briareum sp. Octocoral. Mar. Drugs 2012, 10, 1156–1168. [Google Scholar] [CrossRef] [PubMed]
- Yeh, T.-T.; Wang, S.-K.; Dai, C.-F.; Duh, C.-Y. Briacavatolides A–C, new briaranes from the Taiwanese octocoral Briareum excavatum. Mar. Drugs 2012, 10, 1019–1026. [Google Scholar] [CrossRef] [PubMed]
- Wang, S.-K.; Yeh, T.-T.; Duh, C.-Y. Briacavatolides D–F, new briaranes from the Taiwanese octocoral Briareum excavatum. Mar. Drugs 2012, 10, 2103–2110. [Google Scholar] [CrossRef] [PubMed]
- Su, Y.-D.; Hwang, T.-L.; Lin, N.-C.; Chen, Y.-H.; Wu, Y.-C.; Sheu, J.-H.; Sung, P.-J. Briarenolides H and I: New 8-hydroxybriarane diterpenoids from a Formosan octocoral Briareum sp. (Briareidae). Bull. Chem. Soc. Jpn. 2012, 85, 1031–1036. [Google Scholar] [CrossRef]
- Liaw, C.-C.; Cheng, Y.-B.; Lin, Y.-S.; Kuo, Y.-H.; Hwang, T.-L.; Shen, Y.-C. New briarane diterpenoids from Taiwanese soft coral Briareum violacea. Mar. Drugs 2014, 12, 4677–4692. [Google Scholar] [CrossRef] [PubMed]
- Su, Y.-D.; Cheng, C.-H.; Chen, W.-F.; Chang, Y.-C.; Chen, Y.-H.; Hwang, T.-L.; Wen, Z.-H.; Wang, W.-H.; Fang, L.-S.; Chen, J.-J.; et al. Briarenolide J, the first 12-chlorobriarane diterpenoid from an octocoral Briareum sp. Tetrahedron Lett. 2014, 55, 6065–6067. [Google Scholar] [CrossRef]
- Bayer, F.M. Key to the genera of Octocorallia exclusive of Pennatulacea (Coelenterata: Anthozoa), with diagnoses of new taxa. Proc. Biol. Soc. Wash. 1995, 94, 902–947. [Google Scholar]
- Benayahu, Y. Soft corals (Octocorallia: Alcyonacea) of the southern Ryukyu Archipelago: The families Tubiporidae, Clavulariidae, Alcyoniidae and Briareidae. Galaxea 2002, 4, 11–32. [Google Scholar] [CrossRef]
- Benayahu, Y.; Jeng, M.-S.; Perkol-Finkel, S.; Dai, C.-F. Soft corals (Octocorallia: Alcyonacea) from Southern Taiwan. II. Species diversity and distributional patterns. Zool. Stud. 2004, 43, 548–560. [Google Scholar]
- Miyazaki, Y.; Reimer, J.D. Morphological and genetic diversity of Briareum (Anthozoa: Octocorallia) from the Ryukyu Archipelago, Japan. Zool. Sci. 2014, 31, 692–702. [Google Scholar] [CrossRef] [PubMed]
- Fabricius, K.; Alderslade, P. Soft Corals and Sea Fans–A Comprehensive Guide to the Tropical Shallow-Water Genera of the Central-West Pacific, the Indian Ocean and the Red Sea, 1st ed.; Australian Institute of Marine Science: Queensland, Australia, 2001; pp. 55, 154–157. [Google Scholar]
- Allinger, N.L. Conformational analysis. 130. MM2. A hydrocarbon force field utilizing V1 and V2 torsionalterms. J. Am. Chem. Soc. 1977, 99, 8127–8134. [Google Scholar] [CrossRef]
- Silverstein, R.M.; Webster, F.X.; Kiemle, D.J. Spectrometric Identification of Organic Compounds, 7th ed.; John-Wiley & Sons, Inc.: Hoboken, NJ, USA, 2005; pp. 171–172. [Google Scholar]
- Huang, S.-Y.; Chen, N.-F.; Chen, W.-F.; Hung, H.-C.; Lee, H.-P.; Lin, Y.-Y.; Wang, H.-M.; Sung, P.-J.; Sheu, J.-H.; Wen, Z.-H. Sinularin from indigenous soft coral attenuates nociceptive responses and spinal neuroinflammation in carrageenan-induced inflammatory rat model. Mar. Drugs 2012, 10, 1899–1919. [Google Scholar] [CrossRef] [PubMed]
- Jean, Y.-H.; Chen, W.-F.; Sung, C.-S.; Duh, C.-Y.; Huang, S.-Y.; Lin, C.-S.; Tai, M.-H.; Tzeng, S.-F.; Wen, Z.-H. Capnellene, a natural marine compound derived from soft coral, attenuates chronic constriction injury-induced neuropathic pain in rats. Br. J. Pharmacol. 2009, 158, 713–725. [Google Scholar] [CrossRef] [PubMed]
- Jean, Y.-H.; Chen, W.-F.; Duh, C.-Y.; Huang, S.-Y.; Hsu, C.-H.; Lin, C.-S.; Sung, C.-S.; Chen, I.-M.; Wen, Z.-H. Inducible nitric oxide synthase and cyclooxygenase-2 participate in anti-inflammatory and analgesic effects of the natural marine compound lemnalol from Formosan soft coral Lemnalia cervicorni. Eur. J. Pharmacol. 2008, 578, 323–331. [Google Scholar] [CrossRef] [PubMed]
- Wei, W.-C.; Sung, P.-J.; Duh, C.-Y.; Chen, B.-W.; Sheu, J.-H.; Yang, N.-S. Anti-inflammatory activities of natural products isolated from soft corals of Taiwan between 2008 and 2012. Mar. Drugs 2013, 11, 4083–4126. [Google Scholar] [CrossRef] [PubMed]
- Senthilkumar, K.; Kim, S.-K. Marine invertebrate natural products for anti-inflammatory and chronic diseases. Evid.-Based Complement. Altern. Med. 2013. [Google Scholar] [CrossRef]
© 2015 by the authors; licensee MDPI, Basel, Switzerland. This article is an open access article distributed under the terms and conditions of the Creative Commons Attribution license (http://creativecommons.org/licenses/by/4.0/).