Effect of Submaximal Doses of Semaglutide in Patients with Obesity on Metabolic Profile and Serum Levels of Adipocytokines
Abstract
1. Introduction
2. Results
2.1. Patients and Baseline Metabolic Profile
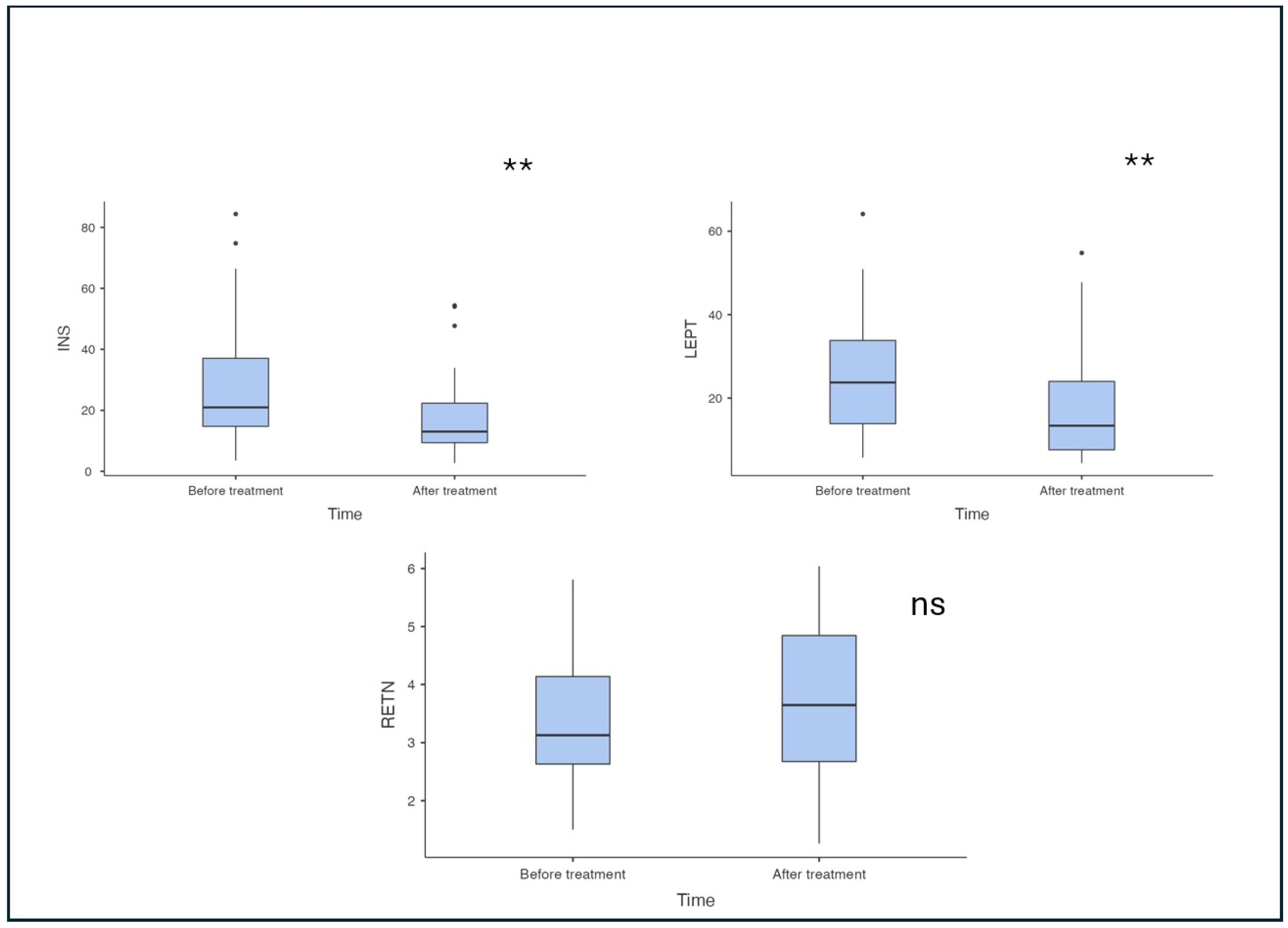
2.2. Effect of Submaximal Semaglutide on Metabolic Profile, Adipocytokines and Inflammation
3. Discussion
3.1. Strengths and Limitations
4. Methods
4.1. Study Design and Patients
4.2. Blood Sampling and Blood Sample Analysis
4.3. Statistical Analysis
5. Conclusions
Author Contributions
Funding
Institutional Review Board Statement
Informed Consent Statement
Data Availability Statement
Acknowledgments
Conflicts of Interest
References
- Yumuk, V.; Tsigos, C.; Fried, M.; Schindler, K.; Busetto, L.; Micic, D.; Toplak, H.; Obesity Management Task Force of the European Association for the Study of Obesity. European Guidelines for Obesity Management in Adults. Obes. Facts 2015, 8, 402–424. [Google Scholar] [CrossRef] [PubMed]
- Dobre, M.Z.; Virgolici, B.; Timnea, O. Key Roles of Brown, Subcutaneous, and Visceral Adipose Tissues in Obesity and Insulin Resistance. Curr. Issues Mol. Biol. 2025, 47, 343. [Google Scholar] [CrossRef] [PubMed]
- Villarroya, F.; Cereijo, R.; Gavaldà-Navarro, A.; Villarroya, J.; Giralt, M. Inflammation of brown/beige adipose tissues in obesity and metabolic disease. J. Intern. Med. 2018, 284, 492–504. [Google Scholar] [CrossRef]
- Nordmo, M.; Danielsen, Y.S.; Nordmo, M. The challenge of keeping it off, a descriptive systematic review of high-quality, follow-up studies of obesity treatments. Obes. Rev. 2020, 21, e12949. [Google Scholar] [CrossRef]
- Gilden, A.H.; Catenacci, V.A.; Taormina, J.M. Obesity. Ann. Intern. Med. 2024, 177, ITC65–ITC80. [Google Scholar] [CrossRef]
- Pi-Sunyer, X.; Astrup, A.; Fujioka, K.; Greenway, F.; Halpern, A.; Krempf, M.; Lau, D.C.; le Roux, C.W.; Violante Ortiz, R.; Jensen, C.B.; et al. A Randomized, Controlled Trial of 3.0 mg of Liraglutide in Weight Management. N. Engl. J. Med. 2015, 373, 11–22. [Google Scholar] [CrossRef]
- Kelly, A.S.; Auerbach, P.; Barrientos-Perez, M.; Gies, I.; Hale, P.M.; Marcus, C.; Mastrandrea, L.D.; Prabhu, N.; Arslanian, S.; NN8022-4180 Trial Investigators. A Randomized, Controlled Trial of Liraglutide for Adolescents with Obesity. N. Engl. J. Med. 2020, 382, 2117–2128. [Google Scholar] [CrossRef]
- Lundgren, J.R.; Janus, C.; Jensen, S.B.K.; Juhl, C.R.; Olsen, L.M.; Christensen, R.M.; Svane, M.S.; Bandholm, T.; Bojsen-Møller, K.N.; Blond, M.B.; et al. Healthy Weight Loss Maintenance with Exercise, Liraglutide, or Both Combined. N. Engl. J. Med. 2021, 384, 1719–1730. [Google Scholar] [CrossRef]
