Remote Sensing Products Validated by Flux Tower Data in Amazon Rain Forest
Abstract
:1. Introduction
2. Material and Methods
2.1. Description of the Area
2.2. Description of the Flux Tower
2.3. The Eddy Covariance (EC) System
2.4. Remote Sensing Products
2.5. Statistical Metrics
2.6. Flux Measurements
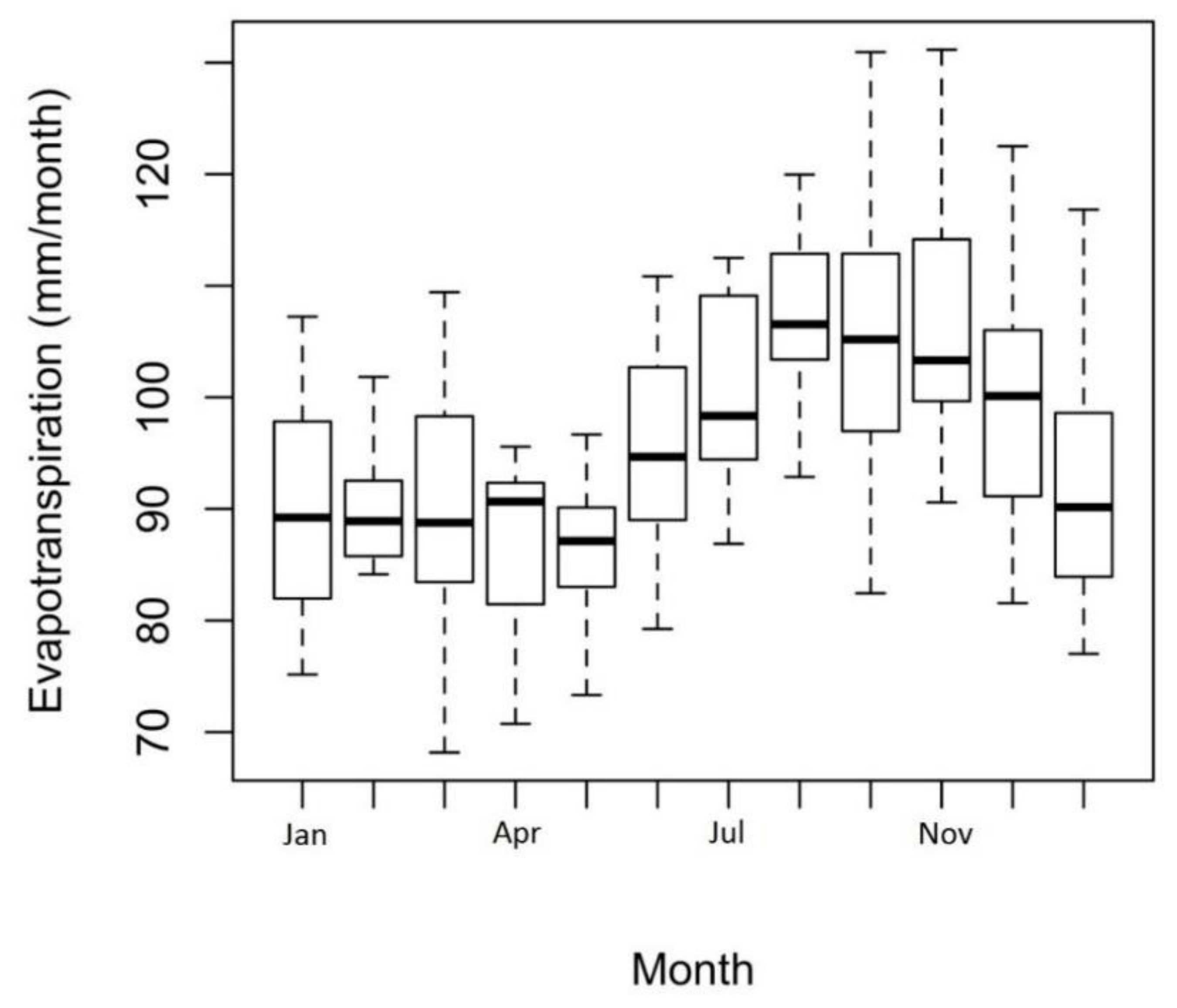
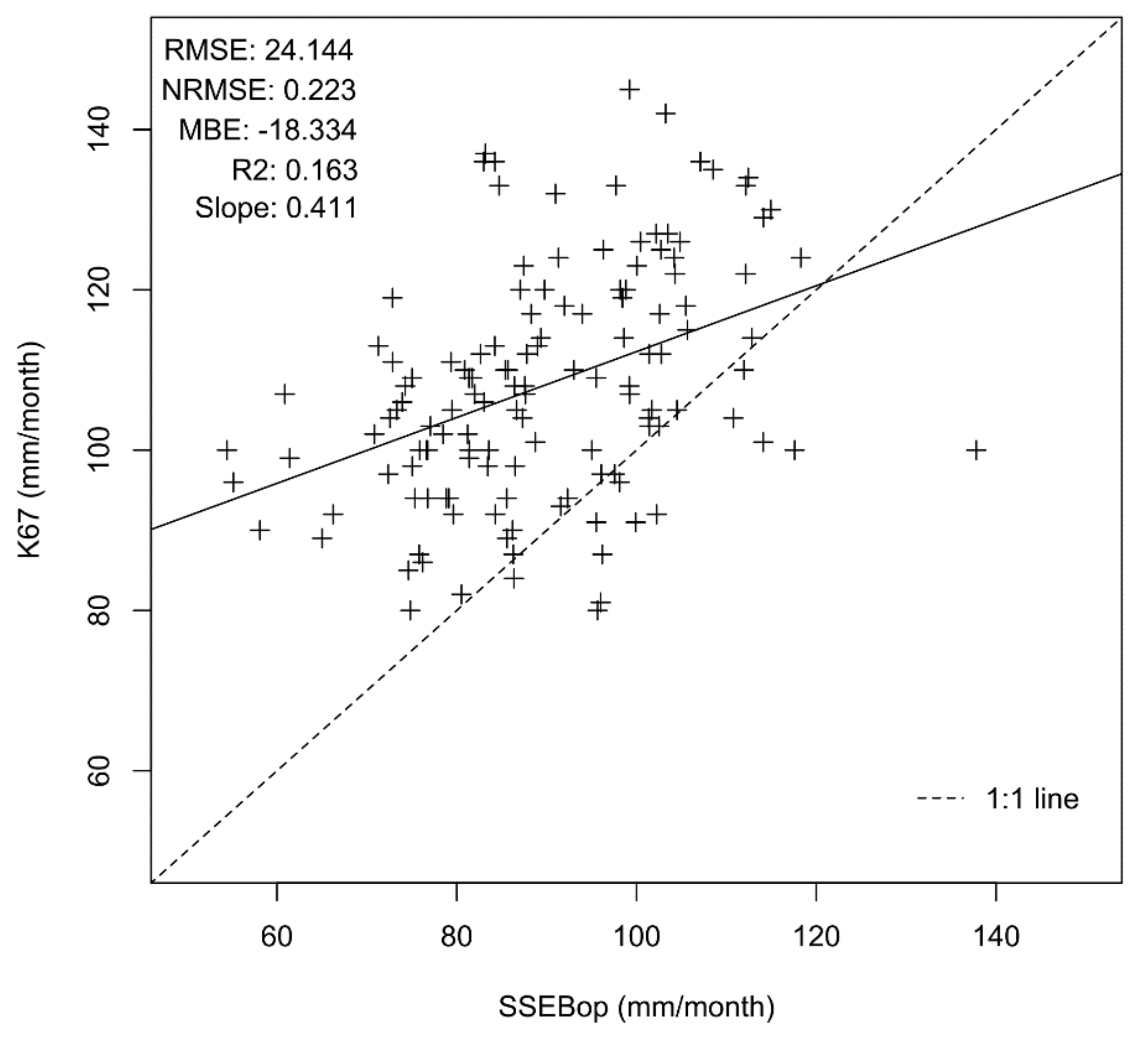
3. Results
Validation of the Products
4. Summary and Conclusions
Author Contributions
Funding
Institutional Review Board Statement
Informed Consent Statement
Data Availability Statement
Acknowledgments
Conflicts of Interest
References
- Lehner, B.; Grill, G. Global river hydrography and network routing: Baseline data and new approaches to study the world’s large river systems. Hydrol. Process. 2013, 2186, 2171–2186. [Google Scholar] [CrossRef]
- Nobre, C.A.; Borma, L.D.S. “Tipping points” for the Amazon forest. Curr. Opin. Environ. Sustain. 2009, 1, 28–36. [Google Scholar] [CrossRef]
- Gash, J.H.C.; Nobre, C.A.; Roberts, J.M. Amazonian Deforestation and Climate; John Wiley and Sons Ltd.: Wallingford, UK, 1996. [Google Scholar]
- Gomes, V.H.F.; Vieira, I.C.G.; Salomão, R.P.; ter Steege, H. Amazonian tree species threatened by deforestation and climate change. Nat. Clim. Chang. 2019, 9, 547–553. [Google Scholar] [CrossRef]
- Costa, M.H.; Foley, J.A. Trends in the hydrologic cycle of the Amazon basin. J. Geophys. Res. Atmos. 1999, 104, 14189–14198. [Google Scholar] [CrossRef]
- Marengo, J.A. Characteristics and spatio-temporal variability of the Amazon river basin water budget. Clim. Dyn. 2005, 24, 11–22. [Google Scholar] [CrossRef]
- Getirana, A.C.V.; Dutra, E.; Guimberteau, M.; Kam, J.; Li, H.-Y.; Decharme, B.; Zhang, Z.; Ducharne, A.; Boone, A.; Balsamo, G.; et al. Water Balance in the Amazon Basin from a Land Surface Model Ensemble. J. Hydrometeorol. 2014, 15, 2586–2614. [Google Scholar] [CrossRef] [Green Version]
- Costa, M.H.; Foley, J.A. A comparison of precipitation datasets for the Amazon basin. Geophys. Res. Lett. 1998, 25, 155–158. [Google Scholar] [CrossRef]
- Zubieta, R.; Saavedra, M.; Espinoza, J.C.; Ronchail, J.; Sulca, J.; Drapeau, G.; Martin-Vide, J. Assessing precipitation concentration in the Amazon basin from different satellite-based data sets. Int. J. Climatol. 2019, 39, 3171–3187. [Google Scholar] [CrossRef]
