Development of a Prognostic Scoring System for Tracheostomized Patients Requiring Prolonged Ventilator Care: A Ten-Year Experience in a University-Affiliated Tertiary Hospital
Abstract
1. Introduction
2. Materials and Methods
2.1. Study Design and Patient Selection
2.2. Outcome and Data Collection
2.3. ProVent 14 Scores and Additional Variables
2.4. Statistical Analysis
3. Results
3.1. Patient Characteristics
3.2. Analysis of Tracheostomized Patients
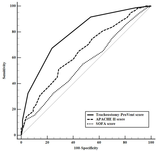
3.3. Prognostic Model for 1-Year Mortality in Tracheostomized Patients
4. Discussion
5. Conclusions
Author Contributions
Funding
Institutional Review Board Statement
Informed Consent Statement
Data Availability Statement
Conflicts of Interest
References
- Cox, C.E.; Carson, S.S.; Govert, J.A.; Chelluri, L.; Sanders, G.D. An economic evaluation of prolonged mechanical ventilation*. Crit. Care Med. 2007, 35, 1918–1927. [Google Scholar] [CrossRef] [PubMed]
- Unroe, M.; Kahn, J.M.; Carson, S.S.; Govert, J.A.; Martinu, T.; Sathy, S.J.; Clay, A.S.; Chia, J.; Gray, A.; Tulsky, J.A.; et al. One-year trajectories of care and resource utilization for recipients of prolonged mechanical ventilation: A cohort study. Ann. Intern. Med. 2010, 153, 167–175. [Google Scholar] [CrossRef] [PubMed]
- Nelson, J.E.; Mercado, A.F.; Camhi, S.L.; Tandon, N.; Wallenstein, S.; August, G.I.; Morrison, R.S. Communication about chronic critical illness. Arch. Intern. Med. 2007, 167, 2509–2515. [Google Scholar] [CrossRef] [PubMed]
- Cox, C.E.; Martinu, T.; Sathy, S.J.; Clay, A.S.; Chia, J.; Gray, A.L.; Olsen, M.K.; Govert, J.A.; Carson, S.S.; Tulsky, J.A. Expectations and outcomes of prolonged mechanical ventilation. Crit. Care Med. 2009, 37, 2888–2894, quiz 2904. [Google Scholar] [CrossRef] [PubMed]
- Carson, S.S.; Garrett, J.; Hanson, L.C.; Lanier, J.; Govert, J.; Brake, M.C.; Landucci, D.L.; Cox, C.E.; Carey, T.S. A prognostic model for one-year mortality in patients requiring prolonged mechanical ventilation. Crit. Care Med. 2008, 36, 2061–2069. [Google Scholar] [CrossRef] [PubMed]
- Carson, S.S.; Kahn, J.M.; Hough, C.L.; Seeley, E.J.; White, D.B.; Douglas, I.S.; Cox, C.E.; Caldwell, E.; Bangdiwala, S.I.; Garrett, J.M.; et al. A multicenter mortality prediction model for patients receiving prolonged mechanical ventilation. Crit. Care Med. 2012, 40, 1171–1176. [Google Scholar] [CrossRef] [PubMed]
- Hough, C.L.; Caldwell, E.S.; Cox, C.E.; Douglas, I.S.; Kahn, J.M.; White, D.B.; Seeley, E.J.; Bangdiwala, S.I.; Rubenfeld, G.D.; Angus, D.C.; et al. Development and Validation of a Mortality Prediction Model for Patients Receiving 14 Days of Mechanical Ventilation. Crit. Care Med. 2015, 43, 2339–2345. [Google Scholar] [CrossRef] [PubMed]
- Leroy, G.; Devos, P.; Lambiotte, F.; Thévenin, D.; Leroy, O. One-year mortality in patients requiring prolonged mechanical ventilation: Multicenter evaluation of the ProVent score. Crit. Care 2014, 18, R155. [Google Scholar] [CrossRef]
- Udeh, C.I.; Hadder, B.; Udeh, B.L. Validation and Extension of the Prolonged Mechanical Ventilation Prognostic Model (ProVent) Score for Predicting 1-Year Mortality after Prolonged Mechanical Ventilation. Ann. Am. Thorac. Soc. 2015, 12, 1845–1851. [Google Scholar] [CrossRef]
