Acute Effects of Mental Activity on Response of Serum BDNF and IGF-1 Levels in Elite and Novice Chess Players
Abstract
1. Introduction
2. Materials and Methods
2.1. Participants
2.2. Study Design
2.3. Anthropometric Measurements
2.4. Mental Activity
2.5. Blood Sampling and Analysis
2.6. Statistical Analyses
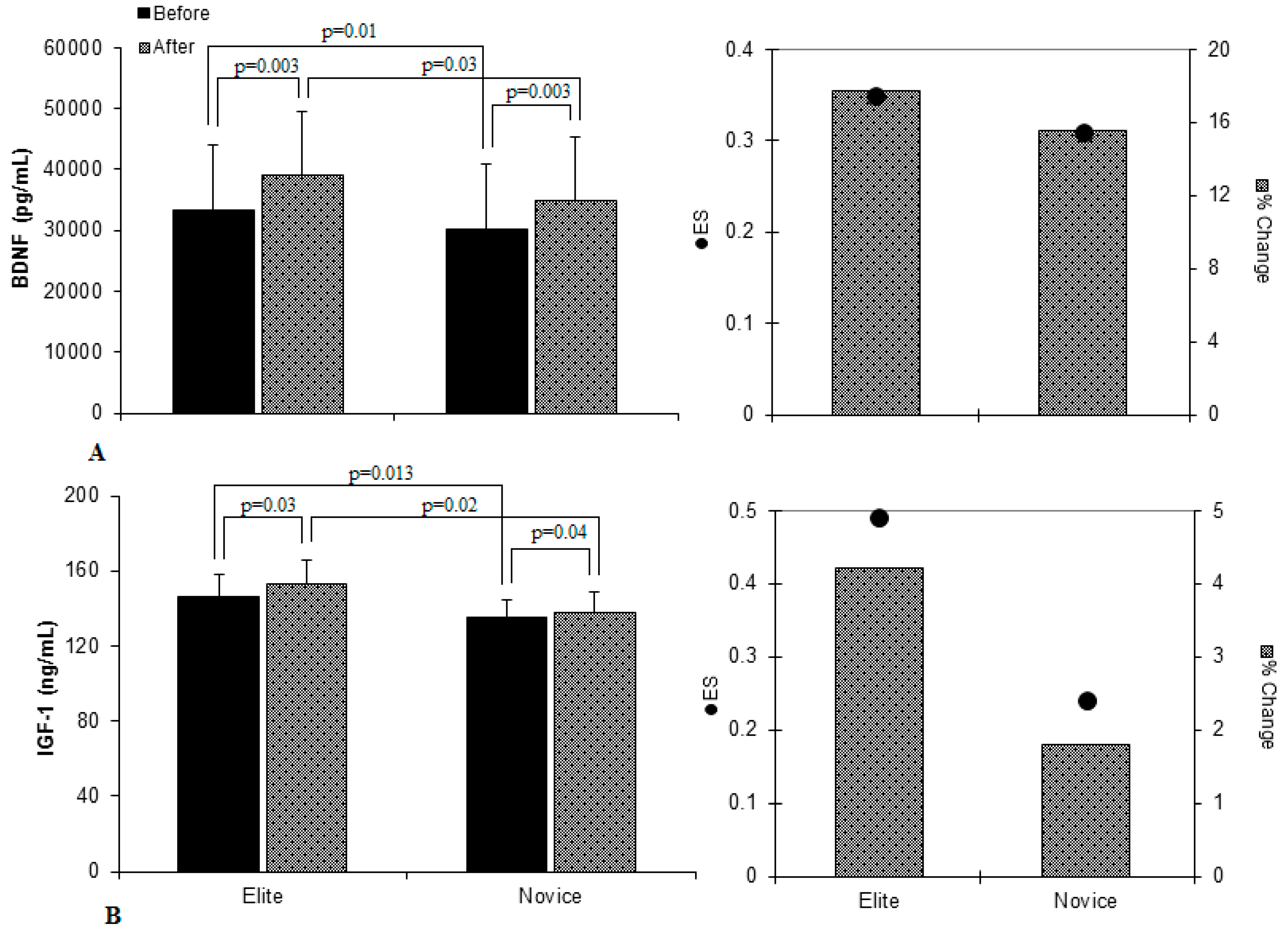
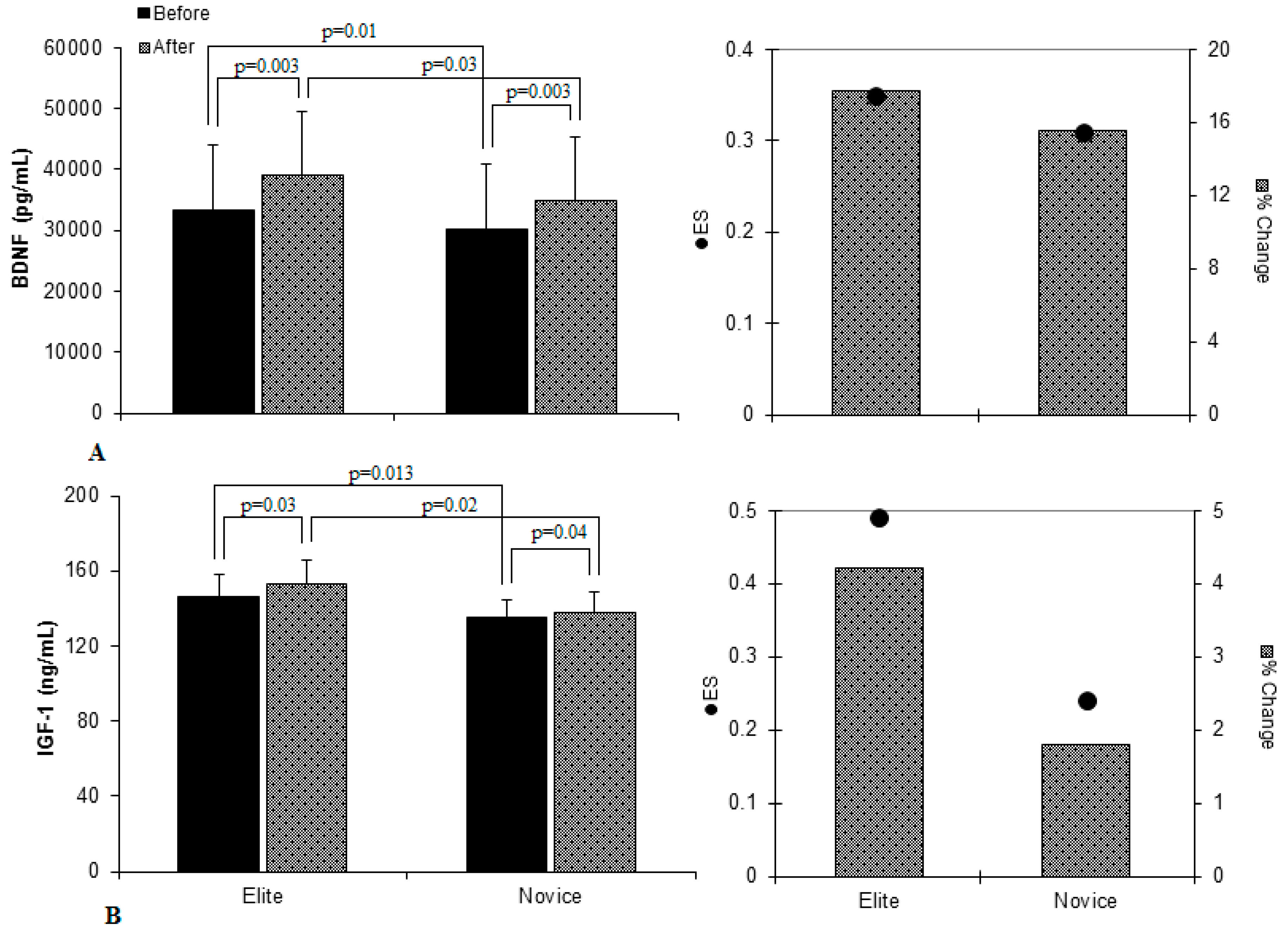
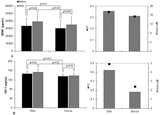
3. Results
4. Discussion
5. Conclusions
Author Contributions
Funding
Acknowledgments
Conflicts of Interest
References
- Maass, A.; Düzel, S.; Brigadski, T.; Goerke, M.; Becke, A.; Sobieray, U. Relationships of peripheral IGF-1, VEGF and BDNF levels to exercise-related changes in memory, hippocampal perfusion and volumes in older adults. NeuroImage 2016, 131, 142–154. [Google Scholar] [CrossRef] [PubMed]
- Tsai, S.W.; Chan, Y.C.; Liang, F.; Hsu, C.Y.; Lee, I.T. Brain-derived neurotrophic factor correlated with muscle strength in subjects undergoing stationary bicycle exercise training. J. Diabetes Complicat. 2015, 29, 367–371. [Google Scholar] [CrossRef] [PubMed]
- Hillman, C.H.; Snook, E.M.; Jerome, G.J. Acute cardiovascular exercise and executive control function. Int. J. Psychophysiol. 2003, 48, 307–314. [Google Scholar] [CrossRef]
- Pontifex, M.B.; Hillman, C.H.; Fernhall, B.; Thompson, K.M.; Valentin, T.A. The effect of acute aerobic and resistance exercise on working memory. Med. Sci. Sports Exerc. 2009, 41, 927–934. [Google Scholar] [CrossRef] [PubMed]
- Joen, Y.K.; Ha, C.H. Expression of brain-derived neurotrophic factor, IGF-1 and cortisol elicited by regular aerobic exercise in adolescents. J. Phys. Ther. Sci. 2015, 27, 737–741. [Google Scholar] [CrossRef] [PubMed]
- Tomporowski, P.D.; Lambourne, K.; Okumura, M.S. Physical activity interventions and children’s mental function: An introduction and overview. Prev. Med. 2011, 52 (Suppl. S1), S3–S9. [Google Scholar] [CrossRef] [PubMed]
