Conformational and Functional Properties of the Bioactive Thiosemicarbazone and Thiocarbohydrazone Compounds
Abstract
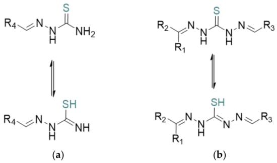
1. Introduction
2. Results and Discussion
2.1. Thiosemicarbazones
2.1.1. Structure Insights from NMR and X-Ray Crystallography
2.1.2. Synthesis and Characterization of New Thiosemicarbazone Derivatives
2.1.3. Structural and Biological Analysis of 2,6-Disubstituted Thiosemicarbazone Derivatives
2.1.4. Structural Characterization of More Complex Thiosemicarbazone Derivatives
2.2. Thiocarbohydrazones
2.2.1. Study of Conformational Isomerism in Thiocarbohydrazone Compounds
2.2.2. Spectroscopic Investigation of Substituted Thiocarbohydrazones
3. Conclusions
Author Contributions
Funding
Institutional Review Board Statement
Informed Consent Statement
Data Availability Statement
Conflicts of Interest
References
- Nuwan De Silva, N.; Albu, T. A Theoretical Investigation on the Isomerism and the NMR Properties of Thiosemicarbazones. Open Chem. 2007, 5, 396–419. [Google Scholar] [CrossRef]
- Kurzer, F.; Wilkinson, M. Chemistry of Carbohydrazide and Thiocarbohydrazide. Chem. Rev. 1970, 70, 111–149. [Google Scholar] [CrossRef]
- Kadam, S.S.; Gotarne, R.P.; Shinde, M.N.; Mane, V.S.; Khan, A.A.; Kumbhar, A.A. Fe(III), Co(II), Ni(II), Cu(II) and Zn(II) Complexes of Fluorophore-Anchored Asymmetric Thiocarbohydrazone: Synthesis, Characterization and Biological Studies. Inorganica Chim. Acta 2022, 536, 120887. [Google Scholar] [CrossRef]
- Serda, M.; Kalinowski, D.S.; Rasko, N.; Potůčková, E.; Mrozek-Wilczkiewicz, A.; Musiol, R.; Małecki, J.G.; Sajewicz, M.; Ratuszna, A.; Muchowicz, A.; et al. Exploring the Anti-Cancer Activity of Novel Thiosemicarbazones Generated through the Combination of Retro-Fragments: Dissection of Critical Structure-Activity Relationships. PLoS ONE 2014, 9, e110291. [Google Scholar] [CrossRef] [PubMed]
- Zahra, S.B.; Khan, A.; Ahmed, N.; Rafique, M.; Fatima, L.; Khan, I.; Hussain, J.; Khalid, S.; Ogaly, H.A.; Ahmed, M.M.; et al. Versatile Biological Activities of Thiosemicarbazones and Their Metal Complexes. J. Mol. Struct. 2025, 1322, 140511. [Google Scholar] [CrossRef]
- Bonaccorso, C.; Marzo, T.; La Mendola, D. Biological Applications of Thiocarbohydrazones and Their Metal Complexes: A Perspective Review. Pharmaceuticals 2019, 13, 4. [Google Scholar] [CrossRef]
- Parrilha, G.L.; dos Santos, R.G.; Beraldo, H. Applications of Radiocomplexes with Thiosemicarbazones and Bis(Thiosemicarbazones) in Diagnostic and Therapeutic Nuclear Medicine. Coord. Chem. Rev. 2022, 458, 214418. [Google Scholar] [CrossRef]
- Sevinçli, Z.Ş.; Duran, G.N.; Özbil, M.; Karalı, N. Synthesis, Molecular Modeling and Antiviral Activity of Novel 5-Fluoro-1H-Indole-2,3-Dione 3-Thiosemicarbazones. Bioorganic Chem. 2020, 104, 104202. [Google Scholar] [CrossRef]
- Ebenezer, O.; Singh-Pillay, A.; Koorbanally, N.A.; Singh, P. Antibacterial Evaluation and Molecular Docking Studies of Pyrazole–Thiosemicarbazones and Their Pyrazole–Thiazolidinone Conjugates. Mol. Divers. 2021, 25, 191–204. [Google Scholar] [CrossRef]