- Dibiasi, C.; Kimberger, O.; Bologheanu, R.; Staudinger, T.; Heinz, G.; Zauner, C.; Sengölge, G.; Schaden, E. External validation of the ProVent score for prognostication of 1-year mortality of critically ill patients with prolonged mechanical ventilation: A single-centre, retrospective observational study in Austria. BMJ Open 2022, 12, e066197. [Google Scholar] [CrossRef]
- Mok, J.H.; Kim, Y.H.; Jeong, E.S.; Eom, J.S.; Kim, M.H.; Kim, K.U.; Lee, M.K.; Lee, K. Clinical application of the ProVent score in Korean patients requiring prolonged mechanical ventilation: A 10-year experience in a university-affiliated tertiary hospital. J. Crit. Care 2016, 33, 158–162. [Google Scholar] [CrossRef] [PubMed]
- Kim, W.Y.; Jo, E.J.; Eom, J.S.; Mok, J.; Kim, M.H.; Kim, K.U.; Park, H.K.; Lee, M.K.; Lee, K. Validation of the Prognosis for Prolonged Ventilation (ProVent) score in patients receiving 14days of mechanical ventilation. J. Crit. Care 2018, 44, 249–254. [Google Scholar] [CrossRef] [PubMed]
- Park, Y.R.; Lee, J.S.; Kim, H.J.; Hong, S.B.; Lim, C.M.; Koh, Y.; Huh, J.W. Modification of the prolonged mechanical ventilation prognostic model score to predict short-term and 1-year mortalities. Respirology 2019, 24, 179–185. [Google Scholar] [CrossRef]
- Cheung, N.H.; Napolitano, L.M. Tracheostomy: Epidemiology, indications, timing, technique, and outcomes. Respir. Care 2014, 59, 895–916. [Google Scholar] [CrossRef] [PubMed]
- Hosokawa, K.; Nishimura, M.; Egi, M.; Vincent, J.L. Timing of tracheotomy in ICU patients: A systematic review of randomized controlled trials. Crit. Care 2015, 19, 424. [Google Scholar] [CrossRef]
- Aquino Esperanza, J.; Pelosi, P.; Blanch, L. What’s new in intensive care: Tracheostomy-what is known and what remains to be determined. Intensive Care Med. 2019, 45, 1619–1621. [Google Scholar] [CrossRef]
- Nukiwa, R.; Uchiyama, A.; Tanaka, A.; Kitamura, T.; Sakaguchi, R.; Shimomura, Y.; Ishigaki, S.; Enokidani, Y.; Yamashita, T.; Koyama, Y.; et al. Timing of tracheostomy and patient outcomes in critically ill patients requiring extracorporeal membrane oxygenation: A single-center retrospective observational study. J. Intensive Care 2022, 10, 56. [Google Scholar] [CrossRef]
- Hernandez, G.; Ramos, F.J.; Añon, J.M.; Ortiz, R.; Colinas, L.; Masclans, J.R.; De Haro, C.; Ortega, A.; Peñuelas, O.; Cruz-Delgado, M.D.M.; et al. Early Tracheostomy for Managing ICU Capacity During the COVID-19 Outbreak: A Propensity-Matched Cohort Study. Chest 2022, 161, 121–129. [Google Scholar] [CrossRef]
- Brower, R.G.; Matthay, M.A.; Morris, A.; Schoenfeld, D.; Thompson, B.T.; Wheeler, A. Ventilation with lower tidal volumes as compared with traditional tidal volumes for acute lung injury and the acute respiratory distress syndrome. N. Engl. J. Med. 2000, 342, 1301–1308. [Google Scholar] [CrossRef]
- Knaus, W.A.; Draper, E.A.; Wagner, D.P.; Zimmerman, J.E. APACHE II: A severity of disease classification system. Crit. Care Med. 1985, 13, 818–829. [Google Scholar] [CrossRef]
- Vincent, J.L.; Moreno, R.; Takala, J.; Willatts, S.; De Mendonça, A.; Bruining, H.; Reinhart, C.K.; Suter, P.M.; Thijs, L.G. The SOFA (Sepsis-related Organ Failure Assessment) score to describe organ dysfunction/failure. On behalf of the Working Group on Sepsis-Related Problems of the European Society of Intensive Care Medicine. Intensive Care Med. 1996, 22, 707–710. [Google Scholar] [CrossRef]
