Radiosynthesis and Preclinical Evaluation of an 18F-Labeled Triazolopyridopyrazine-Based Inhibitor for Neuroimaging of the Phosphodiesterase 2A (PDE2A)
Abstract
1. Introduction
2. Results and Discussion
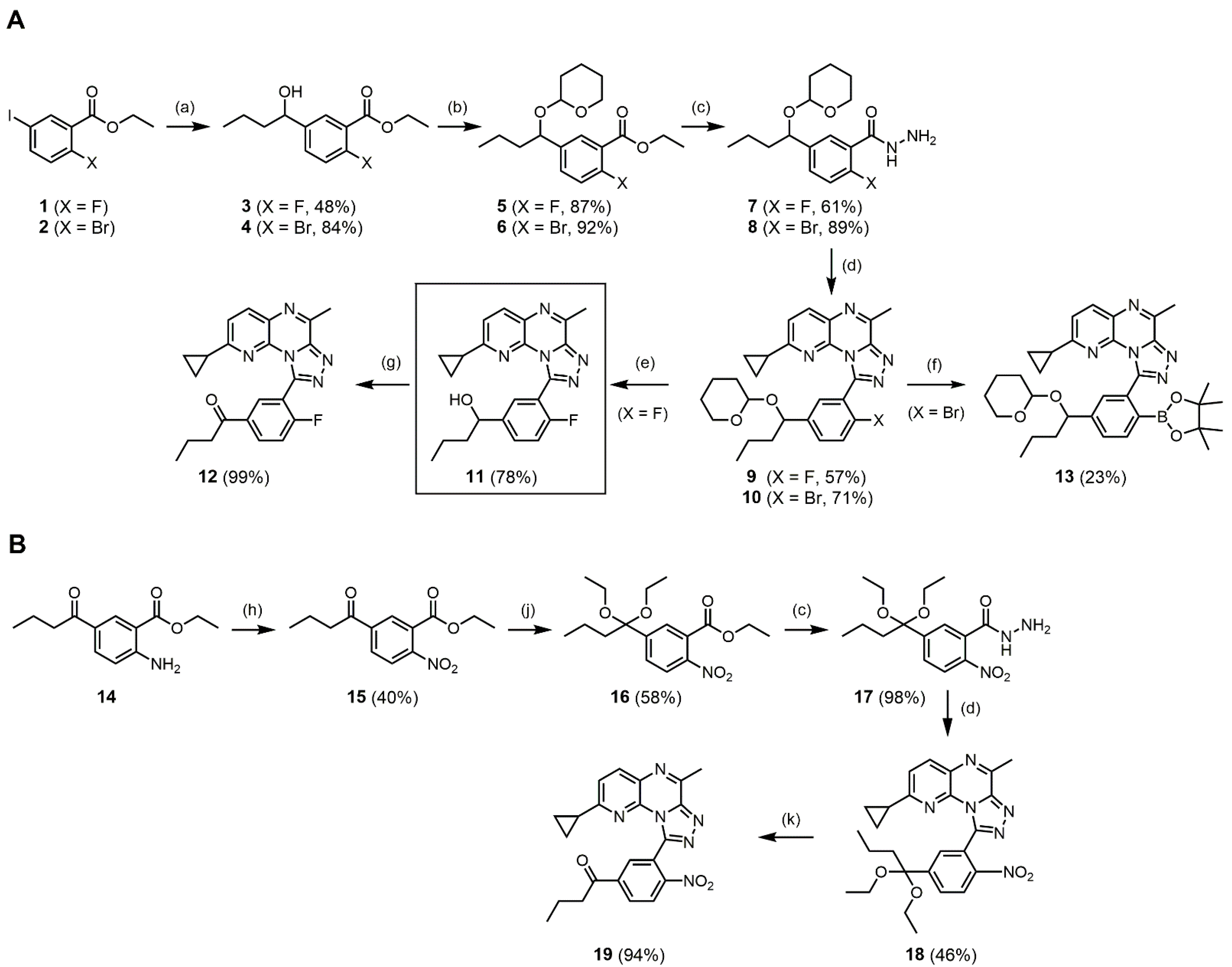
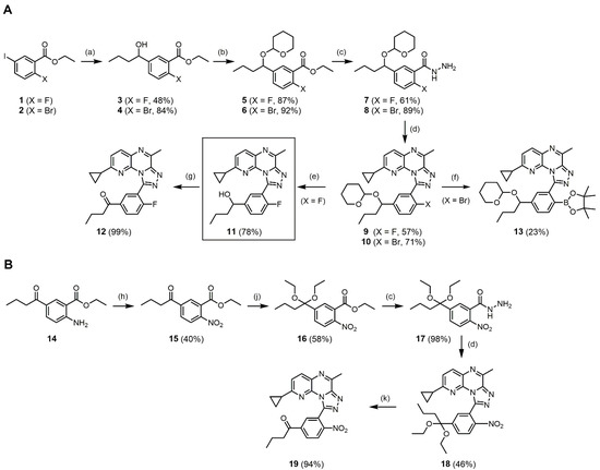
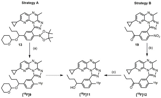
2.1. Organic Syntheses of the New Inhibitor 11 and the Precursor Compounds 13 and 19
2.2. Radiosyntheses
2.2.1. Copper-Mediated Radiofluorination Experiments-Strategy A
2.2.2. Aromatic Nucleophilic Substitution Reactions-Strategy B
2.2.3. Automated Radiosynthesis of [18F]11
2.3. Biological Evaluation
2.3.1. In Vitro Autoradiography with Rat Brain Cryosections
2.3.2. Metabolism of [18F]11 in CD-1 Mice and SPRD Rats
2.3.3. Biodistribution and Central Nervous System Penetration Study in CD-1 Mice and SPRD Rats
3. Materials and Methods
3.1. Organic Chemistry
3.1.1. General
3.1.2. Syntheses
General Procedure 1 (GP1)
Ethyl 2-fluoro-5-(1-hydroxybutyl)benzoate 3
Ethyl 2-bromo-5-(1-hydroxybutyl)benzoate 4
General Procedure 2 (GP2)
Ethyl 2-fluoro-5-(1-[(tetrahydro-2H-pyran-2-yl)oxy]butyl)benzoate 5
Ethyl 2-bromo-5-(1-[(tetrahydro-2H-pyran-2-yl)oxy]butyl)benzoate 6
General Procedure 3 (GP3)
2-Fluoro-5-(1-[(tetrahydro-2H-pyran-2-yl)oxy]butyl)benzohydrazide 7
2-Bromo-5-(1-[(tetrahydro-2H-pyran-2-yl)oxy]butyl)benzohydrazide 8
General Procedure 4 (GP4)
2-Cyclopropyl-9-(2-fluoro-5-(1-[(tetrahydro-2H-pyran-2-yl)oxy]butyl)phenyl)-6-methylpyrido[3,2-e][1,2,4]triazolo[4,3-a]pyrazine 9
9-(2-Bromo-5-(1-[(tetrahydro-2H-pyran-2-yl)oxy]butyl)phenyl)-2-cyclopropyl-6-methylpyrido[3,2-e][1,2,4]triazolo[4,3-a]pyrazine 10
1-[3-(2-Cyclopropyl-6-methylpyrido[3,2-e][1,2,4]triazolo[4,3-a]pyrazin-9-yl)-4-fluorophenyl]butan-1-ol 11
1-[3-(2-Cyclopropyl-6-methylpyrido[3,2-e][1,2,4]triazolo[4,3-a]pyrazin-9-yl)-4-fluorophenyl]butan-1-one 12
2-Cyclopropyl-6-methyl-9-(5-(1-[(tetrahydro-2H-pyran-2-yl)oxy]butyl)-2-(4,4,5,5-tetramethyl-1,3,2-dioxaborolan-2-yl)phenyl)pyrido[3,2-e][1,2,4]triazolo[4,3-a]pyrazine 13
Ethyl 5-butyryl-2-nitrobenzoate 15
Ethyl 5-(1,1-diethoxybutyl)-2-nitrobenzoate 16
5-(1,1-Diethoxybutyl)-2-nitrobenzohydrazide 17
2-Cyclopropyl-9-[5-(1,1-diethoxybutyl)-2-nitrophenyl]-6-methylpyrido[3,2-e][1,2,4]triazolo[4,3-a]pyrazine 18
1-[3-(2-Cyclopropyl-6-methylpyrido[3,2-e][1,2,4]triazolo[4,3-a]pyrazin-9-yl)-4-nitrophenyl]butan-1-one 19
3.2. Radiochemistry
3.2.1. General