- Mashayekhi, V.; Haj Mohammad Ebrahim Tehrani, K.; Azerang, P.; Sardari, S.; Kobarfard, F. Synthesis, Antimycobacterial and Anticancer Activity of Novel Indole-Based Thiosemicarbazones. Arch. Pharm. Res. 2021, 44, 1–13. [Google Scholar] [CrossRef] [PubMed]
- Gaudreau, A.; Watson, D.W.; Flannagan, R.S.; Roy, P.; Shen, C.; Abdelmoneim, A.; Beavers, W.N.; Gillies, E.R.; El-Halfawy, O.M.; Heinrichs, D.E. Mechanistic Insights and in Vivo Efficacy of Thiosemicarbazones against Methicillin-Resistant Staphylococcus Aureus. J. Biol. Chem. 2024, 300, 107689. [Google Scholar] [CrossRef]
- Bhushan Shakya, P.N.Y. Thiosemicarbazones as Potent Anticancer Agents and Their Modes of Action. Mini Rev. Med. Chem. 2020, 20, 638–661. [Google Scholar] [CrossRef]
- e Silva, M.J.; Alves, A.J.; Do Nascimento, S.C. Synthesis and Cytotoxic Activity of N-Substituted Thiosemicarbazones of 3-(3,4-Methylenedioxy)Phenylpropanal. IL Farm. 1998, 53, 241–243. [Google Scholar] [CrossRef]
- Seena, E.B.; Bessy Raj, B.N.; Prathapachandra Kurup, M.R.; Suresh, E. A Crystallographic Study of 2-Hydroxyacetophenone N(4)-Cyclohexyl Thiosemicarbazone. J. Chem. Crystallogr. 2006, 36, 189–193. [Google Scholar] [CrossRef]
- Kasuga, N.C.; Sekino, K.; Koumo, C.; Shimada, N.; Ishikawa, M.; Nomiya, K. Synthesis, Structural Characterization and Antimicrobial Activities of 4- and 6-Coordinate Nickel(II) Complexes with Three Thiosemicarbazones and Semicarbazone Ligands. J. Inorg. Biochem. 2001, 84, 55–65. [Google Scholar] [CrossRef]
- Živković, M.B.; Matić, I.Z.; Rodić, M.V.; Novaković, I.T.; Sladić, D.M.; Krstić, N.M. Synthesis, Characterization and in Vitro Cytotoxic Activities of New Steroidal Thiosemicarbazones and Thiadiazolines. RSC Adv. 2016, 6, 34312–34333. [Google Scholar] [CrossRef]
- Greenbaum, D.C.; Mackey, Z.; Hansell, E.; Doyle, P.; Gut, J.; Caffrey, C.R.; Lehrman, J.; Rosenthal, P.J.; McKerrow, J.H.; Chibale, K. Synthesis and Structure−Activity Relationships of Parasiticidal Thiosemicarbazone Cysteine Protease Inhibitors against Plasmodium Falciparum, Trypanosoma Brucei, and Trypanosoma Cruzi. J. Med. Chem. 2004, 47, 3212–3219. [Google Scholar] [CrossRef] [PubMed]
- Guha, P.C.; Dey, S. Hetero-Ring Formations with Thiocarbohydrazide. II. Condensations with Diketones and Aldehydes. Q. J. Indian Chem. Soc. 1925, 2, 225–239. [Google Scholar]
- Tratrat, C.; Petrou, A.; Geronikaki, A.; Ivanov, M.; Kostić, M.; Soković, M.; Vizirianakis, I.S.; Theodoroula, N.F.; Haroun, M. Thiazolidin-4-Ones as Potential Antimicrobial Agents: Experimental and In Silico Evaluation. Molecules 2022, 27, 1930. [Google Scholar] [CrossRef]
- Thakral, S.; Saini, D.; Kumar, A.; Jain, N.; Jain, S. A Synthetic Approach and Molecular Docking Study of Hybrids of Quinazolin-4-Ones and Thiazolidin-4-Ones as Anticancer Agents. Med. Chem. Res. 2017, 26, 1595–1604. [Google Scholar] [CrossRef]
- Kumar, H.; Deep, A.; Marwaha, R.K. Design, Synthesis, in Silico Studies and Biological Evaluation of 5-((E)-4-((E)-(Substituted Aryl/Alkyl)Methyl)Benzylidene)Thiazolidine-2,4-Dione Derivatives. BMC Chem. 2020, 14, 25. [Google Scholar] [CrossRef]
