Optimal Maintenance Strategy for Patients with Improved Left Ventricular Function Following Sacubitril/Valsartan Therapy
Abstract
1. Introduction
2. Material and Methods
2.1. Study Population
2.2. Definitions and Outcomes
2.3. Statistical Analysis
3. Results
3.1. Baseline Characteristics
3.2. HF Relapse
3.3. Secondary Endpoints and Composite Outcome
3.4. Change During Follow-Up Period
4. Discussion
4.1. Cardiac Function Recovery in the S/V Era
4.2. Maintenance Strategy in HFimpEF
4.3. Interpretation of the Primary Endpoint
4.4. Limitations
5. Conclusions
Supplementary Materials
Author Contributions
Funding
Institutional Review Board Statement
Informed Consent Statement
Data Availability Statement
Acknowledgments
Conflicts of Interest
Abbreviations and Acronyms
| HFimpEF | heart failure with improved ejection fraction |
| HFrEF | heart failure with reduced ejection fraction |
| LVEF | left ventricular ejection fraction |
| NT-proBNP | N-terminal-pro hormone B-type natriuretic peptide |
| RASB | renin–angiotensin system blockers |
| S/V | sacubitril/valsartan |
References
- Ponikowski, P.; Voors, A.A.; Anker, S.D.; Bueno, H.; Cleland, J.G.F.; Coats, A.J.S.; Falk, V.; González-Juanatey, J.R.; Harjola, V.P.; Jankowska, E.A.; et al. 2016 ESC Guidelines for the diagnosis and treatment of acute and chronic heart failure: The Task Force for the diagnosis and treatment of acute and chronic heart failure of the European Society of Cardiology (ESC) Developed with the special contribution of the Heart Failure Association (HFA) of the ESC. Eur. Heart J. 2016, 37, 2129–2200. [Google Scholar] [PubMed]
- Chang, H.Y.; Chen, K.C.; Fong, M.C.; Feng, A.N.; Fu, H.N.; Huang, K.C.; Chong, E.; Yin, W.H. Recovery of left ventricular dysfunction after sacubitril/valsartan: Predictors and management. J. Cardiol. 2020, 75, 233–241. [Google Scholar] [CrossRef] [PubMed]
- Halliday, B.P.; Wassall, R.; Lota, A.S.; Khalique, Z.; Gregson, J.; Newsome, S.; Jackson, R.; Rahneva, T.; Wage, R.; Smith, G.; et al. Withdrawal of pharmacological treatment for heart failure in patients with recovered dilated cardiomyopathy (TRED-HF): An open-label, pilot, randomised trial. Lancet 2019, 393, 61–73. [Google Scholar] [CrossRef] [PubMed]
- Martens, P.; Beliën, H.; Dupont, M.; Vandervoort, P.; Mullens, W. The reverse remodeling response to sacubitril/valsartan therapy in heart failure with reduced ejection fraction. Cardiovasc. Ther. 2018, 36, e12435. [Google Scholar] [CrossRef]
- Lupón, J.; Díez-López, C.; de Antonio, M.; Domingo, M.; Zamora, E.; Moliner, P.; González, B.; Santesmases, J.; Troya, M.I.; Bayés-Genís, A. Recovered heart failure with reduced ejection fraction and outcomes: A prospective study. Eur. J. Heart Fail. 2017, 19, 1615–1623. [Google Scholar] [CrossRef]