- Da Rocha, H.R.; Manzi, A.O.; Shuttleworth, J. Evapotranspiration. In Amazonia and Global Change; Keller, M., Bustamante, M., Eds.; American Geophysical Union: Washington, DC, USA, 2009; pp. 261–272. [Google Scholar]
- Tobergte, D.R.; Curtis, S.; Shumway, R.H.; Stoffer, D.S.; Fisher, J.B.; Melton, F.; Middleton, E.; Hain, C.; Anderson, M.; Allen, R.; et al. The Amazon River Basin. Water Resour. Res. 2017, 481, 1–20. [Google Scholar]
- Maidment, D.R.; Mays, L.W. Applied Hydrology; McGraw-Hill: New York, NY, USA, 1968; Volume 6, ISBN 0070108102. [Google Scholar]
- WMO. Guide to Meterological Instruments and Methods of Observation; WMO: Geneva, Switzerland, 2008; ISBN 9789263100085. [Google Scholar]
- Cohen, W.B.; Justice, C.O. Validating MODIS Terrestrial Ecology Products: Linking In Situ and Satellite Measurements. Remote Sens. Environ. 1999, 3, 1–3. [Google Scholar] [CrossRef]
- Xiao, J.; Zhuang, Q.; Law, B.E.; Baldocchi, D.D.; Chen, J.; Richardson, A.D.; Melillo, J.M.; Davis, K.J.; Hollinger, D.Y.; Wharton, S.; et al. Agricultural and Forest Meteorology Assessing net ecosystem carbon exchange of US terrestrial ecosystems by integrating eddy covariance flux measurements and satellite observations. Agric. For. Meteorol. 2011, 151, 60–69. [Google Scholar] [CrossRef] [Green Version]
- Avissar, R.; Nobre, C.A. Preface to special issue on the Large-Scale Biosphere-Atmosphere Experiment in Amazonia (LBA). J. Geophys. Res. D Atmos. 2002, 107, 20. [Google Scholar] [CrossRef]
- Yan, H.; Shugart, H.H.; Shi, T.T.; Guan, D.X.; Wu, J.B.; Wang, A.Z.; Jin, C.J.; Han, S.J.; Vizy, E.K.; Cook, K.H.; et al. Pan Evaporation, Potential and Actual Evapotranspiration. Hydrol. Earth Syst. Sci. 2017, 18, 1–14. [Google Scholar]
- Beven, K. A sensitivity analysis of the penman—Monteith actual evapotranspiration estimates. J. Hydrol. 1979, 44, 169–190. [Google Scholar] [CrossRef]
- Restrepo-Coupe, N.; da Rocha, H.R.; Hutyra, L.R.; da Araujo, A.C.; Borma, L.S.; Christoffersen, B.; Cabral, O.M.R.; de Camargo, P.B.; Cardoso, F.L.; da Costa, A.C.L.; et al. What drives the seasonality of photosynthesis across the Amazon basin? A cross-site analysis of eddy flux tower measurements from the Brasil flux network. Agric. For. Meteorol. 2013, 182–183, 128–144. [Google Scholar] [CrossRef] [Green Version]
- Flux Tower K67. Available online: https://ameriflux.lbl.gov/sites/siteinfo/BR-Sa1 (accessed on 1 February 2022).
