The Anti-Cancer Effects of Mitochondrial-Targeted Triphenylphosphonium–Resveratrol Conjugate on Breast Cancer Cells
Abstract
1. Introduction
2. Results
2.1. Cytotoxicity
2.2. Mitochondrial Membrane Potential Loss
2.3. Cell Apoptosis Induction
2.4. Cell Cycle Arrest
2.5. Mitochondrial Morphology
2.6. Metabolic Profiling Using Multivariate Analysis
2.7. Identification of Significantly Altered Metabolites
2.8. Perturbed Metabolic Pathways Caused by Resveratrol and TPP-Resveratrol Exposure
3. Discussion
4. Materials and Methods
4.1. Materials
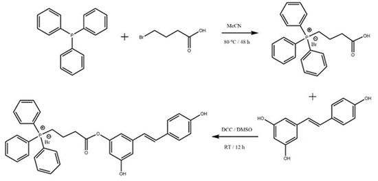
4.2. Synthesis of TPP-Resveratrol
4.3. Cytotoxicity
4.4. Mitochondrial Membrane Potential Loss
4.5. Cell Apoptosis Induction
4.6. Cell Cycle Arrest
4.7. Transmission Electron Microscopy (TEM)
4.8. Intracellular Metabolite Extraction
4.9. UHPLC-MS Analysis
4.10. Data Analysis and Metabolite Identification
5. Conclusions
Author Contributions
Funding
Institutional Review Board Statement
Informed Consent Statement
Data Availability Statement
Conflicts of Interest
References
- Akram, M.; Iqbal, M.; Daniyal, M.; Khan, A.U. Awareness and current knowledge of breast cancer. Biol. Res. 2017, 50, 33. [Google Scholar] [CrossRef] [PubMed]
- Nounou, M.I.; ElAmrawy, F.; Ahmed, N.; Abdelraouf, K.; Goda, S.; Syed-Sha-Qhattal, H. Breast Cancer: Conventional Diagnosis and Treatment Modalities and Recent Patents and Technologies. Breast Cancer Auckl. 2015, 9, 17–34. [Google Scholar] [CrossRef] [PubMed]
- Dhankhar, R.; Vyas, S.P.; Jain, A.K.; Arora, S.; Rath, G.; Goyal, A.K. Advances in novel drug delivery strategies for breast cancer therapy. Artif. Cells. Blood Substit. Immobil. Biotechnol. 2010, 38, 230–249. [Google Scholar] [CrossRef] [PubMed]
- Chidambaram, M.; Manavalan, R.; Kathiresan, K. Nanotherapeutics to overcome conventional cancer chemotherapy limitations. J. Pharm. Pharm. Sci. 2011, 14, 67–77. [Google Scholar] [CrossRef] [PubMed]
- Liu, C.G.; Han, Y.H.; Kankala, R.K.; Wang, S.B.; Chen, A.Z. Subcellular Performance of Nanoparticles in Cancer Therapy. Int. J. Nanomed. 2020, 15, 675–704. [Google Scholar] [CrossRef] [PubMed]
- He, Z.; Zhang, Y.; Khan, A.R.; Ji, J.; Yu, A.; Zhai, G. A novel progress of drug delivery system for organelle targeting in tumour cells. J. Drug Target. 2021, 29, 12–28. [Google Scholar] [CrossRef] [PubMed]
- Gao, P.; Pan, W.; Li, N.; Tang, B. Boosting Cancer Therapy with Organelle-Targeted Nanomaterials. ACS Appl. Mater. Interfaces 2019, 11, 26529–26558. [Google Scholar] [CrossRef]
- Xu, Z.; Chen, X.; Sun, Z.; Li, C.; Jiang, B. Recent progress on mitochondrial targeted cancer therapy based on inorganic nanomaterials. Mater. Today Chem. 2019, 12, 240–260. [Google Scholar] [CrossRef]
- Jeena, M.T.; Kim, S.; Jin, S.; Ryu, J.H. Recent Progress in Mitochondria-Targeted Drug and Drug-Free Agents for Cancer Therapy. Cancers 2019, 12, 4. [Google Scholar] [CrossRef] [PubMed]
- Yu, H.; Ning, N.; Meng, X.; Chittasupho, C.; Jiang, L.; Zhao, Y. Sequential Drug Delivery in Targeted Cancer Therapy. Pharmaceutics 2022, 14, 573. [Google Scholar] [CrossRef]