- Kalogeropoulos, A.P.; Fonarow, G.C.; Georgiopoulou, V.; Burkman, G.; Siwamogsatham, S.; Patel, A.; Li, S.; Papadimitriou, L.; Butler, J. Characteristics and Outcomes of Adult Outpatients with Heart Failure and Improved or Recovered Ejection Fraction. JAMA Cardiol. 2016, 1, 510–518. [Google Scholar] [CrossRef]
- Riccardi, M.; Pabon, M.A.; Bhatt, A.S.; Savarese, G.; Metra, M.; Volterrani, M.; Lombardi, C.M.; Vaduganathan, M.; Solomon, S.D.; Vardeny, O.; et al. Heart Failure with Improved Ejection Fraction: Definitions, Epidemiology, and Management. J. Am. Coll. Cardiol. 2025, 85, 2401–2415. [Google Scholar] [CrossRef]
- Albert, N.M.; Bena, J.F.; Morrison, S.L.; Williams, J.B.; Faulkenberg, K.; Khairnar, R.; Martyn, T. Clinical outcomes of sacubitril-valsartan versus angiotensin converting enzyme inhibitor or angiotensin receptor blocker among patients with heart failure and ejection fraction at/less than 60 %: A retrospective, observational, parallel cohort, multi-group study. Heart Lung 2025, 73, 64–73. [Google Scholar]
- Mizutani, H.; Fujimoto, N.; Nakamori, S.; Kokawa, T.; Ishiyama, M.; Omori, T.; Moriwaki, K.; Sato, Y.; Goto, I.; Sugiura, E.; et al. Effects of Sacubitril/Valsartan on Myocardial Tissue in Heart Failure with Left Ventricular Ejection Fraction Below 50%. Circ. J. 2025, 89, 901–911. [Google Scholar] [CrossRef]
- Carluccio, E.; Dini, F.L.; Correale, M.; Dattilo, G.; Ciccarelli, M.; Vannuccini, F.; Sforna, S.; Pacileo, G.; Masarone, D.; Scelsi, L.; et al. Effect of sacubitril/valsartan on cardiac remodeling compared with other renin-angiotensin system inhibitors: A difference-in-difference analysis of propensity-score matched samples. Clin. Res. Cardiol. 2024, 113, 856–865. [Google Scholar] [CrossRef]
- Lee, V.; Dalakoti, M.; Zheng, Q.; Toh, D.-F.; Boubertakh, R.; Bryant, J.A.; Aw, T.-C.; Lee, C.-H.; Richards, A.M.; Butler, J.; et al. Effects of sacubitril/valsartan on hypertensive heart disease: The REVERSE-LVH randomized phase 2 trial. Nat. Commun. 2025, 16, 6981. [Google Scholar] [CrossRef]
- Kubanek, M.; Sramko, M.; Maluskova, J.; Kautznerova, D.; Weichet, J.; Lupinek, P.; Vrbska, J.; Malek, I.; Kautzner, J. Novel predictors of left ventricular reverse remodeling in individuals with recent-onset dilated cardiomyopathy. J. Am. Coll. Cardiol. 2013, 61, 54–63. [Google Scholar] [CrossRef]
- Díez-Villanueva, P.; Vicent, L.; de la Cuerda, F.; Esteban-Fernández, A.; Gómez-Bueno, M.; de Juan-Bagudá, J.; Iniesta, Á.M.; Ayesta, A.; Rojas-González, A.; Bover-Freire, R.; et al. Left Ventricular Ejection Fraction Recovery in Patients with Heart Failure and Reduced Ejection Fraction Treated with Sacubitril/Valsartan. Cardiology 2020, 145, 275–282. [Google Scholar] [CrossRef]
- Bak, M.; Youn, J.; Bae, D.; Lee, J.; Lee, S.; Cho, D.; Choi, J. Temporal Trends in Clinical Characteristics and Outcomes for Peripartum Cardiomyopathy: The Nationwide Multicenter Registry Over 20 Years. J. Am. Heart Assoc. 2024, 13, e034055. [Google Scholar] [CrossRef]