- Fox, C.K.; Barrientos-Pérez, M.; Bomberg, E.M.; Dcruz, J.; Gies, I.; Harder-Lauridsen, N.M.; Jalaludin, M.Y.; Sahu, K.; Weimers, P.; Zueger, T.; et al. Liraglutide for Children 6 to <12 Years of Age with Obesity-A Randomized Trial. N. Engl. J. Med. 2025, 392, 555–565. [Google Scholar]
- Wilding, J.P.H.; Batterham, R.L.; Calanna, S.; Davies, M.; Van Gaal, L.F.; Lingvay, I.; McGowan, B.M.; Rosenstock, J.; Tran, M.T.D.; Wadden, T.A.; et al. Once-Weekly Semaglutide in Adults with Overweight or Obesity. N. Engl. J. Med. 2021, 384, 989–1002. [Google Scholar] [CrossRef]
- Weghuber, D.; Barrett, T.; Barrientos-Pérez, M.; Gies, I.; Hesse, D.; Jeppesen, O.K.; Kelly, A.S.; Mastrandrea, L.D.; Sørrig, R.; Arslanian, S.; et al. Once-Weekly Semaglutide in Adolescents with Obesity. N. Engl. J. Med. 2022, 387, 2245–2257. [Google Scholar] [CrossRef] [PubMed]
- Boutari, C.; Hill, M.A.; Procaccini, C.; Matarese, G.; Mantzoros, C.S. The Key Role of Inflammation in the Pathogenesis and Management of Obesity and CVD. Metabolism 2023, 145, 155627. [Google Scholar] [CrossRef] [PubMed]
- Mörwald, K.; Aigner, E.; Bergsten, P.; Brunner, S.M.; Forslund, A.; Kullberg, J.; Ahlström, H.; Manell, H.; Roomp, K.; Schütz, S.; et al. Serum Ferritin Correlates With Liver Fat in Male Adolescents With Obesity. Front. Endocrinol. 2020, 11, 340. [Google Scholar] [CrossRef] [PubMed]
- Obradovic, M.; Sudar-Milovanovic, E.; Soskic, S.; Essack, M.; Arya, S.; Stewart, A.J.; Gojobori, T.; Isenovic, E.R. Leptin and Obesity: Role and Clinical Implication. Front. Endocrinol. 2021, 12, 585887. [Google Scholar] [CrossRef]
- Su, K.Z.; Li, Y.R.; Zhang, D.; Yuan, J.H.; Zhang, C.S.; Liu, Y.; Song, L.M.; Lin, Q.; Li, M.W.; Dong, J. Relation of Circulating Resistin to Insulin Resistance in Type 2 Diabetes and Obesity: A Systematic Review and Meta-Analysis. Front. Physiol. 2019, 10, 1399. [Google Scholar] [CrossRef]
- Shuldiner, A.R.; Yang, R.; Gong, D.W. Resistin, Obesity, and Insulin Resistance—he Emerging Role of the Adipocyte as an Endocrine Organ. N. Engl. J. Med. 2001, 345, 1345–1346. [Google Scholar] [CrossRef]
- Wallenius, V.; Wallenius, K.; Ahrén, B.; Rudling, M.; Carlsten, H.; Dickson, S.L.; Ohlsson, C.; Jansson, J.-O. Interleukin-6-Deficient Mice Develop Mature-Onset Obesity. Nat. Med. 2002, 8, 75–79. [Google Scholar] [CrossRef]