- Han, M.; Vakili, M.R.; Soleymani Abyaneh, H.; Molavi, O.; Lai, R.; Lavasanifar, A. Mitochondrial delivery of doxorubicin via triphenylphosphine modification for overcoming drug resistance in MDA-MB-435/DOX cells. Mol. Pharm. 2014, 11, 2640–2649. [Google Scholar] [CrossRef] [PubMed]
- Sena Ozbay, H.; Yabanoglu-Ciftci, S.; Baysal, I.; Gultekinoglu, M.; Can Eylem, C.; Ulubayram, K.; Nemutlu, E.; Topaloglu, R.; Ozaltin, F. Mitochondria-targeted CoQ10 loaded PLGA-b-PEG-TPP nanoparticles: Their effects on mitochondrial functions of COQ8B−/− HK-2 cells. Eur. J. Pharm. Biopharm. 2022, 173, 22–33. [Google Scholar] [CrossRef]
- Reddy, C.A.; Somepalli, V.; Golakoti, T.; Kanugula, A.K.; Karnewar, S.; Rajendiran, K.; Vasagiri, N.; Prabhakar, S.; Kuppusamy, P.; Kotamraju, S.; et al. Mitochondrial-targeted curcuminoids: A strategy to enhance bioavailability and anticancer efficacy of curcumin. PLoS ONE 2014, 9, e89351. [Google Scholar] [CrossRef]
- Jiang, Z.; Chen, K.; Cheng, L.; Yan, B.; Qian, W.; Cao, J.; Li, J.; Wu, E.; Ma, Q.; Yang, W. Resveratrol and cancer treatment: Updates. Ann. N. Y. Acad. Sci. 2017, 1403, 59–69. [Google Scholar] [CrossRef] [PubMed]
- Juan, M.E.; Wenzel, U.; Daniel, H.; Planas, J.M. Resveratrol induces apoptosis through ROS-dependent mitochondria pathway in HT-29 human colorectal carcinoma cells. J. Agric. Food Chem. 2008, 56, 4813–4818. [Google Scholar] [CrossRef]
- Biasutto, L.; Mattarei, A.; Marotta, E.; Bradaschia, A.; Sassi, N.; Garbisa, S.; Zoratti, M.; Paradisi, C. Development of mitochondria-targeted derivatives of resveratrol. Bioorg. Med. Chem. Lett. 2008, 18, 5594–5597. [Google Scholar] [CrossRef] [PubMed]
- Beger, R.D. A review of applications of metabolomics in cancer. Metabolites 2013, 3, 552–574. [Google Scholar] [CrossRef] [PubMed]
- Dahabiyeh, L.A.; Mahmoud, N.N.; Al-Natour, M.A.; Safo, L.; Kim, D.H.; Khalil, E.A.; Abu-Dahab, R. Phospholipid-Gold Nanorods Induce Energy Crisis in MCF-7 Cells: Cytotoxicity Evaluation Using LC-MS-Based Metabolomics Approach. Biomolecules 2021, 11, 364. [Google Scholar] [CrossRef] [PubMed]
- Hou, L.; Guan, S.; Jin, Y.; Sun, W.; Wang, Q.; Du, Y.; Zhang, R. Cell metabolomics to study the cytotoxicity of carbon black nanoparticles on A549 cells using UHPLC-Q/TOF-MS and multivariate data analysis. Sci. Total Environ. 2020, 698, 134122. [Google Scholar] [CrossRef] [PubMed]
- Lindeque, J.Z.; Matthyser, A.; Mason, S.; Louw, R.; Taute, C.J.F. Metabolomics reveals the depletion of intracellular metabolites in HepG2 cells after treatment with gold nanoparticles. Nanotoxicology 2018, 12, 251–262. [Google Scholar] [CrossRef] [PubMed]
- Sun, H.; Zhang, A.H.; Liu, S.B.; Qiu, S.; Li, X.N.; Zhang, T.L.; Liu, L.; Wang, X.J. Cell metabolomics identify regulatory pathways and targets of magnoline against prostate cancer. J. Chromatogr. B Analyt. Technol. Biomed. Life Sci. 2018, 1102–1103, 143–151. [Google Scholar] [CrossRef]