- Charlson, M.E.; Pompei, P.; Ales, K.L.; MacKenzie, C.R. A new method of classifying prognostic comorbidity in longitudinal studies: Development and validation. J. Chronic Dis. 1987, 40, 373–383. [Google Scholar] [CrossRef]
- Sun, Y.; Li, S.; Wang, S.; Li, C.; Li, G.; Xu, J.; Wang, H.; Liu, F.; Yao, G.; Chang, Z.; et al. Predictors of 1-year mortality in patients on prolonged mechanical ventilation after surgery in intensive care unit: A multicenter, retrospective cohort study. BMC Anesthesiol. 2020, 20, 44. [Google Scholar] [CrossRef]
- Roh, J.; Jo, E.J.; Eom, J.S.; Mok, J.; Kim, M.H.; Kim, K.U.; Park, H.K.; Lee, M.K.; Yeom, S.; Lee, K. Factors predicting long-term survival of patients with sepsis on arrival at the emergency department: A single-center, observational study. Medicine 2019, 98, e16871. [Google Scholar] [CrossRef] [PubMed]
- DeLong, E.R.; DeLong, D.M.; Clarke-Pearson, D.L. Comparing the areas under two or more correlated receiver operating characteristic curves: A nonparametric approach. Biometrics 1988, 44, 837–845. [Google Scholar] [CrossRef]
- Perkins, N.J.; Schisterman, E.F. The inconsistency of “optimal” cutpoints obtained using two criteria based on the receiver operating characteristic curve. Am. J. Epidemiol. 2006, 163, 670–675. [Google Scholar] [CrossRef] [PubMed]
- Carmo, T.A.; Ferreira, I.B.; Menezes, R.C.; Telles, G.P.; Otero, M.L.; Arriaga, M.B.; Fukutani, K.F.; Neto, L.P.; Agareno, S.; Filgueiras Filho, N.M.; et al. Derivation and Validation of a Novel Severity Scoring System for Pneumonia at Intensive Care Unit Admission. Clin. Infect. Dis. 2021, 72, 942–949. [Google Scholar] [CrossRef]
- Charles, P.G.; Wolfe, R.; Whitby, M.; Fine, M.J.; Fuller, A.J.; Stirling, R.; Wright, A.A.; Ramirez, J.A.; Christiansen, K.J.; Waterer, G.W.; et al. SMART-COP: A tool for predicting the need for intensive respiratory or vasopressor support in community-acquired pneumonia. Clin. Infect. Dis. 2008, 47, 375–384. [Google Scholar] [CrossRef] [PubMed]
- Singer, M.; Deutschman, C.S.; Seymour, C.W.; Shankar-Hari, M.; Annane, D.; Bauer, M.; Bellomo, R.; Bernard, G.R.; Chiche, J.D.; Coopersmith, C.M.; et al. The Third International Consensus Definitions for Sepsis and Septic Shock (Sepsis-3). JAMA 2016, 315, 801–810. [Google Scholar] [CrossRef] [PubMed]
- Muscedere, J.; Waters, B.; Varambally, A.; Bagshaw, S.M.; Boyd, J.G.; Maslove, D.; Sibley, S.; Rockwood, K. The impact of frailty on intensive care unit outcomes: A systematic review and meta-analysis. Intensive Care Med. 2017, 43, 1105–1122. [Google Scholar] [CrossRef]
- Breen, T.J.; Bennett, C.E.; Van Diepen, S.; Katz, J.; Anavekar, N.S.; Murphy, J.G.; Bell, M.R.; Barsness, G.W.; Jentzer, J.C. The Mayo Cardiac Intensive Care Unit Admission Risk Score is Associated with Medical Resource Utilization During Hospitalization. Mayo Clin. Proc. Innov. Qual. Outcomes 2021, 5, 839–850. [Google Scholar] [CrossRef] [PubMed]
- Mehter, H.M.; McCannon, J.B.; Clark, J.A.; Wiener, R.S. Physician Approaches to Conflict with Families Surrounding End-of-Life Decision-making in the Intensive Care Unit. A Qualitative Study. Ann. Am. Thorac. Soc. 2018, 15, 241–249. [Google Scholar] [CrossRef] [PubMed]