- Shawky, A.M.; Abourehab, M.A.S.; Abdalla, A.N.; Gouda, A.M. Optimization of Pyrrolizine-Based Schiff Bases with 4-Thiazolidinone Motif: Design, Synthesis and Investigation of Cytotoxicity and Anti-Inflammatory Potency. Eur. J. Med. Chem. 2020, 185, 111780. [Google Scholar] [CrossRef]
- Patel, A.D.; Pasha, T.Y.; Lunagariya, P.; Shah, U.; Bhambharoliya, T.; Tripathi, R.K.P. A Library of Thiazolidin-4-one Derivatives as Protein Tyrosine Phosphatase 1B (PTP1B) Inhibitors: An Attempt to Discover Novel Antidiabetic Agents. ChemMedChem 2020, 15, 1229–1242. [Google Scholar] [CrossRef]
- Bhat, S.Y.; Bhandari, S.; Thacker, P.S.; Arifuddin, M.; Qureshi, I.A. Development of Quinoline-based Hybrid as Inhibitor of Methionine Aminopeptidase 1 from Leishmania Donovani. Chem. Biol. Drug Des. 2021, 97, 315–324. [Google Scholar] [CrossRef] [PubMed]
- Chitre, T.S.; Patil, S.M.; Sujalegaonkar, A.G.; Asgaonkar, K.D. Designing of Thiazolidin-4-One Pharmacophore Using QSAR Studies for Anti-HIV Activity. Indian J. Pharm. Educ. Res. 2021, 55, 581–589. [Google Scholar] [CrossRef]
- Abumelha, H.M.A.; Saeed, A. Synthesis of Some 5-arylidene-2-(4-acetamidophenylimino)-thiazolidin-4-one Derivatives and Exploring Their Breast Anticancer Activity. J. Heterocycl. Chem. 2020, 57, 1816–1824. [Google Scholar] [CrossRef]
- Evren, A.E.; Yurttaş, L.; Gencer, H.K. Synthesis of New Thiazole Derivatives Bearing Thiazolidin-4(5H)-One Structure and Evaluation of Their Antimicrobial Activity. Brazilian J. Pharm. Sci. 2022, 58, e19248. [Google Scholar] [CrossRef]
- Merrick, J.P.; Moran, D.; Radom, L. An Evaluation of Harmonic Vibrational Frequency Scale Factors. J. Phys. Chem. A 2007, 111, 11683–11700. [Google Scholar] [CrossRef]
- Barone, V. Anharmonic Vibrational Properties by a Fully Automated Second-Order Perturbative Approach. J. Chem. Phys. 2005, 122, 014108. [Google Scholar] [CrossRef]
- Cornaton, Y.; Ringholm, M.; Louant, O.; Ruud, K. Analytic Calculations of Anharmonic Infrared and Raman Vibrational Spectra. Phys. Chem. Chem. Phys. 2016, 18, 4201–4215. [Google Scholar] [CrossRef]
- Howard, J.C.; Gray, J.L.; Hardwick, A.J.; Nguyen, L.T.; Tschumper, G.S. Getting down to the Fundamentals of Hydrogen Bonding: Anharmonic Vibrational Frequencies of (HF)2 and (H2O)2 from Ab Initio Electronic Structure Computations. J. Chem. Theory Comput. 2014, 10, 5426–5435. [Google Scholar] [CrossRef]
- Bloino, J.; Biczysko, M.; Barone, V. General Perturbative Approach for Spectroscopy, Thermodynamics, and Kinetics: Methodological Background and Benchmark Studies. J. Chem. Theory Comput. 2012, 8, 1015–1036. [Google Scholar] [CrossRef]
- Nehar, O.K.; Mahboub, R.; Louhibi, S.; Roisnel, T.; Aissaoui, M. New Thiosemicarbazone Schiff Base Ligands: Synthesis, Characterization, Catecholase Study and Hemolytic Activity. J. Mol. Struct. 2020, 1204, 127566. [Google Scholar] [CrossRef]