- Peppler, W.T.; Townsend, L.K.; Meers, G.M.; Panasevich, M.R.; MacPherson, R.E.K.; Rector, R.S.; Wright, D.C. Acute Administration of IL-6 Improves Indices of Hepatic Glucose and Insulin Homeostasis in Lean and Obese Mice. Am. J. Physiol. Gastrointest. Liver Physiol. 2019, 316, G166–G178. [Google Scholar] [CrossRef]
- Ellingsgaard, H.; Seelig, E.; Timper, K.; Coslovsky, M.; Soederlund, L.; Lyngbaek, M.P.; Wewer Albrechtsen, N.J.; Schmidt-Trucksäss, A.; Hanssen, H.; Frey, W.O.; et al. GLP-1 Secretion Is Regulated by IL-6 Signalling: A Randomised, Placebo-Controlled Study. Diabetologia 2020, 63, 362–373. [Google Scholar] [CrossRef]
- Kolb, H.; Kempf, K.; Röhling, M.; Martin, S. Insulin: Too Much of a Good Thing Is Bad. BMC Med. 2020, 18, 224. [Google Scholar] [CrossRef]
- Hotamisligil, G.S.; Shargill, N.S.; Spiegelman, B.M. Adipose Expression of Tumor Necrosis Factor-Alpha: Direct Role in Obesity-Linked Insulin Resistance. Science 1993, 259, 87–91. [Google Scholar] [CrossRef] [PubMed]
- Michalska, M.; Iwan-Ziętek, I.; Gniłka, W.; Dąbrowiecki, S.; Góralczyk, B.; Góralczyk, K.; Drela, E.; Rość, D. PAI-1 and A2-AP in Patients with Morbid Obesity. Adv. Clin. Exp. Med. Off. Organ. Wroc. Med. Univ. 2013, 22, 801–807. [Google Scholar]
- Fattal, P.G.; Schneider, D.J.; Sobel, B.E.; Billadello, J.J. Post-Transcriptional Regulation of Expression of Plasminogen Activator Inhibitor Type 1 mRNA by Insulin and Insulin-like Growth Factor 1. J. Biol. Chem. 1992, 267, 12412–12415. [Google Scholar] [CrossRef] [PubMed]
- Rubino, D.; Abrahamsson, N.; Davies, M.; Hesse, D.; Greenway, F.L.; Jensen, C.; Lingvay, I.; Mosenzon, O.; Rosenstock, J.; Rubio, M.A.; et al. Effect of Continued Weekly Subcutaneous Semaglutide vs Placebo on Weight Loss Maintenance in Adults With Overweight or Obesity: The STEP 4 Randomized Clinical Trial. JAMA 2021, 325, 1414–1425. [Google Scholar] [CrossRef]
- Bednarz, K.; Kowalczyk, K.; Cwynar, M.; Czapla, D.; Czarkowski, W.; Kmita, D.; Nowak, A.; Madej, P. The Role of Glp-1 Receptor Agonists in Insulin Resistance with Concomitant Obesity Treatment in Polycystic Ovary Syndrome. Int. J. Mol. Sci. 2022, 23, 4334. [Google Scholar] [CrossRef]
- Díaz-Soto, G.; de Luis, D.A.; Conde-Vicente, R.; Izaola-Jauregui, O.; Ramos, C.; Romero, E. Beneficial effects of liraglutide on adipocytokines, insulin sensitivity parameters and cardiovascular risk biomarkers in patients with Type 2 diabetes: A prospective study. Diabetes Res. Clin. Pr. 2014, 104, 92–96. [Google Scholar] [CrossRef]