3.2.2. Manual Copper-Mediated Radiofluorination Experiments
(a) Experiments with Azeotropic Drying
(b) Experiments without Azeotropic Drying
3.2.3. Manual Aromatic Nucleophilic Substitution Reactions Experiments
3.2.4. Automated Radiosynthesis of [18F]11
3.2.5. Determination of Stability and logD Value
3.3. Biology
3.3.1. In Vitro Autoradiography
3.3.2. Metabolite Studies
3.3.3. In Vivo PET Studies in CD-1 Mice and SPRD Rats
4. Conclusions
Supplementary Materials
Author Contributions
Funding
Institutional Review Board Statement
Informed Consent Statement
Data Availability Statement
Acknowledgments
Conflicts of Interest
References
- Baillie, G.S.; Tejeda, G.S.; Kelly, M.P. Therapeutic targeting of 3’,5’-cyclic nucleotide phosphodiesterases: Inhibition and beyond. Nat. Rev. Drug Discov. 2019, 18, 770–796. [Google Scholar] [CrossRef] [PubMed]
- Iffland, A.; Kohls, D.; Low, S.; Luan, J.; Zhang, Y.; Kothe, M.; Cao, Q.; Kamath, A.V.; Ding, Y.H.; Ellenberger, T. Structural determinants for inhibitor specificity and selectivity in PDE2A using the wheat germ in vitro translation system. Biochemistry 2005, 44, 8312–8325. [Google Scholar] [CrossRef] [PubMed]
- Sadek, M.S.; Cachorro, E.; El-Armouche, A.; Kammerer, S. Therapeutic Implications for PDE2 and cGMP/cAMP Mediated Crosstalk in Cardiovascular Diseases. Int. J. Mol. Sci. 2020, 21, 7462. [Google Scholar] [CrossRef] [PubMed]
- Martinez, S.E. PDE2 Structure and Functions in: Cyclic nucleotide phosphodiesterases in health and Disease. CRC Press: Boca Raton, FL, USA, 2007. [Google Scholar]
- Brisch, R.; Saniotis, A.; Wolf, R.; Bielau, H.; Bernstein, H.G.; Steiner, J.; Bogerts, B.; Braun, K.; Jankowski, Z.; Kumaratilake, J.; et al. The role of dopamine in schizophrenia from a neurobiological and evolutionary perspective: Old fashioned, but still in vogue. Front. Psychiatry 2014, 5, 47. [Google Scholar]
- Helal, C.J.; Arnold, E.; Boyden, T.; Chang, C.; Chappie, T.A.; Fisher, E.; Hajos, M.; Harms, J.F.; Hoffman, W.E.; Humphrey, J.M.; et al. Identification of a Potent, Highly Selective, and Brain Penetrant Phosphodiesterase 2A Inhibitor Clinical Candidate. J. Med. Chem. 2018, 61, 1001–1018. [Google Scholar] [CrossRef]
- Nakashima, M.; Imada, H.; Shiraishi, E.; Ito, Y.; Suzuki, N.; Miyamoto, M.; Taniguchi, T.; Iwashita, H. Phosphodiesterase 2A Inhibitor TAK-915 Ameliorates Cognitive Impairments and Social Withdrawal in N-Methyl-d-Aspartate Receptor Antagonist-Induced Rat Models of Schizophrenia. J. Pharmacol. Exp. Ther. 2018, 365, 179–188. [Google Scholar] [CrossRef]