- Paolini, C.; Mugnai, G.; Valle, C.D.; Volpiana, A.; Ferraglia, A.; Frigo, A.C.; Bilato, C. Effects and clinical implications of sacubitril/valsartan on left ventricular reverse remodeling in patients affected by chronic heart failure: A 24-month follow-up. Int. J. Cardiol. Heart Vasc. 2021, 35, 100821. [Google Scholar] [CrossRef] [PubMed]
- Solomon, S.D.; McMurray, J.J.V.; Anand, I.S.; Junbo Ge, D.P.; Lam, C.S.P.; Maggioni, A.P.; Martinez, F.; Packer, M.; Pfeffer, M.A.; Pieske, B.; et al. Angiotensin-Neprilysin Inhibition in Heart Failure with Preserved Ejection Fraction. N. Engl. J. Med. 2019, 381, 1609–1620. [Google Scholar] [CrossRef] [PubMed]
- Packer, M.; Butler, J.; Zeller, C.; Pocock, S.J.; Brueckmann, M.; Ferreira, J.P.; Filippatos, G.; Usman, M.S.; Zannad, F.; Anker, S.D. Blinded Withdrawal of Long-Term Randomized Treatment with Empagliflozin or Placebo in Patients with Heart Failure. Circulation 2023, 148, 1011–1022. [Google Scholar] [CrossRef]
- Chen, Y.; Qiu, Z.; Jiang, J.; Su, X.; Huang, F.; Tang, J.; Jin, W. Outcomes of Spironolactone Withdrawal in Dilated Cardiomyopathy with Improved Ejection Fraction. Front. Cardiovasc. Med. 2021, 8, 725399. [Google Scholar] [CrossRef]
- Swedberg, K.; Hjalmarson, A.; Waagstein, F.; Wallentin, I. Adverse effects of beta-blockade withdrawal in patients with congestive cardiomyopathy. Br. Heart J. 1980, 44, 134–142. [Google Scholar] [CrossRef]
- Januzzi, J.L.; Prescott, M.F.; Butler, J.; Felker, G.M.; Maisel, A.S.; McCague, K.; Camacho, A.; Piña, I.L.; Rocha, R.A.; Shah, A.M.; et al. Association of Change in N-Terminal Pro-B-Type Natriuretic Peptide Following Initiation of Sacubitril-Valsartan Treatment with Cardiac Structure and Function in Patients with Heart Failure with Reduced Ejection Fraction. JAMA 2019, 322, 1085–1095. [Google Scholar] [CrossRef]
- Mann, D.L.; Givertz, M.M.; Vader, J.M.; Starling, R.C.; Shah, P.; McNulty, S.E.; Anstrom, K.J.; Margulies, K.B.; Kiernan, M.S.; Mahr, C.; et al. Effect of Treatment with Sacubitril/Valsartan in Patients with Advanced Heart Failure and Reduced Ejection Fraction: A Randomized Clinical Trial. JAMA Cardiol. 2022, 7, 17–25. [Google Scholar] [CrossRef] [PubMed]
- Solomon, S.D.; Zile, M.; Pieske, B.; Voors, A.; Shah, A.; Kraigher-Krainer, E.; Shi, V.; Bransford, T.; Takeuchi, M.; Gong, J.; et al. The angiotensin receptor neprilysin inhibitor LCZ696 in heart failure with preserved ejection fraction: A phase 2 double-blind randomised controlled trial. Lancet 2012, 380, 1387–1395. [Google Scholar] [CrossRef] [PubMed]
- Pieske, B.; Wachter, R.; Shah, S.J.; Baldridge, A.; Szeczoedy, P.; Ibram, G.; Shi, V.; Zhao, Z.; Cowie, M.R. Effect of Sacubitril/Valsartan vs Standard Medical Therapies on Plasma NT-proBNP Concentration and Submaximal Exercise Capacity in Patients with Heart Failure and Preserved Ejection Fraction: The PARALLAX Randomized Clinical Trial. JAMA 2021, 326, 1919–1929. [Google Scholar] [CrossRef]
