Design and Study of Nanoceria Modified by 5-Fluorouracil for Gel and Polymer Dermal Film Preparation
Abstract
1. Introduction
2. Results
2.1. Synthesis of Nanoceria in an HEC and HPMC Matrix
2.2. Physicochemical Properties of Nanoceria Synthesized in a Matrix of HEC or HPMC as Gels and Films
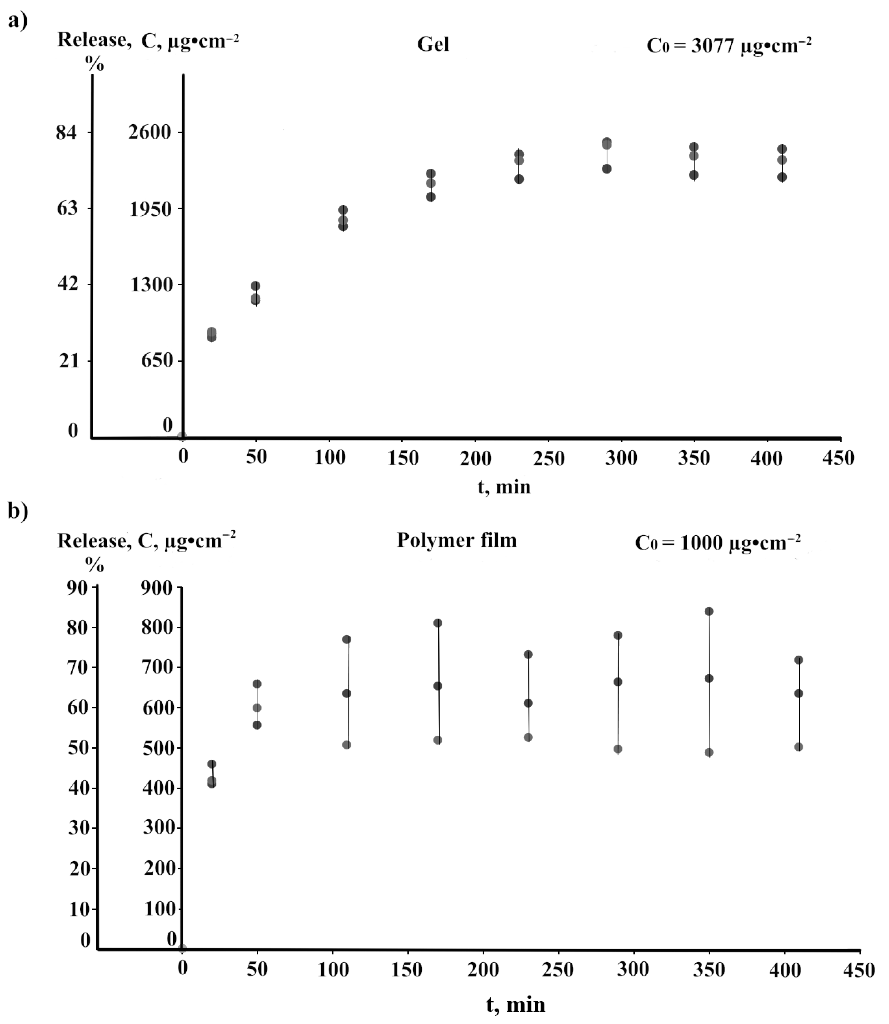
2.3. The Permeability of 5-Fluorouracil from Gels and Polymer Films through the Acetyl Cellulose Membrane
2.4. Cytotoxicity Assessment of Nanoceria and Nanoceria Modified by 5FU in Vitro
3. Discussion
4. Materials and Methods
4.1. Materials
4.2. Synthesis of CeO2NPs as a Control Sample
4.3. Nanoceria-5FU Gel Preparations
4.4. Dermal Polymer Film Preparations
4.5. FTIR Analysis
4.6. UV Analysis
4.7. Powder X-ray Diffraction Analysis
4.8. SEM and EDXMA Studies
4.9. Atomic Force Microscopy
4.10. Permeability Study
4.11. Cytotoxicity Assessment in Vitro
4.11.1. Cell Cultures
4.11.2. Qualitative Cytotoxicity Analysis
4.11.3. Quantitative Cell Viability Assay
4.11.4. Statistical Analysis
5. Conclusions
Supplementary Materials
Author Contributions
Funding
Institutional Review Board Statement
Informed Consent Statement
Data Availability Statement
Conflicts of Interest
References
- Heidelberger, C.; Chaudhuri, N.; Danneberg, P.; Mooren, D.; Dyschinsky, R.; Schnitzer, R.; Pleven, E.; Scheiner, J. Fluorinated Pyrimidines. A New Class of Tumour-Inhibitory Compounds. Nature 1957, 179, 663–666. [Google Scholar] [CrossRef] [PubMed]
- Diasio, R.; Harris, B. Clinical pharmacology of 5-fluorouracil. Clin. Pharmacokinet. 1989, 237, 215–237. [Google Scholar] [CrossRef]
- Ewert De Oliveira, B.; Junqueira, A.; Otavio, H.; Loneta, L.; Rezende, R.; Mestnik, N.; Bagatin, E.; Gislaine, R.L. 5-Fluorouracil, innovative drug delivery systems to enhance bioavailability for topical use. J. Drug Deliv. Sci. Technol. 2020, 61, 102155. [Google Scholar] [CrossRef]
- Tiwari, R.; Tiwari, G.; Wal, A.; Gupta, C. Liposomal delivery of 5 Fluorouracil and Tretinoin: An Aspect of Topical treatment of skin warts. Ars Pharm. 2019, 60, 139–146. [Google Scholar] [CrossRef]
- Celleno, L. Topical urea in skincare: A review. Dermatol. Ther. 2018, 31, e12690. [Google Scholar] [CrossRef]
- Jha, A.; Sonthalia, S. 5-Fluorouracil as an adjuvant therapy along with microneedling in vitiligo. J. Am. Acad. Dermatol. 2018, 80, e75–e76. [Google Scholar] [CrossRef]