- Lyu, X.; Yan, K.; Wang, X.; Xu, H.; Guo, X.; Zhu, H.; Pan, H.; Wang, L.; Yang, H.; Gong, F. A novel anti-obesity mechanism for liraglutide by improving adipose tissue leptin resistance in high-fat diet-fed obese mice. Endocr. J. 2022, 69, 1233–1244. [Google Scholar] [CrossRef]
- Hirota, Y.; Matsuda, T.; Nakajima, S.; Takabe, M.; Hashimoto, N.; Nakamura, T.; Okada, Y.; Sakaguchi, K.; Ogawa, W. Effects of exenatide and liraglutide on postchallenge glucose disposal in individuals with normal glucose tolerance. Endocrine 2019, 64, 43–47. [Google Scholar] [CrossRef]
- Lee, Y.-S.; Jun, H.-S. Anti-Inflammatory Effects of GLP-1-Based Therapies beyond Glucose Control. Mediat. Inflamm. 2016, 2016, 3094642. [Google Scholar] [CrossRef]
- Drucker, D.J.; Nauck, M.A. The Incretin System: Glucagon-like Peptide-1 Receptor Agonists and Dipeptidyl Peptidase-4 Inhibitors in Type 2 Diabetes. Lancet 2006, 368, 1696–1705. [Google Scholar] [CrossRef]
- Holst, J.J. The Physiology of Glucagon-like Peptide 1. Physiol. Rev. 2007, 87, 1409–1439. [Google Scholar] [CrossRef]
- Zhang, Y.; Chua, S. Leptin Function and Regulation. Compr. Physiol. 2017, 8, 351–369. [Google Scholar] [CrossRef]
- Iepsen, E.W.; Lundgren, J.; Dirksen, C.; Jensen, J.-E.; Pedersen, O.; Hansen, T.; Madsbad, S.; Holst, J.J.; Torekov, S.S. Treatment with a GLP-1 Receptor Agonist Diminishes the Decrease in Free Plasma Leptin during Maintenance of Weight Loss. Int. J. Obes. 2015, 39, 834–841. [Google Scholar] [CrossRef] [PubMed]
- Simental-Mendía, L.E.; Sánchez-García, A.; Linden-Torres, E.; Simental-Mendía, M. Effect of Glucagon-like Peptide-1 Receptor Agonists on Circulating Levels of Leptin and Resistin: A Meta-Analysis of Randomized Controlled Trials. Diabetes Res. Clin. Pr. 2021, 177, 108899. [Google Scholar] [CrossRef] [PubMed]
- Zhao, S.; Li, N.; Xiong, W.; Li, G.; He, S.; Zhang, Z.; Zhu, Q.; Jiang, N.; Ikejiofor, C.; Zhu, Y.; et al. Leptin Reduction as a Required Component for Weight Loss. Diabetes 2023, 73, 197–210. [Google Scholar] [CrossRef] [PubMed]
- Sandsdal, R.M.; Juhl, C.R.; Jensen, S.B.K.; Lundgren, J.R.; Janus, C.; Blond, M.B.; Rosenkilde, M.; Bogh, A.F.; Gliemann, L.; Jensen, J.-E.B.; et al. Combination of Exercise and GLP-1 Receptor Agonist Treatment Reduces Severity of Metabolic Syndrome, Abdominal Obesity, and Inflammation: A Randomized Controlled Trial. Cardiovasc. Diabetol. 2023, 22, 41. [Google Scholar] [CrossRef]
- Charles, B.A.; Doumatey, A.; Huang, H.; Zhou, J.; Chen, G.; Shriner, D.; Adeyemo, A.; Rotimi, C.N. The Roles of IL-6, IL-10, and IL-1RA in Obesity and Insulin Resistance in African-Americans. J. Clin. Endocrinol. Metab. 2011, 96, E2018–E2022. [Google Scholar] [CrossRef]
