Twenty Years’ Experience in Retroperitoneal Lymph Node Dissection for Testicular Cancer in a Tertiary Referral Center
Abstract
1. Introduction
2. Materials and Methods
2.1. Study Design and Population
2.2. Outcomes
2.3. Surgical Technique and Surgeon Experience
2.4. Statistical Analysis
- Preoperative information (risk factors, date of birth, date at surgery, TNM-staging, Union for International Cancer Control staging, preoperative testis histology, post-chemotherapy mass size and site, chemotherapy regimens, indication for RPLND, radiology reports, hematic exams, and tumor markers).
- Perioperative information and surgical outcomes (date of surgery, location, operation report, nerve-sparing approach, template, concurrent procedures, necessity of transfusion, and intraoperative complications).
- Postoperative information (complications, length of stay, resected mass pathologic report, radiology reports, hematic exams, follow-up, recurrence, survival). Pathologic review included nodal yield, histology of the retroperitoneal mass excised, number of positive lymph nodes, and final pathologic nodal staging.
- Follow-up information (complications, ejaculation preservation and, recurrence). Complications were identified by reviewing operative records, and postoperative in- and outpatient records. Complications were graded according to the Clavien–Dindo Classification. Relapse and survival data were obtained from medical records and external correspondence. Computed tomography (CT) scans or magnetic resonance imaging (MRI) as well as tumor serum markers were used to evaluate disease recurrence.
3. Results
3.1. Patients’ Characteristics
3.2. Clinical and Pathological Features among Groups according to Primary Histology or RPLND Setting
3.3. Perioperative Characteristics, Complications, and Functional Outcomes
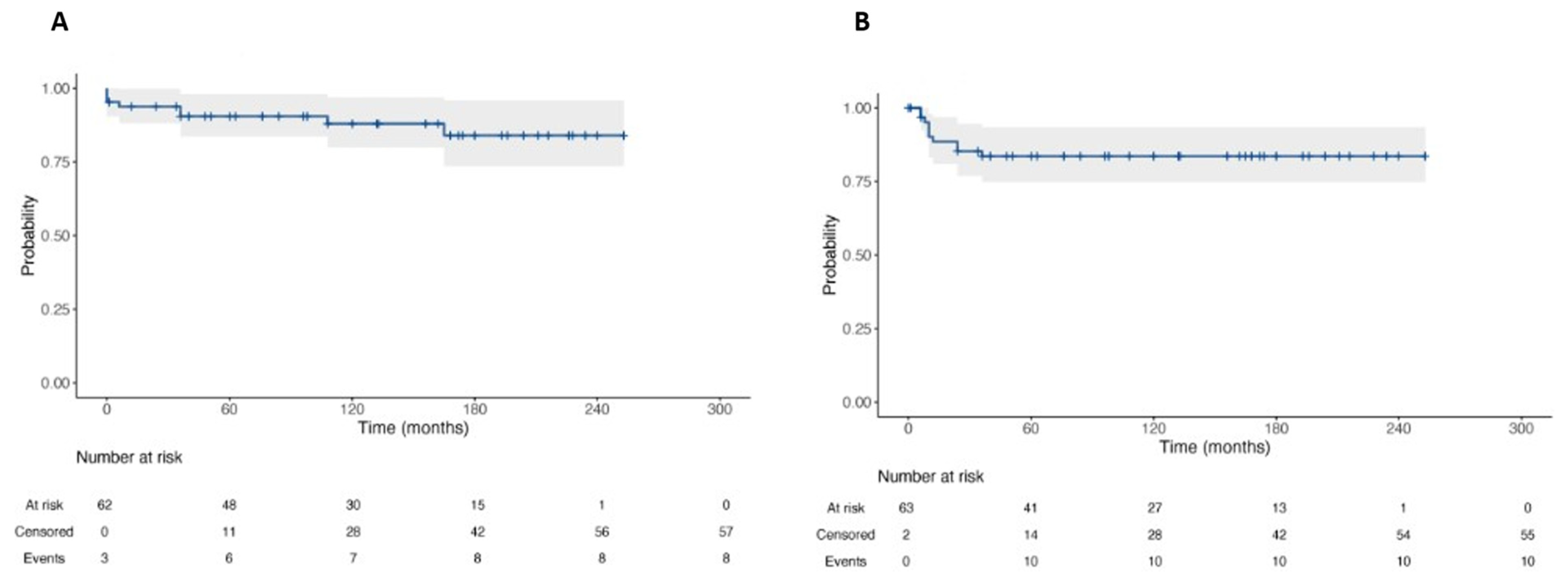
3.4. Oncological Outcomes
4. Discussion
5. Conclusions
Author Contributions
Funding
Institutional Review Board Statement
Informed Consent Statement
Data Availability Statement
Conflicts of Interest
References