- Petrilli, R.; Eloy, J.; Saggioro, F.; Chesca, D.; Claro, M.; Souza, D.; Dias, M.; Luis, L.; Lee, R.; Lopez, R. Skin cancer treatment effectiveness is improved by iontophoresis of EGFR- targeted liposomes containing 5-FU compared with subcutaneous injection. J. Contr. Release 2018, 283, 151–162. [Google Scholar] [CrossRef]
- Gray, R.; Meland, N. Topical 5-fluorouracil as primary therapy for keratoacanthoma. Ann. Plast. Surg. 2000, 44, 82–85. [Google Scholar] [CrossRef]
- Attia, H.O.I.; Kawy, F.A.W.A.; Hafiz, H.S.A. Intralesional methotrexate vs intralesional 5-fluorouracil in the treatment of localized plaque psoriasis: A comparative clinical and dermoscopic study. Sci. J. Al-Azhar Med. Fac. Girls 2019, 3, 643–649. [Google Scholar] [CrossRef]
- Abdelwanab, M.; Salah, M.; Samy, N.; Rabir, A.; Farrag, A. Effect of topical 5-fluorouracil alone versus its combination with Erbium: YAG (2940 nm) laser in treatment of vitiligo. Clin. Cosmet. Investig. Dermatol. 2020, 13, 77–85. [Google Scholar] [CrossRef]
- Jansen, M.; Mosterd, K.; Arits, A.; Roozeboom, M.; Sommer, A.; Essers, B.; Van Pelt, H.; Quaedvlieg, P.; Steijlen, P.; Nelemans, P.; et al. Five-year results of a randomized controlled trial comparing effectiveness of photodynamic therapy, topical imiquimod, and topical 5-fluorouracil in patients with superficial basal cell carcinoma. J. Investig. Dermatol. 2017, 138, 527–533. [Google Scholar] [CrossRef]
- Maarouf, M.; Kromenacker, B.; Brucks, E.; Hendricks, A.; Shi, V. Reducing unpleasant side effects of topical 5- flourouracil treatment for actinic keratosis: A randomized controlled trial. J. Dermatol. Treat. 2020, 31, 175–179. [Google Scholar] [CrossRef] [PubMed]
- Calienni, M.; Temprana, C.; Prieto, M.; Paolino, D.; Fresta, M.; Tekinay, A.; Alonso, V.; Montanari, J. Nano-formulation for topical treatment of precancerous lesions: Skin penetration, in vitro, and in vivo toxicological evaluation. Drug Deliv. Transl. Res. 2018, 8, 496–514. [Google Scholar] [CrossRef] [PubMed]
- Hao, Y.; Chen, Y.; He, X.; Yang, F.; Han, R.; Yang, C.; Li, W.; Qian, Z. Near-infrared responsive 5-fluorouracil and indocyanine green loaded MPEG-PCL nanoparticle integrated with dissolvable microneedle for skin cancer therapy. Bioact. Mater. 2020, 5, 542–552. [Google Scholar] [CrossRef] [PubMed]
- Ezekiel, C.I.; Bapolisi, A.M.; Walker, R.B.; Krause, R.W.M. Ultrasound-Triggered Release of 5-Fluorouracil from Soy Lecithin Echogenic Liposomes. Pharmaceutics 2021, 13, 821. [Google Scholar] [CrossRef]