- Lin, Q.; Cao, Y.; Gao, J. The impacts of a GO-game (Chinese chess) intervention on Alzheimer disease in a Northwest Chinese population. Front. Aging Neurosci. 2015, 7, 163. [Google Scholar] [CrossRef] [PubMed]
- Damirchi, A.; Hosseini, F.; Babaei, P. Mental training enhances cognitive function and BDNF more than either physical or combined training in elderly women with MCI: A small-scale study. Am. J. Alzheimer Dis. Other Dement. 2018, 33, 20–29. [Google Scholar] [CrossRef] [PubMed]
- Swift, D.L.; Johannsen, N.M.; Myers, V.H.; Earnest, C.P.; Smits, J.A.; Blair, S.N.; Church, T.S. The effect of exercise training modality on serum brain derived neurotrophic factor levels in individuals with type 2 diabetes. PLoS ONE 2012, 7, e42785. [Google Scholar] [CrossRef] [PubMed]
- Forti, L.N.; Njemini, R.; Beyer, I.; Eelbode, E.; Meeusen, R.; Mets, T.; Bautmans, I. Strength training reduces circulating interleukin-6 but not brain-derived neurotrophic factor in community-dwelling elderly individuals. Age 2014, 36, 9704. [Google Scholar] [CrossRef] [PubMed]
- Zoladz, J.A.; Pilc, A.; Majerczak, J. Endurance training increases plasma brain-derived neurotrophic factor concentration in young healthy men. J. Physiol. Pharmacol. 2008, 59 (Suppl. S7), 119–132. [Google Scholar] [PubMed]
- Sartori, C.R.; Vieira, A.S.; Ferrari, E.M. The antidepressive effect of the physical exercise correlates with increased levels of mature BDNF, and proBDNF proteolytic cleavage related genes, p11 and tPA. Neuroscience 2011, 180, 9–18. [Google Scholar] [CrossRef] [PubMed]
- Rojas Vega, S.; Struder, H.K.; Vera Wahrmann, B. Acute BDNF and cortisol response to low intensity exercise and following ramp incremental exercise to exhaustion in humans. Brain Res. 2006, 1121, 59–65. [Google Scholar] [CrossRef] [PubMed]