- Lee, K.M.; Jeon, J.Y.; Lee, B.J.; Lee, H.; Choi, H.K. Application of Metabolomics to Quality Control of Natural Product Derived Medicines. Biomol. Ther. 2017, 25, 559–568. [Google Scholar] [CrossRef]
- Crowley, L.C.; Marfell, B.J.; Scott, A.P.; Waterhouse, N.J. Quantitation of Apoptosis and Necrosis by Annexin V Binding, Propidium Iodide Uptake, and Flow Cytometry. Cold Spring Harb. Protoc. 2016, 2016, pdb.prot087288. [Google Scholar] [CrossRef] [PubMed]
- Rao, G.; Sui, J.; Zhang, J. Metabolomics reveals significant variations in metabolites and correlations regarding the maturation of walnuts (Juglans regia L.). Biol. Open 2016, 5, 829–836. [Google Scholar] [CrossRef]
- Wu, H.; Chen, L.; Zhu, F.; Han, X.; Sun, L.; Chen, K. The Cytotoxicity Effect of Resveratrol: Cell Cycle Arrest and Induced Apoptosis of Breast Cancer 4T1 Cells. Toxins 2019, 11, 731. [Google Scholar] [CrossRef]
- Chin, Y.T.; Hsieh, M.T.; Yang, S.H.; Tsai, P.W.; Wang, S.H.; Wang, C.C.; Lee, Y.S.; Cheng, G.Y.; HuangFu, W.C.; London, D.; et al. Anti-proliferative and gene expression actions of resveratrol in breast cancer cells in vitro. Oncotarget 2014, 5, 12891–12907. [Google Scholar] [CrossRef]
- Cho, H.; Cho, Y.Y.; Shim, M.S.; Lee, J.Y.; Lee, H.S.; Kang, H.C. Mitochondria-targeted drug delivery in cancers. Biochim. Biophys. Acta Mol. Basis Dis. 2020, 1866, 165808. [Google Scholar] [CrossRef]
- Abate, M.; Festa, A.; Falco, M.; Lombardi, A.; Luce, A.; Grimaldi, A.; Zappavigna, S.; Sperlongano, P.; Irace, C.; Caraglia, M.; et al. Mitochondria as playmakers of apoptosis, autophagy and senescence. Semin. Cell Dev. Biol. 2020, 98, 139–153. [Google Scholar] [CrossRef]
- Picca, A.; Calvani, R.; Coelho-Junior, H.J.; Marzetti, E. Cell Death and Inflammation: The Role of Mitochondria in Health and Disease. Cells 2021, 10, 537. [Google Scholar] [CrossRef]
- Gibellini, L.; Moro, L. Programmed Cell Death in Health and Disease. Cells 2021, 10, 1765. [Google Scholar] [CrossRef]
- Yang, M.F.; Yao, X.; Chen, L.M.; Gu, J.Y.; Yang, Z.H.; Chen, H.F.; Zheng, X.; Zheng, Z.T. Synthesis and biological evaluation of resveratrol derivatives with anti-breast cancer activity. Arch. Pharm. 2020, 353, e2000044. [Google Scholar] [CrossRef] [PubMed]
- Bartolacci, C.; Andreani, C.; Amici, A.; Marchini, C. Walking a Tightrope: A Perspective of Resveratrol Effects on Breast Cancer. Curr. Protein Pept. Sci. 2018, 19, 311–322. [Google Scholar] [CrossRef] [PubMed]
- Brittes, J.; Lucio, M.; Nunes, C.; Lima, J.L.; Reis, S. Effects of resveratrol on membrane biophysical properties: Relevance for its pharmacological effects. Chem. Phys. Lipids 2010, 163, 747–754. [Google Scholar] [CrossRef] [PubMed]
- Chen, Z.; Wang, C.; Lin, C.; Zhang, L.; Zheng, H.; Zhou, Y.; Li, X.; Li, C.; Zhang, X.; Yang, X.; et al. Lipidomic Alterations and PPARalpha Activation Induced by Resveratrol Lead to Reduction in Lesion Size in Endometriosis Models. Oxid. Med. Cell Longev. 2021, 2021, 9979953. [Google Scholar] [CrossRef]