- Nazir, S.; Khan, M.U.A.; Al-Arjan, W.S.; Razak, S.I.A.; Javed, A.; Kadir, M.R.A. Nanocomposite hydrogels for melanoma skin cancer care and treatment: In-vitro drug delivery, drug release kinetics and anti-cancer activities. Arab. J. Chem. 2021, 14, 103120. [Google Scholar] [CrossRef]
- Khan, M.U.A.; Razak, S.I.A.; Haider, S.; Mannan, H.A.; Hussain, J.; Hasan, A. Sodium alginate-f-GO composite hydrogels for tissue regeneration and antitumor applications. Int. J. Biol. Macromol. 2022, 208, 475–485. [Google Scholar] [CrossRef]
- Teora, S.P.; Panavaite, E.; Mingchen, S.; Kiffen, B.; Wilson, D.A. Anisotropic, Hydrogel Microparticles as pH-Responsive Drug Carriers for Oral Administration of 5-FU. Pharmaceutics 2023, 15, 1380. [Google Scholar] [CrossRef]
- Almawash, S.; Mohammed, A.M.; Hamd, M.A.E.; Osman, S.K. Injectable Hydrogels Based on Cyclodextrin/Cholesterol Inclusion Complexation and Loaded with 5-Fluorouracil/Methotrexate for Breast Cancer Treatment. Gels 2023, 9, 326. [Google Scholar] [CrossRef]
- Li, P.; Liu, R.; Lei, H.; Zhou, M.; Jian, B.; Li, X. Preparation and Properties of Nano-cellulose/Sodium Alginate Composite Hydrogel. Hydrogel. Pap. Biomater. 2021, 6, 38–46. [Google Scholar]
- Gonzalez-Ayon, M.A.; Rochin-Galaviz, A.; Zizumbo-Lopez, A.; Licea-Claverie, A. Poly(N-vinylcaprolactam)–Gold Nanorods–5 Fluorouracil Hydrogels: In the Quest of a Material for Topical Therapies against Melanoma Skin Cancer. Pharmaceutics 2023, 15, 1097. [Google Scholar] [CrossRef]
- Alotaibi, G.; Alharthi, S.; Basu, B.; Ash, D.; Dutta, S.; Singh, S.; Prajapati, B.G.; Bhattacharya, S.; Chidrawar, V.R.; Chitme, H. Nano-Gels: Recent Advancement in Fabrication Methods for Mitigation of Skin Cancer. Gels 2023, 9, 331. [Google Scholar] [CrossRef]
- Nawaz, A.; Ullah, S.; Alnuwaiser, M.A.; Rehman, F.U.; Selim, S.; Al Jaouni, S.K.; Farid, A. Formulation and Evaluation of Chitosan-Gelatin Thermosensitive Hydrogels Containing 5FU-Alginate Nanoparticles for Skin Delivery. Gels 2022, 8, 537. [Google Scholar] [CrossRef] [PubMed]
- Pünnel, L.; Lunter, D. Film-Forming Systems for Dermal Drug Delivery. Pharmaceutics 2021, 13, 932. [Google Scholar] [CrossRef] [PubMed]
- Kashmira, K.; Kathpalia, H. Film forming systems for topical and transdermal drug delivery. Asian J. Pharm. Sci. 2017, 12, 487–497. [Google Scholar] [CrossRef]