- Halliday, B.P.; Vazir, A.; Owen, R.; Gregson, J.; Wassall, R.; Lota, A.S.; Khalique, Z.; Tayal, U.; Jones, R.E.; Hammersley, D.; et al. Heart Rate as a Marker of Relapse During Withdrawal of Therapy in Recovered Dilated Cardiomyopathy. JACC Heart Fail. 2021, 9, 509–517. [Google Scholar] [CrossRef] [PubMed]




| Total (n = 354) | A (n = 294) | B (n = 47) | C (n = 13) | p-Value | Post-Hoc | |
|---|---|---|---|---|---|---|
| Male | 256 (72.3%) | 212 (72.1%) | 37 (78.7%) | 7 (53.8%) | 0.203 | |
| Age, yr | 63.0 [51.0–72.0] | 62.5 [51.0–72.0] | 64.0 [43.5–68.0] | 68.0 [57.0–76.0] | 0.179 | |
| Height, cm | 166.0 [158.0–172.0] | 166.0 [158.0–172.0] | 169.0 [159.0–174.5] | 157.5 [148.0–167.0] | 0.018 | A = B > C |
| Weight, kg | 69.9 [59.9–79.0] | 69.9 [60.3–79.0] | 72.5 [60.0–86.2] | 56.0 [50.5–69.0] | 0.009 | A = B > C |
| BSA, kg/m2 | 1.8 ± 0.2 | 1.8 ± 0.2 | 1.8 ± 0.3 | 1.6 ± 0.2 | 0.009 | A = B > C |
| NYHA Fc | 0.136 | |||||
| I | 159 (44.9%) | 138 (46.9%) | 20 (42.6%) | 1 (7.7%) | ||
| II | 176 (49.7%) | 142 (48.0%) | 24 (51.1%) | 10 (76.9%) | ||
| III | 18 (5.1%) | 13 (4.4%) | 3 (6.4%) | 2 (15.4%) | ||
| Heart failure etiology | ||||||
| Dilated cardiomyopathy | 172 (48.6%) | 148 (50.3%) | 21 (44.7%) | 3 (23.1%) | 0.133 | |
| Ischemic heart failure | 113 (31.9%) | 96 (32.7%) | 14 (29.8%) | 3 (23.1%) | 0.694 | |
| New onset heart failure | 116 (32.8%) | 96 (32.7%) | 16 (34.0%) | 4 (30.8%) | 0.975 | |
| Comorbidities | ||||||
| Hypertension | 162 (45.8%) | 140 (47.6%) | 18 (38.3%) | 4 (30.8%) | 0.266 | |
| Previous coronary revascularization | 112 (31.6%) | 94 (32.0%) | 15 (31.9%) | 3 (23.1%) | 0.791 | |
| Diabetes mellitus | 115 (32.5%) | 93 (31.6%) | 15 (31.9%) | 7 (53.8%) | 0.249 | |
| Previous myocardial infarction | 52 (14.7%) | 44 (15.0%) | 7 (14.9%) | 1 (7.7%) | 0.758 | |
| Coronary artery disease | 99 (28.0%) | 85 (28.9%) | 11 (23.4%) | 3 (23.1%) | 0.667 | |
| Atrial fibrillation/flutter | 86 (24.3%) | 70 (23.8%) | 11 (23.4%) | 5 (38.5%) | 0.486 | |
| Echocardiography | ||||||
| LV end-diastolic dimension, mm | 55.5 [51.3–58.9] | 55.6 [52.0–59.3] | 55.7 [51.6–57.6] | 47.1 [43.6–48.3] | <0.001 | A = B > C |
| LVEF, % | 47.0 [43.0–55.0] | 46.4 [42.6–53.7] | 48.3 [44.5–57.3] | 55.0 [47.3–58.0] | 0.022 | A = B < C |
| Laboratory finding | ||||||
| Hemoglobin, g/dL | 13.7 [12.1–15.0] | 13.7 [12.3–15.0] | 13.6 [12.0–14.9] | 11.5 [10.6–13.7] | 0.055 | |
| Sodium, mmol/L | 140.0 [138.0–141.0] | 140.0 [138.0–141.0] | 140.0 [138.5–141.0] | 138.0 [134.0–140.0] | 0.022 | A = B > C |
| NT-proBNP, pg/dL | 230.0 [87.3–536.0] | 233.5 [92.9–525.0] | 214.0 [54.6–584.5] | 265.0 [106.0–1215.0] | 0.603 | |
| Baseline treatment | ||||||
| S/V dose, mg | 200.0 [100.0–400.0] | 200.0 [100.0–400.0] | 100.0 [100.0–200.0] | 100.0 [100.0–100.0] | <0.001 | A > B = C |