- Naveen; Tittal, R.K.; Ghule, V.D.; Kumar, N.; Kumar, L.; Lal, K.; Kumar, A. Design, Synthesis, Biological Activity, Molecular Docking and Computational Studies on Novel 1,4-Disubstituted-1,2,3-Triazole-Thiosemicarbazone Hybrid Molecules. J. Mol. Struct. 2020, 1209, 127951. [Google Scholar] [CrossRef]
- Yakan, H.; Muğlu, H.; Türkeş, C.; Demir, Y.; Erdoğan, M.; Çavuş, M.S.; Beydemir, Ş. A Novel Series of Thiosemicarbazone Hybrid Scaffolds: Design, Synthesis, DFT Studies, Metabolic Enzyme Inhibition Properties, and Molecular Docking Calculations. J. Mol. Struct. 2023, 1280, 135077. [Google Scholar] [CrossRef]
- Farzaliyeva, A.; Şenol, H.; Taslimi, P.; Çakır, F.; Farzaliyev, V.; Sadeghian, N.; Mamedov, I.; Sujayev, A.; Maharramov, A.; Alwasel, S.; et al. Synthesis and Biological Studies of Acetophenone-Based Novel Chalcone, Semicarbazone, Thiosemicarbazone and Indolone Derivatives: Structure-Activity Relationship, Molecular Docking, Molecular Dynamics, and Kinetic Studies. J. Mol. Struct. 2025, 1321, 140197. [Google Scholar] [CrossRef]
- Ebrahimi, H.P.; Hadi, J.S.; Alsalim, T.A.; Ghali, T.S.; Bolandnazar, Z. A Novel Series of Thiosemicarbazone Drugs: From Synthesis to Structure. Spectrochim. Acta Part A Mol. Biomol. Spectrosc. 2015, 137, 1067–1077. [Google Scholar] [CrossRef]
- Hussein, M.A.; Iqbal, M.A.; Umar, M.I.; Haque, R.A.; Guan, T.S. Synthesis, Structural Elucidation and Cytotoxicity of New Thiosemicarbazone Derivatives. Arab. J. Chem. 2019, 12, 3183–3192. [Google Scholar] [CrossRef]
- Ziembicka, D.; Olczak, A.; Gobis, K.; Korona-Głowniak, I.; Pietrzak, A.; Augustynowicz-Kopeć, E.; Głogowska, A.; Zaborowski, M.; Szczesio, M. Synthesis, Structure, ADME and Biological Activity of Three 2,6-Disubstituted Thiosemicarbazone Derivatives. Acta Crystallogr. Sect. C Struct. Chem. 2023, 79, 283–291. [Google Scholar] [CrossRef] [PubMed]
- Qi, F.; Qi, Q.; Song, J.; Huang, J. Synthesis, Crystal Structure, Biological Evaluation and in Silico Studies on Novel (E)-1-(Substituted Benzylidene)-4-(3-Isopropylphenyl)Thiosemicarbazone Derivatives. Chem. Biodivers. 2021, 18, e2000804. [Google Scholar] [CrossRef] [PubMed]
- Tokalı, F.S.; Şenol, H.; Katmerlikaya, T.G.; Dağ, A.; Şendil, K. Novel Thiosemicarbazone and Thiazolidin-4-one Derivatives Containing.Pdf. J. Heterocycl. Chem. 2023, 60, 645–656. [Google Scholar] [CrossRef]
- Yakan, H. Preparation, Structure Elucidation, and Antioxidant Activity of New Bis(Thiosemicarbazone) Derivatives. Turkish J. Chem. 2020, 44, 1085–1099. [Google Scholar] [CrossRef]
- Muğlu, H.; Çavuş, M.S.; Bakır, T.K.; Yakan, H. Synthesis of New Bis(Thiosemicarbazone) Derivatives and DFT Analysis of Antioxidant Characteristics in Relation to HAT and SET Reactions. J. Indian Chem. Soc. 2022, 99, 100789. [Google Scholar] [CrossRef]
- Karakurt, T.; Tahtaci, H.; Subasi, N.T.; Er, M.; Ağar, E. Novel Aldehyde and Thiosemicarbazone Derivatives: Synthesis, Spectroscopic Characterization, Structural Studies and Molecular Docking Studies. J. Mol. Struct. 2016, 1125, 470–480. [Google Scholar] [CrossRef]
- Georgiou, N.; Katsogiannou, A.; Skourtis, D.; Iatrou, H.; Tzeli, D.; Vassiliou, S.; Javornik, U.; Plavec, J.; Mavromoustakos, T. Conformational Properties of New Thiosemicarbazone and Thiocarbohydrazone Derivatives and Their Possible Targets. Molecules 2022, 27, 2537. [Google Scholar] [CrossRef] [PubMed]