- Lee, K.J.; Rhyu, I.J. Effects of exercise on structural and functional changes in the aging brain. J. Korean Med. Assoc. 2009, 52, 907–919. [Google Scholar] [CrossRef]
- Goekint, M.; Roelandsa, B.; Pauw, K.D.; Knaepen, K.; Bosa, I.; Meeusen, R. Does a period of detraining cause a decrease in serum brain-derived neurotrophic factor? Neurosci. Lett. 2010, 486, 146–149. [Google Scholar] [CrossRef] [PubMed]
- Kraemer, W.J.; Ratamess, N.A. Hormonal responses and adaptations to resistance exercise and training. Sports Med. 2005, 35, 339–361. [Google Scholar] [CrossRef] [PubMed]
- Borror, A. Brain-derived neurotrophic factor mediates cognitive improvements following acute exercise. Med. Hypotheses 2017, 106, 1–5. [Google Scholar] [CrossRef] [PubMed]

© 2019 by the authors. Licensee MDPI, Basel, Switzerland. This article is an open access article distributed under the terms and conditions of the Creative Commons Attribution (CC BY) license (http://creativecommons.org/licenses/by/4.0/).
Share and Cite
Arazi, H.; Aliakbari, H.; Asadi, A.; Suzuki, K. Acute Effects of Mental Activity on Response of Serum BDNF and IGF-1 Levels in Elite and Novice Chess Players. Medicina 2019, 55, 189. https://doi.org/10.3390/medicina55050189
Arazi H, Aliakbari H, Asadi A, Suzuki K. Acute Effects of Mental Activity on Response of Serum BDNF and IGF-1 Levels in Elite and Novice Chess Players. Medicina. 2019; 55(5):189. https://doi.org/10.3390/medicina55050189
Chicago/Turabian StyleArazi, Hamid, Hanieh Aliakbari, Abbas Asadi, and Katsuhiko Suzuki. 2019. "Acute Effects of Mental Activity on Response of Serum BDNF and IGF-1 Levels in Elite and Novice Chess Players" Medicina 55, no. 5: 189. https://doi.org/10.3390/medicina55050189
APA StyleArazi, H., Aliakbari, H., Asadi, A., & Suzuki, K. (2019). Acute Effects of Mental Activity on Response of Serum BDNF and IGF-1 Levels in Elite and Novice Chess Players. Medicina, 55(5), 189. https://doi.org/10.3390/medicina55050189