- De Oliveira, F.; Menezes, L.; Tavares, M. Film-Forming Systems in Topically Administered Pharmaceutical Formulations. Mater. Sci. Appl. 2020, 11, 576–590. [Google Scholar] [CrossRef]
- Gopinath, V.; Saravanan, S.; Al-Maleki, A.R.; Ramesh, M.; Vadivelu, J. A review of natural polysaccharides for drug delivery applications: Special focus on cellulose, starch and glycogen. Biomed. Pharmacother. 2018, 107, 96–108. [Google Scholar] [CrossRef]
- Prasher, P.; Sharma, M.; Mehta, M.; Satija, S.; Aljabali, A.A.; Tambuwala, M.M.; Anand, K.; Sharma, N.; Dureja, H.; Jha, N.K.; et al. Current-status and applications of polysaccharides in drug delivery systems. Colloids Interface Sci. Commun. 2021, 42, 100418. [Google Scholar] [CrossRef]
- Shi, P.; Zhao, T.; Wang, W.; Peng, F.; Wang, T.; Jia, Y.; Zou, L.; Wang, P.; Yang, S.; Fan, Y.; et al. Protective effect of homogeneous polysaccharides of Wuguchong (HPW) on intestinal mucositis induced by 5-fluorouracil in mice. Nutr. Metab. 2022, 19, 36. [Google Scholar] [CrossRef]
- Oprea, M.; Panaitescu, D.M. Nanocellulose Hybrids with Metal Oxides Nanoparticles for Biomedical Applications. Molecules 2020, 25, 4045. [Google Scholar] [CrossRef]
- Anžlovar, A.; Žagar, E. Cellulose Structures as a Support or Template for Inorganic Nanostructures and Their Assemblies. Nanomaterials 2022, 12, 1837. [Google Scholar] [CrossRef]
- Yusefi, M.; Lee-Kiun, M.S.; Shameli, K.; Teow, S.Y.; Ali, R.R.; Siew, K.K.; Chan, H.Y.; Wong, M.M.T.; Lim, W.L.; Kuča, K. 5-Fluorouracil loaded magnetic cellulose bionanocomposites for potential colorectal cancer treatment. Carbohydr. Polym. 2021, 273, 118523. [Google Scholar] [CrossRef] [PubMed]
- Petrova, V.A.; Gofman, I.V.; Golovkin, A.S.; Mishanin, A.I.; Dubashynskaya, N.V.; Khripunov, A.K.; Ivan’kova, E.M.; Vlasova, E.N.; Nikolaeva, A.L.; Baranchikov, A.E.; et al. Bacterial Cellulose Composites with Polysaccharides Filled with Nanosized Cerium Oxide: Characterization and Cytocompatibility Assessment. Polymers 2022, 14, 5001. [Google Scholar] [CrossRef] [PubMed]
- Gofman, I.V.; Nikolaeva, A.L.; Khripunov, A.K.; Ivan’kova, E.M.; Shabunin, A.S.; Yakimansky, A.V.; Romanov, D.P.; Popov, A.L.; Ermakov, A.M.; Solomevich, S.O.; et al. Bacterial Cellulose-Based Nanocomposites Containing Ceria and Their Use in the Process of Stem Cell Proliferation. Polymers 2021, 13, 1999. [Google Scholar] [CrossRef] [PubMed]