| S/V duration before enrollment, days | 436.0 [210.0–660.0] | 486.5 [290.5–700.0] | 120.0 [64.5–306.5] | 219.0 [126.0–297.0] | <0.001 | A > B = C |
| Beta blocker | 322 (91.0%) | 270 (91.8%) | 42 (89.4%) | 10 (76.9%) | 0.171 | |
| Spironolactone | 286 (80.8%) | 235 (79.9%) | 42 (89.4%) | 9 (69.2%) | 0.175 | |
| SGLT-2 inhibitor | 132 (37.3%) | 119 (40.5%) | 9 (19.1%) | 4 (30.8%) | 0.017 | A = C > B |
| Loop diuretics | 151 (42.7%) | 124 (42.2%) | 20 (42.6%) | 7 (53.8%) | 0.707 | |
| Previous CRT | 22 (6.2%) | 18 (6.1%) | 2 (4.3%) | 2 (15.4%) | 0.335 | |
| Previous ICD | 28 (7.9%) | 26 (8.8%) | 1 (2.1%) | 1 (7.7%) | 0.285 | |
| A (n = 294) | B (n = 47) | C (n = 13) | p-Value | Post Hoc | |
|---|---|---|---|---|---|
| Primary endpoint * | 48 (16.3%) | 5 (10.6%) | 7 (53.8%) | 0.001 | A = B < C |
| Ratio of NT-proBNP (Peak/Base) | 1.09 [0.79–1.80] | 1.10 [0.89–1.75] | 2.52 [1.90–5.66] | 0.002 | A = B < C |
| Change in log (Peak − Base) | 0.04 [−0.10–0.26] | 0.04 [−0.05–0.24] | 0.40 [0.28–0.75] | 0.002 | A = B < C |
| Baseline NT-proBNP | 233.5 [92.9–525.0] | 214.0 [54.6–584.5] | 265.0 [106.0–1215.0] | 0.603 | |
| Peak NT-proBNP | 259.5 [103.0–676.0] | 246.0 [100.0–610.8] | 888.0 [560.0–2305.0] | 0.014 | A = B < C |
| Follow-up NT-proBNP | 188.0 [61.7–463.0] | 163.0 [54.0–376.5] | 568.0 [210.0–992.0] | 0.031 | A = B < C |
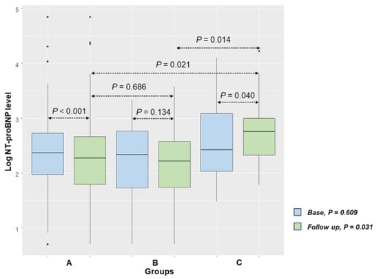
| Baseline Log NT-proBNP | 2.4 [2.0–2.7] | 2.3 [1.7–2.8] | 2.4 [2.0–3.1] | 0.603 | |
| Peak Log NT-proBNP | 2.4 [2.0–2.8] | 2.4 [2.0–2.8] | 2.9 [2.7–3.4] | 0.014 | A = B < C |
| Follow-up Log NT-proBNP | 2.3 [1.8–2.7] | 2.2 [1.7–2.6] | 2.8 [2.3–3.0] | 0.031 | A = B < C |
| N (%) or Mean ± SD | Total (n = 354) | A (n = 294) | B (n = 47) | C (n = 13) | p-Value |
|---|---|---|---|---|---|
| Follow-up duration, days | 399 [252–589] | 397 [241–596] | 440 [332–574] | 300 [273–340] | 0.062 |
| Hospitalization for heart failure | 3 (0.8%) | 3 (1.0%) | 0 (0.0%) | 0 (0.0%) | 0.734 |
| Heart transplantation | 1 (0.3%) | 1 (0.3%) | 0 (0.0%) | 0 (0.0%) | 0.903 |
| Mortality | 5 (1.4%) | 4 (1.4%) | 0 (0.0%) | 1 (7.7%) | 0.113 |
| Total (n = 354) | A (n = 294) | B (n = 47) | C (n = 13) | p-Value | Post Hoc | |
|---|---|---|---|---|---|---|
| Vital signs at baseline (n = 351) | ||||||
| Systolic blood pressure, mmHg | 113.0 [102.0–127.0] | 113.0 [102.0–128.0] | 113.0 [104.0–126.0] | 104.5 [96.5–123.0] | 0.456 | |
| Diastolic blood pressure, mmHg | 63.2 ± 14.6 | 63.4 ± 14.9 | 62.8 ± 13.9 | 60.5 ± 8.9 | 0.772 | |
| Heat rate (bpm) | 74.0 [67.0–83.0] | 74.0 [66.0–83.0] | 78.0 [71.0–84.0] | 73.5 [71.0–83.0] | 0.168 | |
| Vital signs at follow-up (n = 297) | ||||||
| Systolic blood pressure, mmHg | 116.0 [104.0–131.0] | 116.0 [104.5–130.0] | 118.0 [106.0–134.0] | 106.0 [101.0–132.0] | 0.702 | |
| Diastolic blood pressure, mmHg | 66.0 ± 14.9 | 66.0 ± 14.9 | 65.3 ± 14.5 | 69.2 ± 17.2 * | 0.699 | |