- Courrèges, J.-P.; Vilsbøll, T.; Zdravkovic, M.; Le-Thi, T.; Krarup, T.; Schmitz, O.; Verhoeven, R.; Bugáñová, I.; Madsbad, S. Beneficial Effects of Once-Daily Liraglutide, a Human Glucagon-like Peptide-1 Analogue, on Cardiovascular Risk Biomarkers in Patients with Type 2 Diabetes. Diabet. Med. 2008, 25, 1129–1131. [Google Scholar] [CrossRef]
- Hotamisligil, G.S. Inflammation and Metabolic Disorders. Nature 2006, 444, 860–867. [Google Scholar] [CrossRef]
- Park, H.S.; Park, J.Y.; Yu, R. Relationship of Obesity and Visceral Adiposity with Serum Concentrations of CRP, TNF-Alpha and IL-6. Diabetes Res. Clin. Pract. 2005, 69, 29–35. [Google Scholar] [CrossRef]
- Hämäläinen, P.; Saltevo, J.; Kautiainen, H.; Mäntyselkä, P.; Vanhala, M. Serum Ferritin Levels and the Development of Metabolic Syndrome and Its Components: A 6.5-Year Follow-up Study. Diabetol. Metab. Syndr. 2014, 6, 114. [Google Scholar] [CrossRef]
- Srivastav, S.K.; Mir, I.A.; Bansal, N.; Singh, P.K.; Kumari, R.; Deshmukh, A. Serum Ferritin in Metabolic Syndrome—Mechanisms and Clinical Applications. Pathophysiology 2022, 29, 319–325. [Google Scholar] [CrossRef]
- Lee, J.H.; Chan, J.L.; Yiannakouris, N.; Kontogianni, M.; Estrada, E.; Seip, R.; Orlova, C.; Mantzoros, C.S. Circulating Resistin Levels Are Not Associated with Obesity or Insulin Resistance in Humans and Are Not Regulated by Fasting or Leptin Administration: Cross-Sectional and Interventional Studies in Normal, Insulin-Resistant, and Diabetic Subjects. J. Clin. Endocrinol. Metab. 2003, 88, 4848–4856. [Google Scholar] [CrossRef] [PubMed]
- Bo, S.; Gambino, R.; Pagani, A.; Guidi, S.; Gentile, L.; Cassader, M.; Pagano, G.F. Relationships between Human Serum Resistin, Inflammatory Markers and Insulin Resistance. Int. J. Obes. 2005, 29, 1315–1320. [Google Scholar] [CrossRef]
- Alessi, M.C.; Peiretti, F.; Morange, P.; Henry, M.; Nalbone, G.; Juhan-Vague, I. Production of plasminogen activator inhibitor 1 by human adipose tissue: Possible link between visceral fat accumulation and vascular disease. Diabetes 1997, 46, 860–867. [Google Scholar] [CrossRef] [PubMed]
- Schneiderman, J.; Sawdey, M.S.; Keeton, M.R.; Bordin, G.M.; Bernstein, E.F.; Dilley, R.B.; Loskutoff, D.J. Increased type 1 plasminogen activator inhibitor gene expression in atherosclerotic human arteries. Proc. Natl. Acad. Sci. USA 1992, 89, 6998–7002. [Google Scholar] [CrossRef] [PubMed]