- Gofman, I.V.; Nikolaeva, A.L.; Khripunov, A.K.; Yakimansky, A.V.; Ivan’kova, E.M.; Romanov, D.P.; Ivanova, O.S.; Teplonogova, M.A.; Ivanov, V.K. Impact of nano-sized cerium oxide on physico-mechanical characteristics and thermal properties of the bacterial cellulose films. Nanosyst. Phys. Chem. Math. 2018, 9, 754–762. [Google Scholar] [CrossRef]
- Rozhin, P.; Melchionna, M.; Fornasiero, P.; Marchesan, S. Nanostructured Ceria: Biomolecular Templates and (Bio)applications. Nanomaterials 2021, 11, 2259. [Google Scholar] [CrossRef]
- Popova, N.R.; Andreeva, V.V.; Khohlov, N.V.; Popov, A.L.; Ivanov, V.K. Fabrication of CeO2 nanoparticles embedded in polysaccharide hydrogel and their application in skin wound healing. Nanosyst. Phys. Chem. Math. 2020, 11, 99–109. [Google Scholar] [CrossRef]
- Kızılkonca, E.; Torlak, E.; Erim, F.B. Preparation and characterization of antibacterial nano cerium oxide/chitosan/hydroxyethylcellulose/polyethylene glycol composite films. Int. J. Biol. Macromol. 2021, 177, 351–359. [Google Scholar] [CrossRef]
- Melnikova, N.; Malygina, D.; Korokin, V.; Al-Azzawi, H.; Zdorova, D.; Mokshin, E.; Liyaskina, E.; Kurgaeva, I.; Revin, V. Synthesis of Cerium Oxide Nanoparticles in a Bacterial Nanocellulose Matrix and the Study of Their Oxidizing and Reducing Properties. Molecules 2023, 28, 2604. [Google Scholar] [CrossRef]
- Melchionna, M.; Trovarelli, A.; Fornasiero, P. 2—Synthesis and properties of cerium oxide-based materials. In Cerium Oxide (CeO2): Synthesis, Properties and Applications. Metal Oxides, 1st ed.; Scirè, S., Palmisano, L., Eds.; Elsevier: Amsterdam, The Netherlands, 2020; pp. 13–43. [Google Scholar] [CrossRef]
- Shcherbakov, A.B.; Zholobak, N.M.; Ivanov, V.K. 8—Biological, biomedical and pharmaceutical applications of cerium oxide. In Cerium Oxide (CeO2): Synthesis, Properties and Applications. Metal Oxides, 1st ed.; Scirè, S., Palmisano, L., Eds.; Elsevier: Amsterdam, The Netherlands, 2020; pp. 279–358. [Google Scholar] [CrossRef]
- Barker, E.; Shepherd, J.; Asencio, I.O. The Use of Cerium Compounds as Antimicrobials for Biomedical Applications. Molecules 2022, 27, 2678. [Google Scholar] [CrossRef]
- Skorodumova, N.V.; Simak, S.I.; Lundqvist, B.I.; Abrikosov, I.A.; Johansson, B. Quantum origin of the oxygen storage capability of ceria. Phys. Rev. Lett. 2002, 89, 166601. [Google Scholar] [CrossRef]