- Gomes, L.; Viana, L.; Silva, J.L.; Mermelstein, C.; Atella, G.; Fialho, E. Resveratrol Modifies Lipid Composition of Two Cancer Cell Lines. Biomed Res. Int. 2020, 2020, 5393041. [Google Scholar] [CrossRef]
- Fuchs, B.; Schiller, J.; Cross, M.A. Apoptosis-associated changes in the glycerophospholipid composition of hematopoietic progenitor cells monitored by 31P NMR spectroscopy and MALDI-TOF mass spectrometry. Chem. Phys. Lipids 2007, 150, 229–238. [Google Scholar] [CrossRef]
- Zielonka, J.; Joseph, J.; Sikora, A.; Hardy, M.; Ouari, O.; Vasquez-Vivar, J.; Cheng, G.; Lopez, M.; Kalyanaraman, B. Mitochondria-Targeted Triphenylphosphonium-Based Compounds: Syntheses, Mechanisms of Action, and Therapeutic and Diagnostic Applications. Chem. Rev. 2017, 117, 10043–10120. [Google Scholar] [CrossRef] [PubMed]
- Mallick, A.; More, P.; Ghosh, S.; Chippalkatti, R.; Chopade, B.A.; Lahiri, M.; Basu, S. Dual drug conjugated nanoparticle for simultaneous targeting of mitochondria and nucleus in cancer cells. ACS Appl. Mater. Interfaces 2015, 7, 7584–7598. [Google Scholar] [CrossRef]
- Kang, J.H.; Ko, Y.T. Enhanced Subcellular Trafficking of Resveratrol Using Mitochondriotropic Liposomes in Cancer Cells. Pharmaceutics 2019, 11, 423. [Google Scholar] [CrossRef]
- Lukey, M.J.; Katt, W.P.; Cerione, R.A. Targeting amino acid metabolism for cancer therapy. Drug Discov. Today 2017, 22, 796–804. [Google Scholar] [CrossRef] [PubMed]
- Pita, A.M.; Fernandez-Bustos, A.; Rodes, M.; Arranz, J.A.; Fisac, C.; Virgili, N.; Soler, J.; Wakabayashi, Y. Orotic aciduria and plasma urea cycle-related amino acid alterations in short bowel syndrome, evoked by an arginine-free diet. J. Parenter. Enter. Nutr. 2004, 28, 315–323. [Google Scholar] [CrossRef] [PubMed]
- Sivashanmugam, M.; Jaidev, J.; Umashankar, V.; Sulochana, K.N. Ornithine and its role in metabolic diseases: An appraisal. Biomed. Pharmacother. 2017, 86, 185–194. [Google Scholar] [CrossRef]
- Engskog, M.K.; Ersson, L.; Haglof, J.; Arvidsson, T.; Pettersson, C.; Brittebo, E. beta-N-Methylamino-L-alanine (BMAA) perturbs alanine, aspartate and glutamate metabolism pathways in human neuroblastoma cells as determined by metabolic profiling. Amino Acids 2017, 49, 905–919. [Google Scholar] [CrossRef]
- Biswas, S.; Dodwadkar, N.S.; Piroyan, A.; Torchilin, V.P. Surface conjugation of triphenylphosphonium to target poly(amidoamine) dendrimers to mitochondria. Biomaterials 2012, 33, 4773–4782. [Google Scholar] [CrossRef]
- Xiao, W.; Wang, R.S.; Handy, D.E.; Loscalzo, J. NAD(H) and NADP(H) Redox Couples and Cellular Energy Metabolism. Antioxid. Redox Signal. 2018, 28, 251–272. [Google Scholar] [CrossRef] [PubMed]
- Lu, Z.; Li, S.; Aa, N.; Zhang, Y.; Zhang, R.; Xu, C.; Zhang, S.; Kong, X.; Wang, G.; Aa, J.; et al. Quantitative analysis of 20 purine and pyrimidine metabolites by HILIC-MS/MS in the serum and hippocampus of depressed mice. J. Pharm. Biomed. Anal. 2022, 219, 114886. [Google Scholar] [CrossRef] [PubMed]