| Heart rate (bpm) | 75.0 [67.0–85.0] | 74.0 [65.0–83.0] | 78.0 [70.0–84.0] | 94.0 [82.0–100.0] | 0.001 | A = B < C |
| Echocardiography at baseline (n = 354) | ||||||
| LV end-diastolic dimension, mm | 55.5 [51.3–58.9] | 55.6 [52.0–59.3] | 55.7 [51.6–57.6] | 47.1 [43.6–48.3] | <0.001 | A = B > C |
| LV end-systolic dimension, mm | 38.6 [33.2–43.2] | 38.8 [34.2–43.3] | 37.2 [32.9–43.5] | 30.1 [29.4–32.1] | 0.001 | A = B > C |
| LV mass index, g/m2 | 106.7 [92.1–125.0] | 107.2 [92.1–126.1] | 103.8 [93.4–121.9] | 95.1 [86.1–118.1] | 0.632 | |
| LVEF, % | 47.0 [43.0–55.0] | 46.4 [42.6–53.7] | 48.3 [44.5–57.3] | 55.0 [47.3–58.0] | 0.022 | A = B < C |
| LAVI, mL/m2 | 36.9 [29.1–48.5] | 36.8 [28.9–48.9] | 37.4 [31.6–43.7] | 46.5 [37.8–53.1] | 0.413 | |
| E/e’ | 10.0 [7.8–13.3] | 9.8 [ 7.6–13.6] | 9.8 [ 7.6–13.6] | 11.9 [ 7.0–15.0] | 0.881 | |
| RV systolic pressure, mmHg | 26.4 [23.3–30.0] | 26.4 [23.4–29.2] | 26.4 [23.4–29.2] | 26.2 [25.5–33.1] | 0.676 | |
| Echocardiography at follow-up (n = 297) | ||||||
| LV end-diastolic dimension, mm | 54.0 [50.0–57.5] * | 54.2 [50.3–58.0] * | 53.4 [50.4–57.0] * | 48.3 [46.3–52.1] | 0.047 | A = B > C |
| LV end-systolic dimension, mm | 36.0 [32.2–41.2] * | 36.8 [33.0–41.3] * | 34.0 [31.9–40.6] * | 31.0 [28.9–35.9] | 0.090 | |
| LV mass index, g/m2 | 99.2 [85.2–115.9] * | 99.4 [84.8–117.5] * | 98.8 [87.4–113.2] * | 89.6 [87.7–107.7] | 0.786 | |
| LVEF, % | 52.5 [45.4–58.1] * | 51.6 [44.9–58.0] * | 56.0 [48.6–59.0] | 51.1 [51.0–58.5] | 0.085 | |
| LAVI, mL/m2 | 36.2 [27.9–46.6] | 35.8 [27.9–45.6] | 37.5 [28.8–47.8] | 34.5 [20.3–58.6] | 0.868 | |
| E/e’ | 9.7 [7.3–13.5] | 9.8 [ 7.4–13.5] | 8.2 [ 6.8–11.2] | 9.7 [ 7.8–17.2] | 0.483 | |
| RV systolic pressure, mmHg | 25.7 [22.9–31.5] | 25.4 [22.9–31.4] | 28.6 [24.3–31.5] | 23.0 [20.6–31.5] | 0.370 | |
| Laboratory at baseline | ||||||
| Hemoglobin, g/dL (n = 311) | 13.7 [12.1–15.0] | 13.7 [12.3–15.0] | 13.6 [12.0–14.9] | 11.5 [10.6–13.7] | 0.055 | |
| BUN, mg/dL (n = 347) | 17.1 [13.3–21.8] | 17.2 [13.2–21.5] | 16.3 [13.4–21.4] | 25.0 [14.2–45.1] | 0.174 | |
| Creatinine, mg/dL (n = 346) | 0.9 [0.8–1.1] | 0.9 [0.8–1.1] | 1.0 [0.8–1.2] | 1.1 [0.8–1.7] | 0.550 | |
| eGFR, mL/min/1.73 m2 (n = 346) | 81.8 [60.3–96.4] | 82.4 [60.7–96.8] | 81.4 [66.2–93.2] | 70.5 [40.5–89.8] | 0.347 | |
| Sodium, mmol/L (n = 345) | 140.0 [138.0–141.0] | 140.0 [138.0–141.0] | 140.0 [138.5–141.0] | 138.0 [134.0–140.0] | 0.022 | A = B > C |
| Potassium, mg/dL (n = 345) | 4.4 [4.1–4.8] | 4.4 [4.1–4.8] | 4.4 [4.1–4.8] | 4.4 [4.2–4.9] | 0.953 | |
| Laboratory at follow-up | ||||||
| Hemoglobin, g/dL (n = 321) | 13.8 [12.5–14.7] | 13.9 [12.5–14.9] | 13.1 [12.5–14.4] | 11.8 [10.4–14.6] | 0.050 | |
| BUN, mg/dL (n = 353) | 17.0 [13.2–22.2] | 16.8 [13.2–22.2] | 17.6 [13.8–21.8] | 18.1 [12.8–23.3] | 0.958 | |
| Creatinine, mg/dL (n = 353) | 1.0 [0.8–1.1] | 0.9 [0.8–1.1] | 1.0 [0.9–1.1] | 0.9 [0.6–1.1] | 0.690 | |