- Schwen, Z.R.; Gupta, M.; Pierorazio, P.M. A Review of Outcomes and Technique for the Robotic-Assisted Laparoscopic Retroperitoneal Lymph Node Dissection for Testicular Cancer. Adv. Urol. 2018, 2018, 2146080. [Google Scholar] [CrossRef] [PubMed]
- Reese, S.W.; Tully, K.H.; Nabi, J.; Paciotti, M.; Chou, W.H.; Trinh, Q.D. Temporal Trends in the Incidence of Testicular Cancer in the United States over the Past Four Decades. Eur. Urol. Oncol. 2021, 4, 834–836. [Google Scholar] [CrossRef] [PubMed]
- Crocetto, F.; Arcaniolo, D.; Napolitano, L.; Barone, B.; la Rocca, R.; Capece, M.; Caputo, V.F.; Imbimbo, C.; de Sio, M.; Calace, F.P.; et al. Impact of Sexual Activity on the Risk of Male Genital Tumors: A Systematic Review of the Literature. Int. J. Environ. Res. Public Health 2021, 18, 8500. [Google Scholar] [CrossRef]
- Nicolai, N.; Tarabelloni, N.; Gasperoni, F.; Catanzaro, M.; Stagni, S.; Torelli, T.; Tesone, A.; Bettin, L.; Necchi, A.; Giannatempo, P.; et al. Laparoscopic Retroperitoneal Lymph Node Dissection for Clinical Stage I Nonseminomatous Germ Cell Tumors of the Testis: Safety and Efficacy Analyses at a High Volume Center. J. Urol. 2018, 199, 741–747. [Google Scholar] [CrossRef]
- Tandstad, T.; Smaaland, R.; Solberg, A.; Bremnes, R.M.; Langberg, C.W.; Laurell, A.; Stierner, U.K.; Ståhl, O.; Cavallin-Ståhl, E.K.; Klepp, O.H.; et al. Management of Seminomatous Testicular Cancer: A Binational Prospective Population-Based Study from the Swedish Norwegian Testicular Cancer Study Group. J. Clin. Oncol. 2011, 29, 719–725. [Google Scholar] [CrossRef] [PubMed]
- Stephenson, A.; Eggener, S.E.; Bass, E.B.; Chelnick, D.M.; Daneshmand, S.; Feldman, D.; Gilligan, T.; Karam, J.A.; Leibovich, B.; Liauw, S.L.; et al. Diagnosis and Treatment of Early Stage Testicular Cancer: AUA Guideline. J. Urol. 2019, 202, 272–281. [Google Scholar] [CrossRef] [PubMed]
- Laguna, M.P.; Albers, P.; Algaba, F.; Bokemeyer, C.; Boormans, J.L.; Di Nardo, D.; Fischer, S.; Fizazi, K.; Gremmels, H.; Leao, R.; et al. European Association of Urology Guidelines on Testicular Cancer. Edn. In Proceedings of the EAU Annual Congress Amsterdam 2022, Arnhem, The Netherlands, 1–4 July 2022; Available online: http://uroweb.org/guidelines/compilations-of-all-guidelines/ (accessed on 10 November 2022).