- Xu, J.; Chmela, V.; Green, N.J.; Russell, D.A.; Janicki, M.J.; Gora, R.W.; Szabla, R.; Bond, A.D.; Sutherland, J.D. Selective prebiotic formation of RNA pyrimidine and DNA purine nucleosides. Nature 2020, 582, 60–66. [Google Scholar] [CrossRef] [PubMed]
- Oizel, K.; Tait-Mulder, J.; Fernandez-de-Cossio-Diaz, J.; Pietzke, M.; Brunton, H.; Lilla, S.; Dhayade, S.; Athineos, D.; Blanco, G.R.; Sumpton, D.; et al. Formate induces a metabolic switch in nucleotide and energy metabolism. Cell Death Dis. 2020, 11, 310. [Google Scholar] [CrossRef] [PubMed]
- Burnstock, G. Introduction to Purinergic Signaling. Methods Mol. Biol. 2020, 2041, 1–15. [Google Scholar] [CrossRef] [PubMed]
- Leal-Esteban, L.C.; Fajas, L. Cell cycle regulators in cancer cell metabolism. Biochim. Biophys. Acta Mol. Basis Dis. 2020, 1866, 165715. [Google Scholar] [CrossRef]
- Cai, A.; Zheng, H.; Chen, Z.; Lin, X.; Li, C.; Yao, Q.; Bhutia, Y.D.; Ganapathy, V.; Chen, R.; Kou, L. Synergism between SLC6A14 blockade and gemcitabine in pancreactic cancer: A 1H-NMR-based metabolomic study in pancreatic cancer cells. Biochem. J. 2020, 477, 1923–1937. [Google Scholar] [CrossRef] [PubMed]
- Dai, W.; Xie, D.; Lu, M.; Li, P.; Lv, H.; Yang, C.; Peng, Q.; Zhu, Y.; Guo, L.; Zhang, Y.; et al. Characterization of white tea metabolome: Comparison against green and black tea by a nontargeted metabolomics approach. Food Res. Int. 2017, 96, 40–45. [Google Scholar] [CrossRef] [PubMed]










| Metabolites | m/z | RT 1 (min) | Formula | Trend |
|---|---|---|---|---|
| LPC 2 12:0 | 440.276 | 7.246 | C20H42NO7P | Up |
| LPC 14:0 | 512.300 | 8.299 | C22H46NO7P | Up |
| LPC 15:0 | 482.324 | 8.738 | C23H48NO7P | Up |
| LPC 16:0 | 540.331 | 9.187 | C24H50NO7P | Up |
| LPC 16:1 | 538.316 | 8.550 | C24H48NO7P | Up |
| LPC 17:1 | 552.331 | 8.971 | C25H50NO7P | Up |
| LPC 18:0 | 568.362 | 10.058 | C26H54NO7P | Up |
| LPC 18:1 | 566.347 | 9.174 | C26H52NO7P | Up |
| LPC 18:2 | 564.331 | 8.844 | C26H50NO7P | Up |
| LPC 20:3 | 590.347 | 9.152 | C28H52NO7P | Up |
| LPC 20:5 | 586.316 | 8.285 | C28H48NO7P | Up |
| LPC 22:6 | 612.332 | 8.709 | C30H50NO7P | Up |
| LPE 3 14:0 | 426.261 | 8.184 | C19H40NO7P | Up |
| LPE 16:0 | 452.279 | 9.052 | C21H44NO7P | Up |
| LPE 16:1 | 450.263 | 8.434 | C21H42NO7P | Up |
| LPE 17:0 | 468.308 | 9.452 | C22H46NO7P | Up |
| LPE 18:0 | 480.310 | 9.857 | C23H48NO7P | Up |
| LPE 18:1 | 480.308 | 9.265 | C23H46NO7P | Up |
| LPE 18:2 | 478.292 | 8.713 | C23H44NO7P | Up |
| Lysopc 18:2 | 520.342 | 9.01 | C26H50NO7P | Up |
| Metabolic Pathways | Metabolites | Superclass | m/z | RT 1 (min) | Formula | Trend |
|---|---|---|---|---|---|---|
| Pentose phosphate pathway | d-Ribulose 5-phosphate | Organic oxygen compounds | 229.012 | 1.207 | C5H11O8P | Up |
| 6-Phospho-d-gluconate | Organic oxygen compounds | 275.017 | 1.661 | C6H13O10P | Up | |
| TCA 2 cycle | Succinic acid | Organic acids and derivatives | 117.019 | 2.402 | C4H6O4 | Down |
| cis-Aconitic acid | Organic acids and derivatives | 173.009 | 2.642 | C6H6O6 | Down | |
| Fumaric acid | Organic acids and derivatives | 115.003 | 2.316 | C4H4O4 | Down | |