| eGFR, mL/min/1.73 m2 (n = 353) | 81.0 [62.1–93.7] | 81.0 [60.9–94.0] | 81.4 [63.7–91.8] | 76.9 [61.1–97.2] | 0.966 | |
| Sodium, mmol/L (n = 353) | 140.0 [138.0–141.0] | 140.0 [138.0–141.0] | 140.0 [138.0–141.0] | 139.0 [137.0–141.0] | 0.318 | |
| Potassium, mg/dL (n = 353) | 4.5 [4.2–4.8] | 4.5 [4.2–4.8] | 4.5 [4.0–4.8] | 4.5 [4.4–5.3] | 0.242 | |
| Total (n = 354) | A (n = 294) | B (n = 47) | C (n = 13) | p-Value | |
|---|---|---|---|---|---|
| Medication at baseline | |||||
| Beta blocker | 322 (91.0%) | 270 (91.8%) | 42 (89.4%) | 10 (76.9%) | 0.171 |
| Spironolactone | 286 (80.8%) | 235 (79.9%) | 42 (89.4%) | 9 (69.2%) | 0.175 |
| SGLT-2 inhibitor | 132 (37.3%) | 119 (40.5%) | 9 (19.1%) | 4 (30.8%) | 0.017 |
| Medication at follow-up | |||||
| Beta blocker | 211 (59.6%) * | 176 (59.9%) * | 30 (63.8%) * | 5 (38.5%) | 0.250 |
| Spironolactone | 274 (77.4%) | 231 (78.6%) | 34 (72.3%) * | 9 (69.2%) | 0.493 |
| SGLT-2 inhibitor | 171 (48.3%) * | 149 (50.7%) * | 16 (34.0%) * | 6 (46.2%) | 0.105 |
Disclaimer/Publisher’s Note: The statements, opinions and data contained in all publications are solely those of the individual author(s) and contributor(s) and not of MDPI and/or the editor(s). MDPI and/or the editor(s) disclaim responsibility for any injury to people or property resulting from any ideas, methods, instructions or products referred to in the content. |
© 2025 by the authors. Published by MDPI on behalf of the Lithuanian University of Health Sciences. Licensee MDPI, Basel, Switzerland. This article is an open access article distributed under the terms and conditions of the Creative Commons Attribution (CC BY) license (https://creativecommons.org/licenses/by/4.0/).
Share and Cite
Park, Y.; Bak, M.; Shin, H.; Hong, D.; Yang, J.H.; Kim, D.; Jeon, E.-S.; Choi, J.-O. Optimal Maintenance Strategy for Patients with Improved Left Ventricular Function Following Sacubitril/Valsartan Therapy. Medicina 2025, 61, 1487. https://doi.org/10.3390/medicina61081487
Park Y, Bak M, Shin H, Hong D, Yang JH, Kim D, Jeon E-S, Choi J-O. Optimal Maintenance Strategy for Patients with Improved Left Ventricular Function Following Sacubitril/Valsartan Therapy. Medicina. 2025; 61(8):1487. https://doi.org/10.3390/medicina61081487
Chicago/Turabian StylePark, Yoonjee, Minjung Bak, Heayoung Shin, David Hong, Jeong Hoon Yang, Darae Kim, Eun-Seok Jeon, and Jin-Oh Choi. 2025. "Optimal Maintenance Strategy for Patients with Improved Left Ventricular Function Following Sacubitril/Valsartan Therapy" Medicina 61, no. 8: 1487. https://doi.org/10.3390/medicina61081487
APA StylePark, Y., Bak, M., Shin, H., Hong, D., Yang, J. H., Kim, D., Jeon, E.-S., & Choi, J.-O. (2025). Optimal Maintenance Strategy for Patients with Improved Left Ventricular Function Following Sacubitril/Valsartan Therapy. Medicina, 61(8), 1487. https://doi.org/10.3390/medicina61081487