- Fryknas, M.; Rickardson, L.; Wickstrom, M.; Dhar, S.; Lovborg, H.; Gullbo, J.; Nygren, P.; Gustafsson, M.G.; Isaksson, A.; Larsson, R. Phenotype-based screening of mechanistically annotated compounds in combination with gene expression and pathway analysis identifies candidate drug targets in a human squamous carcinoma cell model. J. Biomol. Screen 2006, 11, 457–468. [Google Scholar] [CrossRef][Green Version]
- Murata, T.; Shimizu, K.; Kurohara, K.; Tomeoku, A.; Koizumi, G.; Arai, N. Role of Phosphodiesterase2A in Proliferation and Migration of Human Osteosarcoma Cells. Anticancer Res. 2019, 39, 6057–6062. [Google Scholar] [CrossRef]
- Geranpayehvaghei, M.; Dabirmanesh, B.; Khaledi, M.; Atabakhshi-Kashi, M.; Gao, C.; Taleb, M.; Zhang, Y.; Khajeh, K.; Nie, G. Cancer-associated-platelet-inspired nanomedicines for cancer therapy. Wiley Interdiscip. Rev. Nanomed. Nanobiotechnol. 2021, 13, e1702. [Google Scholar] [CrossRef]
- He, J.; Zhao, H.; Deng, D.; Wang, Y.; Zhang, X.; Zhao, H.; Xu, Z. Screening of significant biomarkers related with prognosis of liver cancer by lncRNA-associated ceRNAs analysis. J. Cell Physiol. 2020, 235, 2464–2477. [Google Scholar] [CrossRef]
- Li, S.Z.; Ren, K.X.; Zhao, J.; Wu, S.; Li, J.; Zang, J.; Fei, Z.; Zhao, J.L. miR-139/PDE2A-Notch1 feedback circuit represses stemness of gliomas by inhibiting Wnt/beta-catenin signaling. Int. J. Biol. Sci. 2021, 17, 3508–3521. [Google Scholar] [CrossRef] [PubMed]
- Sun, J.; Xiao, Z.; Haider, A.; Gebhard, C.; Xu, H.; Luo, H.B.; Zhang, H.T.; Josephson, L.; Wang, L.; Liang, S.H. Advances in Cyclic Nucleotide Phosphodiesterase-Targeted PET Imaging and Drug Discovery. J. Med. Chem. 2021, 64, 7083–7109. [Google Scholar] [CrossRef]
- Schröder, S.; Scheunemann, M.; Wenzel, B.; Brust, P. Challenges on Cyclic Nucleotide Phosphodiesterases Imaging with Positron Emission Tomography: Novel Radioligands and (Pre-)Clinical Insights since 2016. Int. J. Mol. Sci. 2021, 22, 3832. [Google Scholar] [CrossRef] [PubMed]
- Chen, L.; Nabulsi, N.; Naganawa, M.; Zasadny, K.; Skaddan, M.B.; Zhang, L.; Najafzadeh, S.; Lin, S.F.; Helal, C.J.; Boyden, T.L.; et al. Preclinical Evaluation of [18F]PF-05270430, a Novel PET Radioligand for the Phosphodiesterase 2A Enzyme. J. Nucl. Med. 2016, 57, 1448–1453. [Google Scholar] [CrossRef] [PubMed]