| Citric acid | Organic acids and derivatives | 191.019 | 1.923 | C6H8O7 | Down | |
| Malic acid | Organic acids and derivatives | 133.014 | 1.504 | C4H6O5 | Down | |
| Alanine, aspartate, and glutamate metabolism | n-Acetyl-aspartic acid | Organic acids and derivatives | 176.055 | 1.788 | C6H9NO5 | Down |
| l-Aspartic acid | Organic acids and derivatives | 134.045 | 1.313 | C4H7NO4 | Down | |
| Asparagine | Organic acids and derivatives | 133.061 | 1.378 | C4H8N2O3 | Down | |
| l-Argininosuccinate | Organic acids and derivatives | 289.115 | 1.336 | C10H18N4O6 | Down | |
| Adenylosuccinic acid | Nucleosides, nucleotides, and analogues | 462.068 | 4.797 | C14H18N5O11P | Down | |
| l-Glutamic acid | Organic acids and derivatives | 148.060 | 1.312 | C5H9NO4 | Down | |
| γ- Aminobutyric acid (GABA) | Organic acids and derivatives | 102.056 | 1.373 | C4H9NO2 | Down | |
| l-Glutamine | Organic acids and derivatives | 147.076 | 1.378 | C5H10N2O3 | Down | |
| Arginine biosynthesis | Ornithine | Organic acids and derivatives | 133.097 | 1.139 | C5H12N2O2 | Up |
| n-Acetylglutamic acid | Organic acids and derivatives | 190.071 | 2.249 | C7H11NO5 | Down | |
| Arginine and proline metabolism | Creatine | Organic acids and derivatives | 132.077 | 1.363 | C4H9N3O2 | Down |
| S-Adenosylmethionine | Nucleosides, nucleotides, and analogues | 399.144 | 1.375 | C15H22N6O5S | Down | |
| Spermidine | Organic nitrogen compounds | 146.165 | 1.005 | C7H19N3 | Down | |
| Spermine | Organic nitrogen compounds | 203.223 | 1.239 | C10H26N4 | Down | |
| d-Proline | Organic acids and derivatives | 116.070 | 1.567 | C5H9NO2 | Down | |
| 4-Guanidinobutanoic acid | Organic acids and derivatives | 146.092 | 1.599 | C5H11N3O2 | Down | |
| Purine metabolism | Guanosine 5′-diphosphate (GDP) | Nucleosides, nucleotides, and analogues | 442.018 | 1.953 | C10H15N5O11P2 | Down |
| Xanthine | Organoheterocyclic compounds | 151.027 | 2.172 | C5H4N4O2 | Up | |
| Adenosine 3′5′-cyclic monophosphate | Nucleosides, nucleotides, and analogues | 330.059 | 3.432 | C10H12N5O6P | Down | |
| Adenosine diphosphate (ADP) | Nucleosides, nucleotides, and analogues | 426.022 | 2.168 | C10H15N5O10P2 | Down | |
| Adenosine 5′-monophosphate (AMP) | Nucleosides, nucleotides, and analogues | 346.056 | 1.596 | C10H14N5O7P | Down | |
| Inosine-5′-monophosphate (IMP) | Nucleosides, nucleotides, and analogues | 347.040 | 1.623 | C10H13N4O8P | Down | |
| Deoxyinosine | Nucleosides, nucleotides, and analogues | 253.092 | 3.674 | C10H12N4O4 | Up | |
| Guanosine monophosphate (GMP) | Organoheterocyclic compounds | 362.051 | 1.572 | C10H14N5O8P | Down | |
| Inosine | Nucleosides, nucleotides, and analogues | 267.074 | 3.082 | C10H12N4O5 | Down | |
| Guanine | Organoheterocyclic compounds | 152.057 | 4.753 | C5H5N5O | Up | |
| Deoxyguanosine | Nucleosides, nucleotides, and analogues | 266.090 | 3.665 | C10H13N5O4 | Up | |
| Guanosine | Nucleosides, nucleotides, and analogues | 282.085 | 3.048 | C10H13N5O5 | Up | |