- Yakan, H.; Omer, H.H.S.; Buruk, O.; Çakmak, Ş.; Marah, S.; Veyisoğlu, A.; Muğlu, H.; Ozen, T.; Kütük, H. Synthesis, Structure Elucidation, Biological Activity, Enzyme Inhibition and Molecular Docking Studies of New Schiff Bases Based on 5-Nitroisatin-Thiocarbohydrazone. J. Mol. Struct. 2023, 1277, 134799. [Google Scholar] [CrossRef]
- da Silva, C.M.; da Silva, D.L.; Modolo, L.V.; Alves, R.B.; de Resende, M.A.; Martins, C.V.B.; de Fátima, Â. Schiff Bases: A Short Review of Their Antimicrobial Activities. J. Adv. Res. 2011, 2, 1–8. [Google Scholar] [CrossRef]
- Hameed, A.; Al-Rashida, M.; Uroos, M.; Abid Ali, S.; Khan, K.M. Schiff Bases in Medicinal Chemistry: A Patent Review (2010–2015). Expert Opin. Ther. Pat. 2017, 27, 63–79. [Google Scholar] [CrossRef]
- Pogány, L.; Moncol, J.; Pavlik, J.; Mazúr, M.; Šalitroš, I. High-Spin Mononuclear Iron(III) Complexes with Pentadentate Schiff Base Ligands: Structural Analysis and Magnetic Properties. Chempluschem 2019, 84, 358–367. [Google Scholar] [CrossRef]
- Addla, D.; Jallapally, A.; Gurram, D.; Yogeeswari, P.; Sriram, D.; Kantevari, S. Design, Synthesis and Evaluation of 1,2,3-Triazole-Adamantylacetamide Hybrids as Potent Inhibitors of Mycobacterium Tuberculosis. Bioorganic Med. Chem. Lett. 2014, 24, 1974–1979. [Google Scholar] [CrossRef]
- Jarrahpour, A.; Khalili, D.; De Clercq, E.; Salmi, C.; Brunel, J.M. Synthesis, Antibacterial, Antifungal and Antiviral Activity Evaluation of Some New Bis-Schiff Bases of Isatin and Their Derivatives. Molecules 2007, 12, 1720–1730. [Google Scholar] [CrossRef]
- Jarrahpour, A.; Sheikh, J.; El Mounsi, I.; Juneja, H.; Hadda, T. Ben. Computational Evaluation and Experimental in Vitro Antibacterial, Antifungal and Antiviral Activity of Bis-Schiff Bases of Isatin and Its Derivatives. Med. Chem. Res. 2013, 22, 1203–1211. [Google Scholar] [CrossRef]
- Muğlu, H.; Yakan, H.; Misbah, A.G.A.; Çavuş, M.S.; Bakır, T.K. Synthesis, Structure Characterization and Quantum Chemical Study on Relationship between Structure and Antioxidant Properties of Novel Schiff Bases Bearing (Thio)/Carbohydrazones. Res. Chem. Intermed. 2021, 47, 4985–5005. [Google Scholar] [CrossRef]
- Shukla, S.; Srivastava, R.S.; Shrivastava, S.K.; Sodhi, A.; Kumar, P. Synthesis, Characterization, in Vitro Anticancer Activity, and Docking of Schiff Bases of 4-Amino-1,2-Naphthoquinone. Med. Chem. Res. 2013, 22, 1604–1617. [Google Scholar] [CrossRef]
- Begum, A.; Banumathi, S.; Choudhary, M.I.; Betzel, C. Crystallographic Structure Analysis of Urease from Jack Bean (Canavalia Ensiformis) at 1.49 A Resolution. Macromolecules 2012. [Google Scholar] [CrossRef]
- Li, Z.; Feng, X.; Zhao, Y. Microwave Induced Efficient Synthesis of (Un)Substituted Benzaldehyde (5-Aryl-1,3,4-Thiadiazol-2-Yl)Hydrazones Using Silica-Supported Dichlorophosphate as a Recoverable Dehydrant. J. Heterocycl. Chem. 2008, 45, 1489–1492. [Google Scholar] [CrossRef]