| Variable | Tracheostomy (n = 278) | Non-Tracheostomy (n = 49) | p-Value |
|---|---|---|---|
| Age, years | 71 (61–77) | 64 (54–76) | 0.711 |
| Male, n (%) | 184 (66.2) | 33 (67.3) | 0.874 |
| Body mass index (kg/m2) 1 | 22.0 (19.8–24.0) | 22.0 (19.6–25.9) | 0.480 |
| Major diagnoses leading to MV, n (%) | |||
| Pulmonary including pneumonia | 204 (73.4) | 34 (69.4) | 0.563 |
| Neurologic diseases | 26 (9.4) | 3 (6.1) | 0.463 |
| Infectious diseases other than pneumonia | 22 (7.9) | 8 (16.3) | 0.060 |
| Postoperative state | 7 (2.5) | 2 (4.1) | 0.537 |
| Trauma | 5 (1.8) | 0 (0.0) | 0.344 |
| Cardiovascular diseases | 4 (1.4) | 0 (0.0) | 0.398 |
| Others, n (%) 2 | 10 (3.6) | 2 (4.1) | 0.868 |
| Severity of illness | |||
| APACHE II score | 20 (15.0–25.0) | 20 (15–26) | 0.366 |
| SOFA score | 7 (4.0–9.0) | 9 (5–11) | 0.041 |
| Charlson’s comorbidity index | 4 (3–6) | 5 (3–6) | 0.046 |
| MV length of stay, days | 25 (19–35) | 17 (15–22) | 0.238 |
| Hospital length of stay, days | 41.0 (27.0–69.3) | 27.0 (17.5–46.0) | 0.291 |
| ICU length of stay, days | 27.0 (20.0–39.3) | 20.0 (16.0–24.0) | 0.523 |
| Mortality, n (%) | |||
| ICU mortality | 104 (37.4) | 31 (63.3) | 0.001 |
| In-hospital mortality | 113 (40.6) | 32 (65.3) | 0.001 |
| 1-year cumulative mortality | 180 (64.7) | 41 (83.7) | 0.009 |
| Variable | Survivors (n = 98) | Non-Survivors (n = 180) | p-Value |
|---|---|---|---|
| Age ≥ 65 years | 56 (57.1) | 130 (72.2) | 0.011 |
| Clinical variables on day 14 of MV | |||
| Requirement for vasopressors, n (%) | 23 (23.5) | 72 (40.0) | 0.005 |
| Requirement for hemodialysis, n (%) | 5 (5.1) | 25 (13.9) | 0.024 |
| Occurrence of delirium, n (%) | 11 (11.2) | 12 (6.7) | 0.188 |
| Laboratory data on day 14 of MV | |||
| Platelet count < 150 × 109 /L, n (%) | 22 (22.4) | 96 (53.3) | <0.001 |
| Leukocytosis, n (%) | 33 (33.7) | 80 (44.4) | 0.081 |
| PaO2/FiO2 < 200 mmHg, n (%) | 17 (17.3) | 67 (37.2) | 0.001 |
| Albumin | 2.7 (2.4–3.0) | 2.5 (2.3–2.9) | 0.002 |
| Bilirubin | 0.7 (0.4–1.1) | 0.9 (0.5–1.7) | 0.004 |
| Underlying comorbidities, n (%) | |||
| Diabetes mellitus | 32 (32.7) | 59 (32.8) | 0.983 |
| Cardiovascular diseases | 14 (14.3) | 62 (34.4) | <0.001 |
| Chronic lung diseases | 16 (16.3) | 49 (27.2) | 0.040 |
| Neurologic diseases | 28 (28.6) | 36 (20) | 0.105 |
| Hemato-oncologic diseases | 11 (11.2) | 49 (27.2) | 0.002 |
| Chronic kidney diseases | 5 (5.1) | 27 (15) | 0.013 |
| Immunocompromised | 2 (2.0) | 25 (13.9) | 0.001 |
| Chronic liver diseases | 11 (11.2) | 15 (8.3) | 0.429 |
| Rheumatologic diseases | 2 (2) | 7 (3.9) | 0.406 |
| Variable | Unadjusted OR (95% CI) | p-Value | Adjusted OR (95% CI) | p-Value | β Value |
|---|---|---|---|---|---|
| Age ≥ 65 years | 1.950 (1.164–3.267) | 0.011 | |||
| BMI ≤ 23.0 kg/m2 | 2.159 (1.295–3.597) | 0.003 | 2.145 (1.184–3.887) | 0.012 | 0.763 |
| Clinical variables on day 14 of ventilator care | |||||
| Requirement for vasopressors | 2.174 (1.249–3.784) | 0.006 | |||
| Requirement for hemodialysis | 3.000 (1.110–8.106) | 0.030 | |||
| Laboratory data on day 14 of ventilator care | |||||
| Platelet count < 150 × 103/μL | 3.948 (2.261–6.895) | <0.001 | 3.256 (1.736–6.106) | <0.001 | 1.180 |