- Baldocchi, D.; Valentini, R.; Running, S.; Oechel, W.; Dahlman, R. Strategies for measuring and modelling carbon dioxide and water vapour fluxes over terrestrial ecosystems. Glob. Chang. Biol. 1996, 2, 159–168. [Google Scholar] [CrossRef]
- Nagler, P.L.; Wolf, A.; Saliendra, N.; Akshalov, K.; Johnson, D.A.; Laca, E.; Scott, R.L.; Westenburg, C.; Cleverly, J.R.; Glenn, E.P.; et al. Evapotranspiration on western U.S. rivers estimated using the Enhanced Vegetation Index from MODIS and data from eddy covariance and Bowen ratio flux towers. J. Hydrol. 2005, 8, 1123–1129. [Google Scholar] [CrossRef]
- Paca, V.H.M.; Espinoza-Dávalos, G.E.; Hessels, T.M.; Moreira, D.M.; Comair, G.F.; Bastiaanssen, W.G.M. The spatial variability of actual evapotranspiration across the Amazon River Basin based on remote sensing products validated with flux towers. Ecol. Process. 2019, 8, 1. [Google Scholar] [CrossRef] [Green Version]
- Medeiros, M.J. Atlas Irrigação. “Polos Nacionais de Agricultura Irrigada: Mapeamento de Áreas Irrigadas com Imagens de Satélite”, Brasilia, Brazil. 2020. Available online: https://cdn.agenciapeixevivo.org.br/media/2020/03/polos-nacionais-irriga%C3%A7%C3%A3o.pdf (accessed on 1 February 2022).
- Senay, G.B.; Bohms, S.; Singh, R.K.; Gowda, P.H.; Velpuri, N.M.; Alemu, H.; Verdin, J.P. Operational Evapotranspiration Mapping Using Remote Sensing and Weather Datasets: A New Parameterization for the SSEB Approach. J. Am. Water Resour. Assoc. 2013, 49, 577–591. [Google Scholar] [CrossRef] [Green Version]
- Watson, D.J. Comparative Physiological Studies on the Growth of Field Crops. Ann. Bot. 1947, XI, 41. [Google Scholar] [CrossRef]
- Chen, J.M.; Black, T.A. Defining leaf area index for non-flat leaves. Plant Cell Environ. 1991, 15, 421–429. [Google Scholar] [CrossRef]
- Allen, R.G.; Pereira, L.S.; Raes, D.; Smith, M. Crop Evapotranspiration—Guidelines for Computing Crop Water Requirements—FAO Irrigation and Drainage Paper 56; FAO: Rome, Italy, 1998; ISBN 9251042195. [Google Scholar]
- Hutyra, L.R.; Munger, J.W.; Saleska, S.R.; Gottlieb, E.; Daube, B.C.; Dunn, A.L.; Amaral, D.F.; De Camargo, P.B.; Wofsy, S.C. Seasonal controls on the exchange of carbon and water in an Amazonian rain forest. J. Geophys. Res. Biogeosci. 2007, 112, G03008. [Google Scholar] [CrossRef]