| Adenine | Organoheterocyclic compounds | 136.062 | 2.729 | C5H5N5 | Down | |
| Pyrimidine metabolism | Uridine diphosphate (UDP) | Nucleosides, nucleotides, and analogues | 405.009 | 1.537 | C9H14N2O12P2 | Down |
| Uridine monophosphate (UMP) | Nucleosides, nucleotides, and analogues | 325.043 | 2 | C9H13N2O9P | Up | |
| Uridine | Nucleosides, nucleotides, and analogues | 243.062 | 2.171 | C9H12N2O6 | Down | |
| Cytidine-5′-diphosphate (CDP) | Nucleosides, nucleotides, and analogues | 402.011 | 1.639 | C9H15N3O11P2 | Down | |
| Cytidine-5′-monophosphate (CMP) | Nucleosides, nucleotides, and analogues | 322.045 | 1.653 | C9H14N3O8P | Up | |
| Cytidine | Nucleosides, nucleotides, and analogues | 242.080 | 1.369 | C9H13N3O5 | Down | |
| dCDP | Nucleosides, nucleotides, and analogues | 386.017 | 1.731 | C9H15N3O10P2 | Down | |
| dCMP | Nucleosides, nucleotides, and analogues | 308.063 | 1.386 | C9H14N3O7P | Down | |
| Uracil | Organoheterocyclic compounds | 111.020 | 1.764 | C4H4N2O2 | Up | |
| Nicotinate and nicotinamide metabolism | Nicotinamide adenine dinucleotide (NAD) | Nucleosides, nucleotides, and analogues | 662.102 | 1.917 | C21H27N7O14P2 | Down |
| Nicotinamide | Organoheterocyclic compounds | 123.055 | 1.587 | C6H6N2O | Down | |
| 1-Methylnicotinamide | Organoheterocyclic compounds | 137.070 | 1.556 | C7H8N2O | Down | |
| Nicotinamide adenine dinucleotide phosphate (NADP) | Nucleosides, nucleotides, and analogues | 742.069 | 1.988 | C21H28N7O17 P3 | Down |
Publisher’s Note: MDPI stays neutral with regard to jurisdictional claims in published maps and institutional affiliations. |
© 2022 by the authors. Licensee MDPI, Basel, Switzerland. This article is an open access article distributed under the terms and conditions of the Creative Commons Attribution (CC BY) license (https://creativecommons.org/licenses/by/4.0/).
Share and Cite
Jiang, L.; Yu, H.; Wang, C.; He, F.; Shi, Z.; Tu, H.; Ning, N.; Duan, S.; Zhao, Y. The Anti-Cancer Effects of Mitochondrial-Targeted Triphenylphosphonium–Resveratrol Conjugate on Breast Cancer Cells. Pharmaceuticals 2022, 15, 1271. https://doi.org/10.3390/ph15101271
Jiang L, Yu H, Wang C, He F, Shi Z, Tu H, Ning N, Duan S, Zhao Y. The Anti-Cancer Effects of Mitochondrial-Targeted Triphenylphosphonium–Resveratrol Conjugate on Breast Cancer Cells. Pharmaceuticals. 2022; 15(10):1271. https://doi.org/10.3390/ph15101271
Chicago/Turabian StyleJiang, Lingling, Han Yu, Chenwei Wang, Fujin He, Zhongqi Shi, Haohong Tu, Na Ning, Shaofeng Duan, and Yunqi Zhao. 2022. "The Anti-Cancer Effects of Mitochondrial-Targeted Triphenylphosphonium–Resveratrol Conjugate on Breast Cancer Cells" Pharmaceuticals 15, no. 10: 1271. https://doi.org/10.3390/ph15101271
APA StyleJiang, L., Yu, H., Wang, C., He, F., Shi, Z., Tu, H., Ning, N., Duan, S., & Zhao, Y. (2022). The Anti-Cancer Effects of Mitochondrial-Targeted Triphenylphosphonium–Resveratrol Conjugate on Breast Cancer Cells. Pharmaceuticals, 15(10), 1271. https://doi.org/10.3390/ph15101271