- Rajeshkumar, S.; Naik, P. Synthesis and biomedical applications of Cerium oxide nanoparticles—A Review. Biotechnol. Rep. 2018, 17, 1–5. [Google Scholar] [CrossRef]
- Yang, T.; Wu, T.; Lv, L.; Zhang, Z.; Liu, D.; Xu, J.; Chen, D.; Wu, G. Ceria oxide nanoparticles an ideal carrier given little stress to cells and rats. J. Nanosci. Nanotechnol. 2018, 18, 3865–3869. [Google Scholar] [CrossRef] [PubMed]
- Zhang, F.; Chan, S.-W.; Spanier, J.E.; Apak, E.; Jin, Q.; Robinson, R.D.; Herman, I.P. Cerium oxide nanoparticles: Size-selective formation and structure analysis. Appl. Phys. Lett. 2002, 80, 127–129. [Google Scholar] [CrossRef]
- Zhang, F.; Jin, Q.; Chan, S.-W. Ceria nanoparticles: Size, size distribution, and shape. J. Appl. Phys. 2004, 95, 4319–4326. [Google Scholar] [CrossRef]
- Ivanov, V.K.; Shcherbakov, A.B.; Usatenko, A.V. Structure-sensitive properties and biomedical applications of nanodispersed cerium dioxide. Russ. Chem. Rev. 2009, 78, 855–871. [Google Scholar] [CrossRef]
- Shcherbakov, A.B.; Zholobak, N.M.; Ivanov, V.K.; Ivanova, O.S.; Marchevsky, A.V.; Baranchikov, A.E.; Spivak, N.Y.; Tretyakov, Y.D. Synthesis and antioxidant activity of biocompatible maltodextrin-stabilized aqueous sols of nanocrystalline ceria. Russ. J. Inorg. Chem. 2012, 57, 1411–1418. [Google Scholar] [CrossRef]
- Thakur, N.; Manna, P.; Das, J. Synthesis and biomedical applications of nanoceria, a redox active nanoparticle. J. Nanobiotechnol. 2019, 17, 84. [Google Scholar] [CrossRef]
- Karakoti, A.S.; Kuchibhatla, S.V.; Babu, K.S. Direct synthesis of nanoceria in aqueous polyhydroxyl solution. J. Phys. Chem. C 2007, 111, 17232–17240. [Google Scholar] [CrossRef]
- Mishchenko, T.; Turubanova, V.; Mitroshina, E.; Alzeibak, R.; Peskova, N.; Lermontova, S.; Klapshina, L.; Balalaeva, I.; Vedunova, M.; Krysko, D. Effect of novel porphyrazine photosensitizers on normal and tumor brain cells. J. Biophotonics. 2020, 13, e201960077. [Google Scholar] [CrossRef]
- Mishchenko, T.; Mitroshina, E.; Smyshlyaeva, A.; Guryev, E.; Vedunova, M. Comparative Analysis of the Effects of Upconversion Nanoparticles on Normal and Tumor Brain Cells. Acta Naturae 2020, 12, 86–94. [Google Scholar] [CrossRef] [PubMed]
- ISO 10993-5:2009; Biological Evaluation of Medical Devices—Part 5: Tests for In Vitro Cytotoxicity. ISO: Brussels, Belgium, 2009. Available online: https://www.iso.org/standard/36406.html (accessed on 1 January 2023).