- Clark, D.B.; Clark, D.A.; Rich, P.M.; Weiss, S.; Oberbauer, S.F. Landscape-scale evaluation of understory light and canopy structure: Methods for application in a neotropical lowland rain forest. Can. J. For. Res. 1996, 26, 747–757. [Google Scholar] [CrossRef]
- Oliveira Júnior, R.C.; Correa, J.R.V. Aptidão Agrícola dos Solos do Município de Belterra, Estado do Pará; Embrapa: Belém, PA, Brazil, 2001. [Google Scholar]
- Twine, T.E.; Kustas, W.P.; Norman, J.M.; Cook, D.R.; Houser, P.R.; Meyers, T.P.; Prueger, J.H.; Starks, P.J.; Wesely, M.L. Correcting eddy-covariance flux underestimates over a grassland. Agric. For. Meteorol. 2000, 103, 279–300. [Google Scholar] [CrossRef] [Green Version]
- Saleska, S. FLUXNET2015 BR-Sa1 Santarem-Km67-Primary Forest. Available online: https://doi.org/10.18140/FLX/1440032 (accessed on 1 February 2022).
- Baldocchi, D.; Penuelas, J. The physics and ecology of mining carbon dioxide from the atmosphere by ecosystems. Glob. Chang. Biol. 2019, 25, 1191–1197. [Google Scholar] [CrossRef] [PubMed] [Green Version]
- Baldocchi, D.D. How eddy covariance flux measurements have contributed to our understanding of Global Change Biology. Glob. Chang. Biol. 2020, 26, 242–260. [Google Scholar] [CrossRef] [PubMed]
- Reynolds, O. IV. On the dynamical theory of incompressible viscous fluids and the determination of the criterion. Philos. Trans. R. Soc. Lond. 1895, 186, 123–164. [Google Scholar]
- Funk, C.; Peterson, P.; Landsfeld, M.; Pedreros, D.; Verdin, J.; Shukla, S.; Husak, G.; Rowland, J.; Harrison, L.; Hoell, A.; et al. The climate hazards infrared precipitation with stations - A new environmental record for monitoring extremes. Sci. Data 2015, 2, 150066. [Google Scholar] [CrossRef] [PubMed] [Green Version]
- Paredes Trejo, F.J.; Barbosa, H.A.; Peñaloza-Murillo, M.A.; Alejandra Moreno, M.; Farías, A. Intercomparison of improved satellite rainfall estimation with CHIRPS gridded product and rain gauge data over Venezuela. Atmosfera 2016, 29, 323–342. [Google Scholar] [CrossRef] [Green Version]
- Paredes-Trejo, F.J.; Barbosa, H.A.; Lakshmi Kumar, T.V. Validating CHIRPS-based satellite precipitation estimates in Northeast Brazil. J. Arid Environ. 2017, 139, 26–40. [Google Scholar] [CrossRef]