- Naganawa, M.; Waterhouse, R.N.; Nabulsi, N.; Lin, S.F.; Labaree, D.; Ropchan, J.; Tarabar, S.; DeMartinis, N.; Ogden, A.; Banerjee, A.; et al. First-in-Human Assessment of the Novel PDE2A PET Radiotracer [18F]PF-05270430. J. Nucl. Med. 2016, 57, 1388–1395. [Google Scholar] [CrossRef] [PubMed]
- McCluskey, S.P.; Plisson, C.; Rabiner, E.A.; Howes, O. Advances in CNS PET: The state-of-the-art for new imaging targets for pathophysiology and drug development. Eur. J. Nucl. Med. Mol. Imaging 2020, 47, 451–489. [Google Scholar] [CrossRef]
- Schröder, S.; Wenzel, B.; Deuther-Conrad, W.; Teodoro, R.; Egerland, U.; Kranz, M.; Scheunemann, M.; Höfgen, N.; Steinbach, J.; Brust, P. Synthesis, 18F-radiolabelling and biological characterization of novel fluoroalkylated triazine derivatives for in vivo imaging of phosphodiesterase 2A in brain via positron emission tomography. Molecules 2015, 20, 9591–9615. [Google Scholar] [CrossRef]
- Ritawidya, R.; Ludwig, F.A.; Briel, D.; Brust, P.; Scheunemann, M. Synthesis and In Vitro Evaluation of 8-Pyridinyl-Substituted Benzo[e]imidazo[2,1-c][1,2,4]triazines as Phosphodiesterase 2A Inhibitors. Molecules 2019, 24, 2791. [Google Scholar] [CrossRef]
- Giovannini, R.; Bertani, B.; Frattini, S.; Di Antonio, G. 4-Methyl-2,3,5,9,9B-pentaaza-cyclopenta[a]naphthalenes. Patent WO 2014/019979, 6 February 2014. [Google Scholar]
- Rombouts, F.J.; Tresadern, G.; Buijnsters, P.; Langlois, X.; Tovar, F.; Steinbrecher, T.B.; Vanhoof, G.; Somers, M.; Andres, J.I.; Trabanco, A.A. Pyrido[4,3-e][1,2,4]triazolo[4,3-a]pyrazines as Selective, Brain Penetrant Phosphodiesterase 2 (PDE2) Inhibitors. ACS Med. Chem. Lett. 2015, 6, 282–286. [Google Scholar] [CrossRef]
- Jiang, M.Y.; Han, C.; Zhang, C.; Zhou, Q.; Zhang, B.; Le, M.L.; Huang, M.X.; Wu, Y.; Luo, H.B. Discovery of effective phosphodiesterase 2 inhibitors with antioxidant activities for the treatment of Alzheimer’s disease. Bioorg. Med. Chem. Lett. 2021, 41, 128016. [Google Scholar] [CrossRef]
- Fritzsche, S.R.; Scheunemann, M.; Wenzel, B.; Deuther-Conrad, W.; Brust, P.; Briel, D. Triazolopyridopyrazine-based Inhibitors of Phosphodiesterase 2A—Synthesis and SAR-Exploration“ Annual Meeting of the German Pharmaceutical Society—DPhG 2021, Poster. available from the corresponding authors on resonable request.