| Leukocytosis | 1.576 (0.945–2.629) | 0.082 | |||
| PaO2/FiO2 ≤ 200 mmHg | 2.825 (1.544–5.168) | 0.001 | 2.953 (1.488–5.862) | 0.002 | 1.083 |
| Albumin ≤ 2.8 g/dL | 2.277 (1.353–3.834) | 0.002 | 1.888 (1.016–3.510) | 0.044 | 0.636 |
| Underlying comorbidities | |||||
| Cardiovascular diseases | 3.153 (1.656–6.002) | <0.001 | 2.945 (1.396–6.212) | 0.005 | 1.080 |
| Chronic lung diseases | 1.917 (1.023–3.593) | 0.042 | |||
| Hemato-oncologic diseases | 2.958 (1.458–6.005) | 0.003 | |||
| Chronic kidney diseases | 3.282 (1.222–8.820) | 0.018 | |||
| Immunocompromised | 7.742 (1.793–33.423) | 0.006 | 8.934 (1.898–42.055) | 0.006 | 2.190 |
| Variable | Unadjusted OR (95% CI) | p-Value |
|---|---|---|
| Age ≥ 65 years | 1.750 (0.369–8.302) | 0.481 |
| Clinical variables on day 14 of MV | ||
| Requirement for vasopressors | 2.604 (0.546–12.428) | 0.230 |
| Requirement for hemodialysis | 0.618 (0.103–3.719) | 0.599 |
| Laboratory data on day 14 of MV | ||
| Platelet count < 150 × 109 /L | 5.200 (0.929–29.094) | 0.061 |
| Leukocytosis | 0.640 (0.140–2.930) | 0.565 |
| Underlying comorbidities, n (%) | ||
| Cardiovascular diseases | 2.897 (0.321–26.158) | 0.344 |
| Chronic kidney diseases | 1.321 (0.128–13.656) | 0.815 |
Disclaimer/Publisher’s Note: The statements, opinions and data contained in all publications are solely those of the individual author(s) and contributor(s) and not of MDPI and/or the editor(s). MDPI and/or the editor(s) disclaim responsibility for any injury to people or property resulting from any ideas, methods, instructions or products referred to in the content. |
© 2024 by the authors. Licensee MDPI, Basel, Switzerland. This article is an open access article distributed under the terms and conditions of the Creative Commons Attribution (CC BY) license (https://creativecommons.org/licenses/by/4.0/).
Share and Cite
Jang, H.; Yoo, W.; Seong, H.; Kim, S.; Kim, S.H.; Jo, E.-J.; Eom, J.S.; Lee, K. Development of a Prognostic Scoring System for Tracheostomized Patients Requiring Prolonged Ventilator Care: A Ten-Year Experience in a University-Affiliated Tertiary Hospital. Medicina 2024, 60, 280. https://doi.org/10.3390/medicina60020280
Jang H, Yoo W, Seong H, Kim S, Kim SH, Jo E-J, Eom JS, Lee K. Development of a Prognostic Scoring System for Tracheostomized Patients Requiring Prolonged Ventilator Care: A Ten-Year Experience in a University-Affiliated Tertiary Hospital. Medicina. 2024; 60(2):280. https://doi.org/10.3390/medicina60020280
Chicago/Turabian StyleJang, Hyojin, Wanho Yoo, Hayoung Seong, Saerom Kim, Soo Han Kim, Eun-Jung Jo, Jung Seop Eom, and Kwangha Lee. 2024. "Development of a Prognostic Scoring System for Tracheostomized Patients Requiring Prolonged Ventilator Care: A Ten-Year Experience in a University-Affiliated Tertiary Hospital" Medicina 60, no. 2: 280. https://doi.org/10.3390/medicina60020280
APA StyleJang, H., Yoo, W., Seong, H., Kim, S., Kim, S. H., Jo, E.-J., Eom, J. S., & Lee, K. (2024). Development of a Prognostic Scoring System for Tracheostomized Patients Requiring Prolonged Ventilator Care: A Ten-Year Experience in a University-Affiliated Tertiary Hospital. Medicina, 60(2), 280. https://doi.org/10.3390/medicina60020280