- Toté, C.; Patricio, D.; Boogaard, H.; van der Wijngaart, R.; Tarnavsky, E.; Funk, C. Evaluation of satellite rainfall estimates for drought and flood monitoring in Mozambique. Remote Sens. 2015, 7, 1758–1776. [Google Scholar] [CrossRef] [Green Version]
- Bai, L.; Shi, C.; Li, L.; Yang, Y.; Wu, J. Accuracy of CHIRPS satellite-rainfall products over mainland China. Remote Sens. 2018, 10, 362. [Google Scholar] [CrossRef] [Green Version]
- Le, A.M.; Pricope, N.G. Increasing the Accuracy of Runoff and Streamflow Simulation in the Nzoia Basin, Western Kenya, through the Incorporation of Satellite-Derived CHIRPS Data. Water 2017, 9, 114. [Google Scholar] [CrossRef]
- Luo, X.; Wu, W.; He, D.; Li, Y.; Ji, X. Hydrological simulation using TRMM and CHIRPS precipitation estimates in the lower Lancang-Mekong River basin. Chin. Geogr. Sci. 2019, 29, 13–25. [Google Scholar] [CrossRef] [Green Version]
- Husak, G.J.; Michaelsen, J.; Funk, C. Use of the gamma distribution to represent monthly rainfall in Africa for drought monitoring applications. Int. J. Climatol. 2007, 27, 935–944. [Google Scholar] [CrossRef]
- Yuan, H.; Dai, Y.; Xiao, Z.; Ji, D.; Shangguan, W. Reprocessing the MODIS Leaf Area Index products for land surface and climate modelling. Remote Sens. Environ. 2011, 115, 1171–1187. [Google Scholar] [CrossRef]
- Jia, A.; Jiang, B.; Liang, S.; Zhang, X.; Ma, H. Validation and Spatiotemporal Analysis of CERES Surface Net Radiation Product. Remote Sens. 2016, 8, 90. [Google Scholar] [CrossRef] [Green Version]
- Directorate, S.; Applications, S.S. Validation of the CERES Edition 2B Surface-Only Flux Algorithms. J. Appl. Meteorol. Climatol. 2009, 49, 164–180. [Google Scholar]
- Hasler, N.; Avissar, R. What Controls Evapotranspiration in the Amazon Basin? J. Hydrometeorol. 2007, 8, 380–395. [Google Scholar] [CrossRef]
- De Oliveira, G.; Brunsell, N.A.; Moraes, E.C.; Bertani, G.; dos Santos, T.V.; Shimabukuro, Y.E.; Aragão, L.E.O.C. Use of MODIS sensor images combined with reanalysis products to retrieve net radiation in Amazonia. Sensors 2016, 16, 956. [Google Scholar] [CrossRef] [Green Version]
- Chakraborty, T.; Sarangi, C.; Krishnan, M.; Tripathi, S.N.; Morrison, R.; Evans, J. Biases in Model-Simulated Surface Energy Fluxes During the Indian Monsoon Onset Period. Bound.-Layer Meteorol. 2019, 170, 323–348. [Google Scholar] [CrossRef] [Green Version]