- Lakics, V.; Karran, E.H.; Boess, F.G. Quantitative comparison of phosphodiesterase mRNA distribution in human brain and peripheral tissues. Neuropharmacology 2010, 59, 367–374. [Google Scholar] [CrossRef] [PubMed]
- Unciti-Broceta, A.; Pineda-de-las-Infantas, M.J.; Diaz-Mochon, J.J.; Romagnoli, R.; Baraldi, P.G.; Gallo, M.A.; Espinosa, A. Regioselective one-pot synthesis of 9-alkyl-6-chloropyrido[3,2-e][1,2,4]triazolo-[4,3-a]pyrazines. Reactivity of aliphatic and aromatic hydrazides. J. Org. Chem. 2005, 70, 2878–2880. [Google Scholar] [CrossRef]
- Kosmrlj, J.; Kocevar, M.; Polanc, S. A mild approach to 1,3,4-oxadiazoles and fused 1,2,4-triazoles. Diazenes as intermediates? Synlett 1996, 7, 652. [Google Scholar] [CrossRef]
- Ishiyama, T.; Murata, M.; Miyaura, N. Palladium(O)-Catalyzed Cross-Coupling Reaction of Alkoxydiboron with Haloarenes—A Direct Procedure for Arylboronic Esters. J. Org. Chem. 1995, 60, 7508–7510. [Google Scholar] [CrossRef]
- Liu, Y.; Yao, B.; Deng, C.L.; Tang, R.Y.; Zhang, X.G.; Li, J.H. Palladium-Catalyzed Oxidative Coupling of Trialkylamines with Aryl Iodides Leading to Alkyl Aryl Ketones. Org. Lett. 2011, 13, 2184–2187. [Google Scholar] [CrossRef]
- Hahm, H.; Yoo, K.; Ha, H.; Kim, M. Aromatic Substituent Effects on the Flexibility of Metal-Organic Frameworks. Inorg. Chem. 2016, 55, 7576–7581. [Google Scholar] [CrossRef] [PubMed]
- Tredwell, M.; Preshlock, S.M.; Taylor, N.J.; Gruber, S.; Huiban, M.; Passchier, J.; Mercier, J.; Genicot, C.; Gouverneur, V. A general copper-mediated nucleophilic 18F-fluorination of arenes. Angew. Chem. Int. Ed. Engl. 2014, 53, 7751–7755. [Google Scholar] [CrossRef] [PubMed]
- Preshlock, S.; Calderwood, S.; Verhoog, S.; Tredwell, M.; Huiban, M.; Hienzsch, A.; Gruber, S.; Wilson, T.C.; Taylor, N.J.; Cailly, T.; et al. Enhanced copper-mediated 18F-fluorination of aryl boronic esters provides eight radiotracers for PET applications. Chem. Commun. 2016, 52, 8361–8364. [Google Scholar] [CrossRef]
- Zischler, J.; Kolks, N.; Modemann, D.; Neumaier, B.; Zlatopolskiy, B.D. Alcohol-Enhanced Cu-Mediated Radiofluorination. Chem. Eur. J. 2017, 23, 3251–3256. [Google Scholar] [CrossRef]
- Guibbal, F.; Isenegger, P.G.; Wilson, T.C.; Pacelli, A.; Mahaut, D.; Sap, J.B.I.; Taylor, N.J.; Verhoog, S.; Preshlock, S.; Hueting, R.; et al. Manual and automated Cu-mediated radiosynthesis of the PARP inhibitor [18F]olaparib. Nat. Protoc. 2020, 15, 1525–1541. [Google Scholar] [CrossRef]