- Shimomura, I.; Funahashi, T.; Takahashi, M.; Maeda, K.; Kotani, K.; Nakamura, T.; Yamashita, S.; Miura, M.; Fukuda, Y.; Takemura, K.; et al. Enhanced Expression of PAI-1 in Visceral Fat: Possible Contributor to Vascular Disease in Obesity. Nat. Med. 1996, 2, 800–803. [Google Scholar] [CrossRef]
- Vilahur, G.; Ben-Aicha, S.; Badimon, L. New Insights into the Role of Adipose Tissue in Thrombosis. Cardiovasc. Res. 2017, 113, 1046–1054. [Google Scholar] [CrossRef]
- Netto, B.D.M.; Bettini, S.C.; Clemente, A.P.G.; Ferreira, J.P.d.C.; Boritza, K.; Souza, S.d.F.; Von der Heyde, M.E.; Earthman, C.P.; Dâmaso, A.R. Roux-En-Y Gastric Bypass Decreases pro-Inflammatory and Thrombotic Biomarkers in Individuals with Extreme Obesity. Obes. Surg. 2015, 25, 1010–1018. [Google Scholar] [CrossRef]
- Mashayekhi, M.; Beckman, J.A.; Nian, H.; Garner, E.M.; Mayfield, D.; Devin, J.K.; Koethe, J.R.; Brown, J.D.; Cahill, K.N.; Yu, C.; et al. Comparative Effects of Weight Loss and Incretin-Based Therapies on Vascular Endothelial Function, Fibrinolysis and Inflammation in Individuals with Obesity and Prediabetes: A Randomized Controlled Trial. Diabetes Obes. Metab. 2023, 25, 570–580. [Google Scholar] [CrossRef]
- Lee, Y.-S.; Park, M.-S.; Choung, J.-S.; Kim, S.-S.; Oh, H.-H.; Choi, C.-S.; Ha, S.-Y.; Kang, Y.; Kim, Y.; Jun, H.-S. Glucagon-like Peptide-1 Inhibits Adipose Tissue Macrophage Infiltration and Inflammation in an Obese Mouse Model of Diabetes. Diabetologia 2012, 55, 2456–2468. [Google Scholar] [CrossRef]
- Andersen, P.; Seljeflot, I.; Abdelnoor, M.; Arnesen, H.; Dale, P.O.; Løvik, A.; Birkeland, K. Increased insulin sensitivity and fibrinolytic capacity after dietary intervention in obese women with polycystic ovary syndrome. Metabolism 1995, 44, 611–616. [Google Scholar] [CrossRef]
- Morel, O.; Luca, F.; Grunebaum, L.; Jesel, L.; Meyer, N.; Desprez, D.; Robert, S.; Dignat-George, F.; Toti, F.; Simon, C.; et al. Short-term very low-calorie diet in obese females improves the haemostatic balance through the reduction of leptin levels, PAI-1 concentrations and a diminished release of platelet and leukocyte-derived microparticles. Int. J. Obes. 2011, 35, 1479–1486. [Google Scholar] [CrossRef] [PubMed]
- Rolland, C.; Hession, M.; Broom, I. Effect of weight loss on adipokine levels in obese patients. Diabetes Metab. Syndr. Obes. 2011, 4, 315–323. [Google Scholar] [CrossRef] [PubMed]