- Ghazi, A.E.; Janetschek, G. Difficulties in Laparoscopic Retroperitoneal Lymph Node Dissection. In Difficult Conditions in Laparoscopic Urologic Surgery; Springer: London, UK, 2011; pp. 259–283. ISBN 9781848821040. [Google Scholar]
- Nason, G.J.; Kuhathaas, K.; Anson-Cartwright, L.; Jewett, M.A.S.; O’Malley, M.; Sweet, J.; Hansen, A.; Bedard, P.; Chung, P.; Hahn, E.; et al. Robotic Retroperitoneal Lymph Node Dissection for Primary and Post-Chemotherapy Testis Cancer. J. Robot. Surg. 2022, 16, 369–375. [Google Scholar] [CrossRef]
- Mano, R.; di Natale, R.; Sheinfeld, J. Current Controversies on the Role of Retroperitoneal Lymphadenectomy for Testicular Cancer. Urol. Oncol. Semin. Orig. Investig. 2019, 37, 209–218. [Google Scholar] [CrossRef]
- McClintock, G.; Goolam, A.S.; Perera, D.; Downey, R.; Leslie, S.; Grimison, P.; Woo, H.; Ferguson, P.; Ahmadi, N. Robotic-Assisted Retroperitoneal Lymph Node Dissection for Stage 2 Testicular Cancer. Asian J. Urol. 2022; in press. [Google Scholar] [CrossRef]
- Rodrigues, G.J.; Guglielmetti, G.B.; Orvieto, M.; Seetharam Bhat, K.R.; Patel, V.R.; Coelho, R.F. Robot-Assisted Retroperitoneal Lymphadenectomy: The State of Art. Asian J. Urol. 2021, 8, 27–37. [Google Scholar] [CrossRef]
- Lloyd, P.; Hong, A.; Furrer, M.A.; Lee, E.W.Y.; Dev, H.S.; Coret, M.H.; Adshead, J.M.; Baldwin, P.; Knight, R.; Shamash, J.; et al. A Comparative Study of Peri-Operative Outcomes for 100 Consecutive Post-Chemotherapy and Primary Robot-Assisted and Open Retroperitoneal Lymph Node Dissections. World J. Urol. 2022, 40, 119–126. [Google Scholar] [CrossRef] [PubMed]
- Pearce, A.K.; Manson-Bahr, D.; Reid, A.; Huddart, R.; Mayer, E.; Nicol, D.L. Outcomes of Postchemotherapy Retroperitoneal Lymph Node Dissection from a High-Volume UK Centre Compared with a National Data Set. Eur. Urol. Open Sci. 2021, 33, 83–88. [Google Scholar] [CrossRef] [PubMed]
- Williams, I.S.C.; Lahoud, J.; Gurney, H.; Arasaratnam, M.; Patel, M.I. Outcomes of Retroperitoneal Lymph Node Dissection for Testicular Cancer by a High Volume Surgeon from Australia: A Case for Centralisation. ANZ J. Surg. 2022, 92, 1044–1049. [Google Scholar] [CrossRef] [PubMed]
- Capitanio, U.; Jeldres, C.; Perrotte, P.; Isbarn, H.; Crépel, M.; Cloutier, V.; Baillargeon-Gagne, S.; Shariat, S.F.; Duclos, A.; Arjane, P.; et al. Population-Based Study of Perioperative Mortality After Retroperitoneal Lymphadenectomy for Nonseminomatous Testicular Germ Cell Tumors. Urology 2009, 74, 373–377. [Google Scholar] [CrossRef]
- Krege, S.; Beyer, J.; Souchon, R.; Albers, P.; Albrecht, W.; Algaba, F.; Bamberg, M.; Bodrogi, I.; Bokemeyer, C.; Cavallin-Ståhl, E.; et al. European Consensus Conference on Diagnosis and Treatment of Germ Cell Cancer: A Report of the Second Meeting of the European Germ Cell Cancer Consensus Group (EGCCCG): Part II. Eur. Urol. 2008, 53, 497–513. [Google Scholar] [CrossRef]
- Hillelsohn, J.H.; Duty, B.D.; Okhunov, Z.; Kavoussi, L.R. Laparoscopic Retroperitoneal Lymph Node Dissection for Testicular Cancer. Arab J. Urol. 2012, 10, 66–73. [Google Scholar] [CrossRef]