- Antuganov, D.; Zykov, M.; Timofeev, V.; Timofeeva, K.; Antuganova, Y.; Orlovskaya, V.; Fedorova, O.; Krasikova, R. Copper-Mediated Radiofluorination of Aryl Pinacolboronate Esters: A Straightforward Protocol by Using Pyridinium Sulfonates. Eur. J. Org. Chem. 2019, 2019, 918–922. [Google Scholar] [CrossRef]
- Zhang, X.; Basuli, F.; Swenson, R.E. An azeotropic drying-free approach for copper-mediated radiofluorination without addition of base. J. Label. Compd. Radiopharm. 2019, 62, 139–145. [Google Scholar] [CrossRef] [PubMed]
- Dukic-Stefanovic, S.; Lai, T.H.; Toussaint, M.; Clauss, O.; Jevtic, I.; Penjisevic, J.Z.; Andric, D.; Ludwig, F.A.; Gündel, D.; Deuther-Conrad, W.; et al. In vitro and in vivo evaluation of fluorinated indanone derivatives as potential positron emission tomography agents for the imaging of monoamine oxidase B in the brain. Bioorg. Med. Chem. Lett. 2021, 48, 128254. [Google Scholar] [CrossRef] [PubMed]
- Moldovan, R.P.; Gündel, D.; Teodoro, R.; Ludwig, F.A.; Fischer, S.; Toussaint, M.; Schepmann, D.; Wünsch, B.; Brust, P.; Deuther-Conrad, W. Design, Radiosynthesis and Preliminary Biological Evaluation in Mice of a Brain-Penetrant 18F-Labelled sigma2 Receptor Ligand. Int. J. Mol. Sci. 2021, 22, 5447. [Google Scholar] [CrossRef]
- Tago, T.; Toyohara, J.; Ishii, K. Preclinical Evaluation of an 18F-Labeled SW-100 Derivative for PET Imaging of Histone Deacetylase 6 in the Brain. ACS Chem. Neurosci. 2021, 12, 746–755. [Google Scholar] [CrossRef] [PubMed]
- Taylor, N.J.; Emer, E.; Preshlock, S.; Schedler, M.; Tredwell, M.; Verhoog, S.; Mercier, J.; Genicot, C.; Gouverneur, V. Derisking the Cu-Mediated 18F-Fluorination of Heterocyclic Positron Emission Tomography Radioligands. J. Am. Chem. Soc. 2017, 139, 8267–8276. [Google Scholar] [CrossRef]
- Chen, Z.; Destro, G.; Guibbal, F.; Chan, C.Y.; Cornelissen, B.; Gouverneur, V. Copper-Mediated Radiosynthesis of [18F]Rucaparib. Org. Lett. 2021, 23, 7290–7294. [Google Scholar] [CrossRef]
- Stephenson, D.T.; Coskran, T.M.; Wilhelms, M.B.; Adamowicz, W.O.; O’Donnell, M.M.; Muravnick, K.B.; Menniti, F.S.; Kleiman, R.J.; Morton, D. Immunohistochemical localization of phosphodiesterase 2A in multiple mammalian species. J. Histochem. Cytochem. 2009, 57, 933–949. [Google Scholar] [CrossRef]