- Siklova-Vitkova, M.; Polak, J.; Klimcakova, E.; Vrzalova, J.; Hejnova, J.; Kovacikova, M.; Kovacova, Z.; Bajzova, M.; Rossmeislova, L.; Hnevkovska, Z.; et al. Effect of hyperinsulinemia and very-low-calorie diet on interstitial cytokine levels in subcutaneous adipose tissue of obese women. Am. J. Physiol. Endocrinol. Metab. 2009, 297, E1154–E1161. [Google Scholar] [CrossRef] [PubMed]
- Stefanov, T.; Temelkova-Kurktschiev, T.; Koehler, C.; Henkel, E.; Schaper, F.; Hanefeld, M. Association of physical activity with insulin resistance, subclinical inflammation, coagulation, and fibrinolytic biomarkers among population at high risk for type 2 diabetes. Folia Med. 2012, 54, 32–39. [Google Scholar] [CrossRef]
- Huang, C.J.; Kwok, C.F.; Chou, C.H.; Chou, Y.C.; Ho, L.T.; Shih, K.C. The effect of exercise on lipid profiles and inflammatory markers in lean male adolescents: A prospective interventional study. J. Investig. Med. 2015, 63, 29–34. [Google Scholar] [CrossRef]



| Study Group | |
|---|---|
| Age (years) | 49 ± 12 |
| Number of patients (men/women) | 11/21 |
| Dyslipidemia | 27 (84.4%) |
| Chronic kidney disease (KDIGO stage 1–3) | 3 (9.4%) |
| Coronary artery disease | 7 (21.9%) |
| Atrial fibrillation | 3 (9.4%) |
| Hypertension | 17 (53.1%) |
| Bronchial asthma | 4 (12.5%) |
| Valve disease—moderate to severe | 3 (9.4%) |
| Serum creatinine (µmol/L) | 71.9 ± 12.3 |
| GFR calculated using Cockroft–Gault equation (mL/min/1.73 m2) | 94.6 ± 14.2 |
| ALT (µkat/L) | 0.6 ± 0.2 |
| AST (µkat/L) | 0.5 ± 0.1 |
| Hemoglobin (g/L) | 144.8 ± 12.0 |
| Total serum protein (g/L) | 73.9 ± 2.3 |
| Total cholesterol (mmol/L) | 5.6 ± 1.1 |
| LDL cholesterol (mmol/L) | 3.5 ± 1.1 |
| HDL cholesterol (mmol/L) | 1.2 ± 0.3 |
| Triglycerides (mmol/L) | 2.0 ± 1.0 |
| Before Treatment | After Treatment | ∆ | ∆ CI 95% | Significance (p Value) | Effect Size | CI 95% | |
|---|---|---|---|---|---|---|---|
| Ferritin (ng/mL) | 103 (39, 173) | 107 (45.7, 156) | 0.18 (−17.0, 12.2) | (−13.6, 16.9) | 0.806 | −0.038 | (−97.96, 64.89) |
| IL−6 (pg/mL) | 1.56 (0.8, 2.18) | 1.32 (0.84, 2.18) | −0.06 (−0.46, 0.70) | (−0.33, 0.58) | 0.607 | −0.102 | (−2.33, 2.28) |
| Resistin (ng/mL) | 3.22 (2.68, 4.45) | 3.66 (2.73, 4.88) | −0.28 (−1.06, 0.57) | (−0.66, 0.17) | 0.250 | 0.214 | (−1.85, 2.04) |
| Insulin (uIU/mL) | 21.6 (15.1, 42.3) | 13 (9.39, 22.3) | 6.46 (2.49, 19.10) | (6.43, 26.5) | <0.001 | −0.592 | (−77.46, 15.49) |
| TNF-alpha (pg/mL) | 4.03 (3.16, 4.8) | 4.1 (3.17, 5.06) | −0.07 (−0.61, 0.43) | (−0.59, 0.39) | 0.633 | 0.074 | (−2.11, 2.65) |
| Leptin (ng/mL) | 24.6 (15.3, 35.7) | 14.1 (7.71, 27.1) | 7.80 (1.82, 16.70) | (4.39, 14.40) | <0.001 | −0.675 | (−39.74, 17.15) |