- Shah, S. Common Terminology Criteria for Adverse Events. Version 5.0; US Department of Health and Human Services, National Institutes of Health, National Cancer Institute, UpToDate, Inc.: Wellesley, MA, USA, 2020. [Google Scholar]
- Clavien, P.A.; Barkun, J.; de Oliveira, M.L.; Vauthey, J.N.; Dindo, D.; Schulick, R.D.; de Santibañes, E.; Pekolj, J.; Slankamenac, K.; Bassi, C.; et al. The Clavien-Dindo Classification of Surgical Complications: Five-Year Experience. Ann. Surg. 2009, 250, 187–196. [Google Scholar] [CrossRef]
- Mitropoulos, D.; Artibani, W.; Graefen, M.; Remzi, M.; Rouprêt, M.; Truss, M. Reporting and Grading of Complications after Urologic Surgical Procedures: An Ad Hoc EAU Guidelines Panel Assessment and Recommendations. Eur. Urol. 2012, 61, 341–349. [Google Scholar] [CrossRef]
- Assel, M.; Sjoberg, D.; Elders, A.; Wang, X.; Huo, D.; Botchway, A.; Delfino, K.; Fan, Y.; Zhao, Z.; Koyama, T.; et al. Guidelines for Reporting of Statistics for Clinical Research in Urology. Eur. Urol. 2019, 75, 358–367. [Google Scholar] [CrossRef]
- Tandstad, T.; Kollmannsberger, C.K.; Roth, B.J.; Jeldres, C.; Gillessen, S.; Fizazi, K.; Daneshmand, S.; Lowrance, W.T.; Hanna, N.H.; Albany, C.; et al. Practice Makes Perfect: The Rest of the Story in Testicular Cancer as a Model Curable Neoplasm. J. Clin. Oncol. 2017, 35, 3525–3528. [Google Scholar] [CrossRef]
- Wells, H.; Hayes, M.C.; O’Brien, T.; Fowler, S. Contemporary Retroperitoneal Lymph Node Dissection (RPLND) for Testis Cancer in the UK—A National Study. BJU Int. 2017, 119, 91–99. [Google Scholar] [CrossRef] [PubMed]
- Ruf, C.G.; Krampe, S.; Matthies, C.; Anheuser, P.; Nestler, T.; Simon, J.; Isbarn, H.; Dieckmann, K.P. Major Complications of Post-Chemotherapy Retroperitoneal Lymph Node Dissection in a Contemporary Cohort of Patients with Testicular Cancer and a Review of the Literature. World J. Surg. Oncol. 2020, 18, 253. [Google Scholar] [CrossRef] [PubMed]
- Cary, C.; Foster, R.S.; Masterson, T.A. Complications of Retroperitoneal Lymph Node Dissection. Urol. Clin. N. Am. 2019, 46, 429–437. [Google Scholar] [CrossRef] [PubMed]
- Mazzone, E.; D’Hondt, F.; Beato, S.; Andras, I.; Lambert, E.; Vollemaere, J.; Covas Moschovas, M.; de Groote, R.; de Naeyer, G.; Schatteman, P.; et al. Robot-Assisted Radical Cystectomy with Intracorporeal Urinary Diversion Decreases Postoperative Complications Only in Highly Comorbid Patients: Findings That Rely on a Standardized Methodology Recommended by the European Association of Urology Guidelines. World J. Urol. 2021, 39, 803–812. [Google Scholar] [CrossRef] [PubMed]







| Characteristics | Overall (n = 65) |
|---|---|
| Age (years) | |
| Median (IQR) | 30 (27–42) |
| Clinical primary tumor side, n (%) | |
| Right | 35 (54) |
| Left | 30 (46) |
| Pre-orchiectomy markers value, median (IQR) | |
| AFP (ng/mL) | 17 (3–247) |
| Beta-HCG (×103 mIU/mL) | 21 (5–59) |
| LDH (U/L) | 238 (151–855) |
| Pathologic T stage, n (%) | |
| pTis-pT1 | 24 (37) |
| pT2 | 29 (45) |
| p ≥ T3 | 12 (19) |
| Post-orchiectomy markers value, median (IQR) | |
| AFP (ng/mL) | 18 (4–445) |
| Beta-HCG (×103 mIU/mL) | 7.0 (2–162) |
| LDH (U/L) | 157 (124–238) |