- Bakır, T.K.; Lawag, J.B. Preparation, Characterization, Antioxidant Properties of Novel Schiff Bases Including 5-Chloroisatin-Thiocarbohydrazone. Res. Chem. Intermed. 2020, 46, 2541–2557. [Google Scholar] [CrossRef]
- Fleming, I.; Williams, D. Spectroscopic Methods in Organic Chemistry; Springer International Publishing: Cham, Switzerland, 2019. [Google Scholar] [CrossRef]
- Mrđan, G.S.; Vastag, G.G.; Škorić, D.Đ.; Radanović, M.M.; Verbić, T.Ž.; Milčić, M.K.; Stojiljković, I.N.; Marković, O.S.; Matijević, B.M. Synthesis, Physicochemical Characterization, and TD–DFT Calculations of Monothiocarbohydrazone Derivatives. Struct. Chem. 2021, 32, 1231–1245. [Google Scholar] [CrossRef]
- Bekircan, O.; Bektas, H. Synthesis of Schiff and Mannich Bases of Isatin Derivatives with 4-Amino-4,5-Dihydro-1H-1,2,4-Triazole-5-Ones. Molecules 2008, 13, 2126–2135. [Google Scholar] [CrossRef]
- Frankel, E.N.; Meyer, A.S. The Problems of Using One-Dimensional Methods to Evaluate Multifunctional Food and Biological Antioxidants. J. Sci. Food Agric. 2000, 80, 1925–1941. [Google Scholar] [CrossRef]
- Le Bahers, T.; Adamo, C.; Ciofini, I. A Qualitative Index of Spatial Extent in Charge-Transfer Excitations. J. Chem. Theory Comput. 2011, 7, 2498–2506. [Google Scholar] [CrossRef] [PubMed]






















Disclaimer/Publisher’s Note: The statements, opinions and data contained in all publications are solely those of the individual author(s) and contributor(s) and not of MDPI and/or the editor(s). MDPI and/or the editor(s) disclaim responsibility for any injury to people or property resulting from any ideas, methods, instructions or products referred to in the content. |
© 2025 by the authors. Licensee MDPI, Basel, Switzerland. This article is an open access article distributed under the terms and conditions of the Creative Commons Attribution (CC BY) license (https://creativecommons.org/licenses/by/4.0/).
Share and Cite
Georgiou, N.; Apostolou, E.V.; Vassiliou, S.; Tzeli, D.; Mavromoustakos, T. Conformational and Functional Properties of the Bioactive Thiosemicarbazone and Thiocarbohydrazone Compounds. Curr. Issues Mol. Biol. 2025, 47, 676. https://doi.org/10.3390/cimb47090676
Georgiou N, Apostolou EV, Vassiliou S, Tzeli D, Mavromoustakos T. Conformational and Functional Properties of the Bioactive Thiosemicarbazone and Thiocarbohydrazone Compounds. Current Issues in Molecular Biology. 2025; 47(9):676. https://doi.org/10.3390/cimb47090676
Chicago/Turabian StyleGeorgiou, Nikitas, Ektoras Vasileios Apostolou, Stamatia Vassiliou, Demeter Tzeli, and Thomas Mavromoustakos. 2025. "Conformational and Functional Properties of the Bioactive Thiosemicarbazone and Thiocarbohydrazone Compounds" Current Issues in Molecular Biology 47, no. 9: 676. https://doi.org/10.3390/cimb47090676
APA StyleGeorgiou, N., Apostolou, E. V., Vassiliou, S., Tzeli, D., & Mavromoustakos, T. (2025). Conformational and Functional Properties of the Bioactive Thiosemicarbazone and Thiocarbohydrazone Compounds. Current Issues in Molecular Biology, 47(9), 676. https://doi.org/10.3390/cimb47090676