- Mossman, T. Rapid colorimetric assay for cellular growth and survival: Application to proliferation and cytotoxicity assays. J. Immunol. Methods 1983, 65, 55–63. [Google Scholar] [CrossRef] [PubMed]












| Sample | 3600–3200 (-OH, -NH) | 3100–2700 (-CH, -CH2, -CH3) | 1753–1650 (C=O in 5FU) 1248–1249 (C-F) | 1600–1300 (C-O, NO3−) | 570–425 (Ce-O) |
|---|---|---|---|---|---|
| CeO2NPs | - | 3161 | - | 1535, 1071, 1020 | 435 |
| HPMC | 3445 | 2931 | - | 1053 | - |
| HEC | 3526 | 2906 | - | 1062 | - |
| HEC-CeO2NPs powder from gel | 3462 | 2882 | - | 1060 | 410 |
| HEC-CeO2NPs-5FU powder from gel | 3413 | - | 1659, 1543, 1247 | 1092 | 420 |
| HPMC-CeO2NPs-5FU powder from gel | 3407 | 2832 | 1653, 1550, 1247 | 1093 | 419 |
| HPMC-CeO2NPs-5FU film | 3679 | 3012 | 1728, 1673, 1249 | 1020–895 | 424 |
| 5FU | 3141 | 2932 | 1729, 1638, 1248 | - | - |
| Sample | Ce3+, % | Ce4+, % |
|---|---|---|
| HPMC-CeO2NPs | 41 | 59 |
| CeO2NPs | 34 | 66 |
| Concentration, μg∙mL−1 | # IC50, μg∙mL−1 | ||||||
|---|---|---|---|---|---|---|---|
| Viable cells, % of negative control (taken as 100%) | 10 | 50 | 100 | 200 | 400 | 600 | 190.1 [128,1; 282,3] |
| 94.5 ± 3.6 | 54.6 ± 5.3 * | 50.2 ± 5.1 * | 47.6 ± 5.8 * | 43.2 ± 2.4 * | 44.8 ± 1.8 * | ||
| Dosage Form | Component | Weight, g |
|---|---|---|
| Gel | HEC | 0.80 |
| Cerium (III) nitrate hexahydrate | 0.10 | |
| Meglumine | 0.87 | |
| 5-fluorouracil | 0.50 | |
| Water | up to 50.00 | |
| Dermal polymer film | HPMC | 1.00 |
| Cerium (III) nitrate hexahydrate | 0.10 | |
| Meglumine | 0.33 | |
| 5-fluorouracil | 0.10 | |
| Kolliphor® P188 | 0.10 | |
| Triethanolamine | 1.00 | |
| Triethyl citrate | 1.00 | |
| Ethanol (96%) | 26.00 |
Disclaimer/Publisher’s Note: The statements, opinions and data contained in all publications are solely those of the individual author(s) and contributor(s) and not of MDPI and/or the editor(s). MDPI and/or the editor(s) disclaim responsibility for any injury to people or property resulting from any ideas, methods, instructions or products referred to in the content. |
© 2023 by the authors. Licensee MDPI, Basel, Switzerland. This article is an open access article distributed under the terms and conditions of the Creative Commons Attribution (CC BY) license (https://creativecommons.org/licenses/by/4.0/).
Share and Cite
Melnikova, N.; Sheferov, I.; Panteleev, D.; Emasheva, A.; Druzhkova, I.; Ignatova, N.; Mishchenko, T.; Vedunova, M. Design and Study of Nanoceria Modified by 5-Fluorouracil for Gel and Polymer Dermal Film Preparation. Pharmaceuticals 2023, 16, 1082. https://doi.org/10.3390/ph16081082
Melnikova N, Sheferov I, Panteleev D, Emasheva A, Druzhkova I, Ignatova N, Mishchenko T, Vedunova M. Design and Study of Nanoceria Modified by 5-Fluorouracil for Gel and Polymer Dermal Film Preparation. Pharmaceuticals. 2023; 16(8):1082. https://doi.org/10.3390/ph16081082
Chicago/Turabian StyleMelnikova, Nina, Ilya Sheferov, Dmitry Panteleev, Anastasia Emasheva, Irina Druzhkova, Nadezhda Ignatova, Tatiana Mishchenko, and Maria Vedunova. 2023. "Design and Study of Nanoceria Modified by 5-Fluorouracil for Gel and Polymer Dermal Film Preparation" Pharmaceuticals 16, no. 8: 1082. https://doi.org/10.3390/ph16081082
APA StyleMelnikova, N., Sheferov, I., Panteleev, D., Emasheva, A., Druzhkova, I., Ignatova, N., Mishchenko, T., & Vedunova, M. (2023). Design and Study of Nanoceria Modified by 5-Fluorouracil for Gel and Polymer Dermal Film Preparation. Pharmaceuticals, 16(8), 1082. https://doi.org/10.3390/ph16081082