| Clinical nodal status, n (%) | |
| cN0 | 25 (38) |
| cN1 | 14 (22) |
| cN2 | 17 (26) |
| cN3 | 9 (14) |
| Clinical M stage, n (%) | |
| cM0 | 54 (83) |
| cM1a | 8 (12) |
| cM1b | 3 (5) |
| UICC Stage, n (%) | |
| IA, IB | 17 (26) |
| IS | 4 (6) |
| IIA | 12 (19) |
| IIB | 13 (20) |
| IIC | 3 (5) |
| III | 16 (24) |
| PCM, n (%) | |
| Overall | 42 (65) |
| Nodal | 42 (65) |
| Visceral | 9 (14) |
| PCM diameter (mm) | |
| Median (IQR) | 34 (20–49) |
| Overall | SGCT Group | NSGCT Group | p Value | |
|---|---|---|---|---|
| Number of patients, n (%) | 65 | 18 (28) | 47 (72) | - |
| Age | ||||
| Median (IQR) | 30 (27–42) | 39 (30–50) | 29 (26–39) | 0.04 |
| S Stage, n (%) | ||||
| S0 | 39 (60) | 13 (72) | 26 (55) | 0.03 |
| S ≥ 1 | 26 (40) | 5 (28) | 21 (45) | |
| Adjuvant CT, n (%) | 14 (22) | 3 (17) | 11 (23) | 0.02 |
| Recurrence after orchiectomy, n (%) | ||||
| Overall | 47 (72.3) | 16 (89) | 31 (66) | 0.06 |
| Nodal | 43 (67.8) | 16 (89) | 28 (60) | 0.03 |
| Visceral | 5 (7.6) | 3 (17) | 2 (4) | 0.06 |
| Time to recurrence (months) | ||||
| Median (IQR) | 6 (3–22) | 6 (4–10) | 12 (10–24) | 0.07 |
| Overall | Primary RPLND | Secondary RPLND | p Value | |
|---|---|---|---|---|
| Number of patients, n (%) | 65 | 21 (32) | 44 (68) | - |
| Age | ||||
| Median (IQR) | 30 (27–42) | 27 (24–35) | 33 (27–44) | 0.02 |
| Primary histology, n (%) | ||||
| Seminoma | 27 (42) | 9 (43) | 18 (41) | |
| Embryonal | 41 (63) | 19 (90) | 22 (50) | |
| Teratoma | 21 (32) | 7 (33) | 14 (32) | 0.09 |
| Yolk sac | 17 (26) | 9 (43) | 8 (18) | |
| Choriocarcinoma | 5 (8) | 1 (5) | 4 (9) | |
| Mixed | 30 (46) | 14 (67) | 16 (36) | |
| Other | 2 (5) | - | 2 (5) | |
| Primary histological group, n (%) | ||||
| Seminomatous | 18 (28) | 2 (10) | 16 (36) | 0.02 |
| Non-seminomatous | 47 (72) | 19 (90) | 28 (64) | |
| Post-orchiectomy AFP | ||||
| Median (IQR) | 18.0 (4–445) | 4.0 (2.5–6.8) | 123 (8–742) | 0.02 |
| Clinical nodal status, n (%) | ||||
| cN0 | 25 (38) | 12 (57) | 13 (30) | |
| cN1 | 14 (22) | 5 (24) | 9 (20) | 0.04 |
| cN2 | 17 (26) | 4 (19) | 13 (30) | |
| cN3 | 9 (14) | - | 9 (20) | |
| Clinical M stage, n (%) | ||||
| cM0 | 54 (83) | 21 (100) | 33 (75) | |
| cM1a | 8 (12) | - | 8 (18) | 0.04 |
| cM1b | 3 (5) | - | 3 (7) | |
| UICC Stage, n (%) | ||||
| IA,IB | 17 (26) | 8 (38) | 9 (20) | |
| IS | 4 (6) | 4 (19) | - | |
| IIA | 12 (19) | 4 (19) | 8 (18) | 0.03 |
| IIB | 13 (20) | 4 (19) | 9 (20) | |
| IIC | 3 (5) | - | 3 (7) | |
| III | 16 (24) | 1 (5) | 15 (35) | |
| Surveillance post orchiectomy, n (%) | 7 (11) | 5 (24) | 2 (5) | 0.02 |
| Adjuvant CT post orchiectomy, n (%) | 14 (22) | 7 (33) | 7 (16) | 0.003 |
| Nerve-sparing RPLND, n (%) | 23 (35) | 12 (57) | 11 (25) | 0.01 |
| Further surgical procedures during RPLND, n(%) | ||||
| Overall | 42 (65) | 16 (76) | 26 (59) | 0.18 |
| Operative time (min) | ||||
| Median (IQR) | 180 (150–233) | 175 (125–217) | 180 (158–260) | 0.17 |
| Estimated Blood Loss (EBL), mL | ||||
| Median (IQR) | 150 (80–170) | 130 (84–183) | 150 (80–205) | 0.96 |
| Transfusions, n (%) | ||||
| Intraoperative | 2 (3) | - | 2 (5) | 0.32 |