| PAI-1 (ng/mL) | 4.92 (2.23, 14.6) | 5.07 (3, 8.89) | 1.75 (−2.25, 6.07) | (−1.70, 4.38) | 0.134 | −0.159 | (−15.79, 15.76) |
| Weight (kg) | 118 ± 24.6 | 106 ± 24.3 | 12 ± 6.3 | (9.1, 13.5) | <0.001 | 1.78 | (1.23, 2.32) |
| BMI (kg/m2) | 40.5 ± 7.3 | 36.7 ± 7.41 | 3.8 ± 2.41 | (2.9, 4.6) | <0.001 | 1.56 | (1.05, 2.05) |
| Waist circumference (cm) | 121 ± 15.6 | 114 ± 15.6 | 8 ± 7.2 | (5.0, 10.0) | <0.001 | 1.05 | (0.62, 1.46) |
| Height/waist ratio | 0.71 ± 0.09 | 0.67 ± 0.09 | 0.04 ± 0.04 | (0.03, 0.06) | <0.001 | 1.03 | (0.61, 1.44) |
Disclaimer/Publisher’s Note: The statements, opinions and data contained in all publications are solely those of the individual author(s) and contributor(s) and not of MDPI and/or the editor(s). MDPI and/or the editor(s) disclaim responsibility for any injury to people or property resulting from any ideas, methods, instructions or products referred to in the content. |
© 2025 by the authors. Licensee MDPI, Basel, Switzerland. This article is an open access article distributed under the terms and conditions of the Creative Commons Attribution (CC BY) license (https://creativecommons.org/licenses/by/4.0/).
Share and Cite
Péč, M.J.; Jurica, J.; Péčová, M.; Nagy, N.; Focko, B.; Miertová, Z.; Ferencová, N.; Ságová, I.; Tonhajzerová, I.; Bolek, T.; et al. Effect of Submaximal Doses of Semaglutide in Patients with Obesity on Metabolic Profile and Serum Levels of Adipocytokines. Pharmaceuticals 2025, 18, 1364. https://doi.org/10.3390/ph18091364
Péč MJ, Jurica J, Péčová M, Nagy N, Focko B, Miertová Z, Ferencová N, Ságová I, Tonhajzerová I, Bolek T, et al. Effect of Submaximal Doses of Semaglutide in Patients with Obesity on Metabolic Profile and Serum Levels of Adipocytokines. Pharmaceuticals. 2025; 18(9):1364. https://doi.org/10.3390/ph18091364
Chicago/Turabian StylePéč, Martin Jozef, Jakub Jurica, Monika Péčová, Norbert Nagy, Boris Focko, Zuzana Miertová, Nikola Ferencová, Ivana Ságová, Ingrid Tonhajzerová, Tomáš Bolek, and et al. 2025. "Effect of Submaximal Doses of Semaglutide in Patients with Obesity on Metabolic Profile and Serum Levels of Adipocytokines" Pharmaceuticals 18, no. 9: 1364. https://doi.org/10.3390/ph18091364
APA StylePéč, M. J., Jurica, J., Péčová, M., Nagy, N., Focko, B., Miertová, Z., Ferencová, N., Ságová, I., Tonhajzerová, I., Bolek, T., Galajda, P., Mokáň, M., & Samoš, M. (2025). Effect of Submaximal Doses of Semaglutide in Patients with Obesity on Metabolic Profile and Serum Levels of Adipocytokines. Pharmaceuticals, 18(9), 1364. https://doi.org/10.3390/ph18091364