- Machado, W.B.; Fluxo De Energia, E. Evapotranspiração Regional Na Área De Influência Da Br-163, Oeste Do Pará, Universidade Federal do Oeste do Pará. 2017. Available online: https://repositorio.ufopa.edu.br/jspui/handle/123456789/91 (accessed on 1 February 2022).
- Marengo, J.A.; Tomasella, J.; Soares, W.R.; Alves, L.M.; Nobre, C.A. Extreme climatic events in the Amazon basin. Theor. Appl. Climatol. 2012, 107, 73–85. [Google Scholar] [CrossRef]
- Wu, J.; Lakshmi, V.; Wang, D.; Lin, P.; Pan, M.; Cai, X.; Wood, E.F.; Zeng, Z. The Reliability of Global Remote Sensing Evapotranspiration Products over Amazon. Remote Sens. 2020, 12, 2211. [Google Scholar] [CrossRef]
- Xu, D.; Agee, E.; Wang, J.; Ivanov, V.Y. Estimation of Evapotranspiration of Amazon Rainforest Using the Maximum Entropy Production Method. Geophys. Res. Lett. 2019, 46, 1402–1412. [Google Scholar] [CrossRef]
- Von Randow, C.; Manzi, A.O.; Kruijt, B.; de Oliveira, P.J.; Zanchi, F.B.; Silva, R.L.; Hodnett, M.G.; Gash, J.H.C.; Elbers, J.A.; Waterloo, M.J.; et al. Comparative measurements and seasonal variations in energy and carbon exchange over forest and pasture in South West Amazonia. Theor. Appl. Climatol. 2004, 78, 5–26. [Google Scholar] [CrossRef]
- Dos Santos, C.A.C.; Do Nascimiento, R.L.; Rao, T.V.R.; Manzi, A.O. Net radiation estimation under pasture and forest in Rondônia, Brazil, with TM Landsat 5 images. Atmósfera 2011, 24, 435–446. [Google Scholar]
- Costa, M.H.; Nunes, E.L.; Carneiro, M.; Senna, A.; Imbuzeiro, H.M.A. Estado-Da-Arte Da Simulação Da Taxa De Fixação De Carbono. Rev. Bras. Meteorol. 2009, 24, 179–187. [Google Scholar] [CrossRef]
- Da Paca, V.H.M.; Espinoza-Dávalos, G.E.; Moreira, D.M.; Comair, G. Variability of Trends in Precipitation across the Amazon River Basin Determined from the CHIRPS Precipitation Product and from Station Records. Water 2020, 12, 1244. [Google Scholar] [CrossRef]
- Silva Dias, M.A.F.; Silva Dias, P.L.; Longo, M.; Fitzjarrald, D.R.; Denning, A.S. River breeze circulation in eastern Amazonia: Observations and modelling results. Theor. Appl. Climatol. 2004, 78, 111–121. [Google Scholar] [CrossRef]
- Fitzjarrald, D.R.; Sakai, R.K.; Moraes, O.L.L.; Cosme de Oliveira, R.; Acevedo, O.C.; Czikowsky, M.J.; Beldini, T. Spatial and temporal rainfall variability near the Amazon-Tapajós confluence. J. Geophys. Res. Biogeosci. 2008, 113, G00B11. [Google Scholar] [CrossRef]