| Postoperative | 7 (11) | 1 (5) | 6 (14) | 0.28 |
| Nodal Yield (n) | ||||
| Median (IQR) | 16 (11–23) | 16 (12–26) | 15 (11–21) | 0.75 |
| Positive nodes (n) | ||||
| Median (IQR) | 1 (0–2) | 0 (0–1) | 1 (0–2) | 0.03 |
| Nonvital cancer, n (%) | 25 (39) | 14 (67) | 11 (25) | <0.001 |
| Intraoperative complications, n (%) | 4 (6) | 0 (0) | 4 (9) | 0.15 |
| Postoperative complications, n (%) | 23 (35) | 8 (38) | 15 (34) | 0.60 |
| Postoperative complications, n (%) | ||||
| CD ≤ 2 | 14 (22) | 8 (38) | 6 (14) | 0.12 |
| CD ≥ 3 | 9 (14) | - | 9 (20) | |
| Length of stay (LOS), days | ||||
| Median (IQR) | 6 (5–8) | 6 (5–7) | 7 (5–9) | 0.07 |
| Readmissions, n (%) | 5 (8) | 1 (5) | 4 (9) | 0.54 |
| Anejaculation, n (%) | 10 (15) | 1 (5) | 9 (21) | 0.10 |
| Recurrence after RPLND, n (%) | ||||
| Overall | 10 (15) | 2 (10) | 8 (18) | 0.37 |
| Time to recurrence (months) | ||||
| Median (IQR) | 10 (8–24) | 30 (24–46) | 10 (7–12) | 0.04 |
| Overall survival, % (n) | 57 (88) | 19 (90.5) | 38 (86) | 0.64 |
| Cancer-specific survival, % (n) | 60 (92) | 19 (90.5) | 41 (93) | 0.70 |
Disclaimer/Publisher’s Note: The statements, opinions and data contained in all publications are solely those of the individual author(s) and contributor(s) and not of MDPI and/or the editor(s). MDPI and/or the editor(s) disclaim responsibility for any injury to people or property resulting from any ideas, methods, instructions or products referred to in the content. |
© 2023 by the authors. Licensee MDPI, Basel, Switzerland. This article is an open access article distributed under the terms and conditions of the Creative Commons Attribution (CC BY) license (https://creativecommons.org/licenses/by/4.0/).
Share and Cite
Mottaran, A.; Ercolino, A.; Bianchi, L.; Piazza, P.; Manes, F.; Amirhassankhani, S.; Salvador, M.; Chessa, F.; Corcioni, B.; Bertaccini, A.; et al. Twenty Years’ Experience in Retroperitoneal Lymph Node Dissection for Testicular Cancer in a Tertiary Referral Center. Medicina 2023, 59, 133. https://doi.org/10.3390/medicina59010133
Mottaran A, Ercolino A, Bianchi L, Piazza P, Manes F, Amirhassankhani S, Salvador M, Chessa F, Corcioni B, Bertaccini A, et al. Twenty Years’ Experience in Retroperitoneal Lymph Node Dissection for Testicular Cancer in a Tertiary Referral Center. Medicina. 2023; 59(1):133. https://doi.org/10.3390/medicina59010133
Chicago/Turabian StyleMottaran, Angelo, Amelio Ercolino, Lorenzo Bianchi, Pietro Piazza, Francesco Manes, Sasan Amirhassankhani, Marco Salvador, Francesco Chessa, Beniamino Corcioni, Alessandro Bertaccini, and et al. 2023. "Twenty Years’ Experience in Retroperitoneal Lymph Node Dissection for Testicular Cancer in a Tertiary Referral Center" Medicina 59, no. 1: 133. https://doi.org/10.3390/medicina59010133
APA StyleMottaran, A., Ercolino, A., Bianchi, L., Piazza, P., Manes, F., Amirhassankhani, S., Salvador, M., Chessa, F., Corcioni, B., Bertaccini, A., Schiavina, R., & Brunocilla, E. (2023). Twenty Years’ Experience in Retroperitoneal Lymph Node Dissection for Testicular Cancer in a Tertiary Referral Center. Medicina, 59(1), 133. https://doi.org/10.3390/medicina59010133