| Tower Code | Location | Vegetation Type | Lat, Lon | Tower Height (m) | Period of Available Data for This Study | Effective Months Available |
|---|---|---|---|---|---|---|
| K67 | Pará, Santarém | Primary forest | −2.857, −54.959 | 63 | 2002/2019 | 69 |
| Product | Main Principal Products | Resolution | Spatial Coverage | Minimum Time Steps Interval | Producer |
|---|---|---|---|---|---|
| CHIRPS v.2 | TMPA, TRMM 3B42-RT/3B42/2B31, CMORPH, and ground stations (P) | 0.05° | 50°N–S | daily | CHG |
| SSEBop v.4 | MODIS thermal imagery, GDAS, and NDVI (ET) | 0.01° | 90°N–S | monthly | USGS |
| GLEAM v.3.5b | MSWEP, ESA-CCI, CERES, AIRS, and MOD44B (ET) | 0.25° | 90°N–S | daily and monthly | VU, GHENT, ESA |
| MOD15A2 | LAI | 0.005° | 90°N–S | monthly | EOS |
| MOD11C3 | TAIR monthly | 0.005° | 90°N–S | monthly | EOS |
| CERES | Net radiation | 1° | 90°N–S | monthly | EOS |
| K67 Flux tower | Direct observations (raw data) | Locally based | In situ measurements | hourly | LBA |
Publisher’s Note: MDPI stays neutral with regard to jurisdictional claims in published maps and institutional affiliations. |
© 2022 by the authors. Licensee MDPI, Basel, Switzerland. This article is an open access article distributed under the terms and conditions of the Creative Commons Attribution (CC BY) license (https://creativecommons.org/licenses/by/4.0/).
Share and Cite
Paca, V.H.d.M.; Espinoza-Dávalos, G.E.; da Silva, R.; Tapajós, R.; dos Santos Gaspar, A.B. Remote Sensing Products Validated by Flux Tower Data in Amazon Rain Forest. Remote Sens. 2022, 14, 1259. https://doi.org/10.3390/rs14051259
Paca VHdM, Espinoza-Dávalos GE, da Silva R, Tapajós R, dos Santos Gaspar AB. Remote Sensing Products Validated by Flux Tower Data in Amazon Rain Forest. Remote Sensing. 2022; 14(5):1259. https://doi.org/10.3390/rs14051259
Chicago/Turabian StylePaca, Victor Hugo da Motta, Gonzalo E. Espinoza-Dávalos, Rodrigo da Silva, Raphael Tapajós, and Avner Brasileiro dos Santos Gaspar. 2022. "Remote Sensing Products Validated by Flux Tower Data in Amazon Rain Forest" Remote Sensing 14, no. 5: 1259. https://doi.org/10.3390/rs14051259
APA StylePaca, V. H. d. M., Espinoza-Dávalos, G. E., da Silva, R., Tapajós, R., & dos Santos Gaspar, A. B. (2022). Remote Sensing Products Validated by Flux Tower Data in Amazon Rain Forest. Remote Sensing, 14(5), 1259. https://doi.org/10.3390/rs14051259