- Gu, G.; Scott, T.; Yan, Y.; Warren, N.; Zhang, A.; Tabatabaei, A.; Xu, H.; Aertgeerts, K.; Gomez, L.; Morse, A.; et al. Target Engagement of a Phosphodiesterase 2A Inhibitor Affecting Long-Term Memory in the Rat. J. Pharmacol. Exp. Ther. 2019, 370, 399–407. [Google Scholar] [CrossRef]
- Sjostedt, E.; Zhong, W.; Fagerberg, L.; Karlsson, M.; Mitsios, N.; Adori, C.; Oksvold, P.; Edfors, F.; Limiszewska, A.; Hikmet, F.; et al. An atlas of the protein-coding genes in the human, pig, and mouse brain. Science 2020, 367, 5947. [Google Scholar] [CrossRef]
- de Witte, W.E.A.; Wong, Y.C.; Nederpelt, I.; Heitman, L.H.; Danhof, M.; van der Graaf, P.H.; Gilissen, R.A.H.J.; de Lange, E.C.M. Mechanistic models enable the rational use of in vitro drug-target binding kinetics for better drug effects in patients. Expert Opin. Drug Disc. 2016, 11, 45–63. [Google Scholar] [CrossRef] [PubMed]
- Sadeghzadeh, M.; Moldovan, R.P.; Teodoro, R.; Brust, P.; Wenzel, B. One-step radiosynthesis of the MCTs imaging agent [18F]FACH by aliphatic 18F-labelling of a methylsulfonate precursor containing an unprotected carboxylic acid group. Sci. Rep. 2019, 9, 18890. [Google Scholar] [CrossRef] [PubMed]
- Boess, F.G.; Hendrix, M.; van der Staay, F.J.; Erb, C.; Schreiber, R.; van Staveren, W.; de Vente, J.; Prickaerts, J.; Blokland, A.; Koenig, G. Inhibition of phosphodiesterase 2 increases neuronal cGMP, synaptic plasticity and memory performance. Neuropharmacology 2004, 47, 1081–1092. [Google Scholar] [CrossRef] [PubMed]










| Fluorination Agent | Entry | Solvent | 13 (µmol) | Ratio 13 to [Cu(OTf)2(py)4] | RCY (%) a | RCY (%) b |
|---|---|---|---|---|---|---|
| [18F]TBAF | 1 | DMA/tert-BuOH c | 3.4 | 1:3.5 | 0.6 | - |
| 2 | DMA/n-BuOH c | 3.4 | 1:1 | 0 | - | |
| 3 | DMA/n-BuOH c | 3.4 | 1:3.5 | 0 | 68 | |
| 4 | DMA/n-BuOH c | 8.5 | 1:2 | 0 | - | |
| [18F]F−/K222/K2CO3 | 5 | DMF | 3.4 | 1:1.5 | 0 | - |
| 6 | DMF | 3.4 | 5:1 | 0 | - | |
| [18F]DMAPF d | 7 | DMA | 3.4 | 1:1.5 | 0.7 | 54 |
| 8 | DMI | 3.4 | 1:1.5 | 0 | 88 | |
| 9 | DMI | 3.4 | 1:0.5 | 0.5 | - |
| Fluorination Agent | Entry | Solvent | Temperature (°C) | RCY (%) a |
|---|---|---|---|---|
| [18F]F−/K222/K2CO3 | 1 | ACN | 110 | 0 |
| 2 | DMF | 150 | 0 | |
| 3 | DMSO | 150 | 0 | |
| [18F]TBAF | 4 | ACN | 110 | 21 |
| 5 | ACN/DMSO b | 130 | 10 | |
| 6 | tert-butanol | 90 | 0 | |
| 7 | DMF | 160 | 14 |
Publisher’s Note: MDPI stays neutral with regard to jurisdictional claims in published maps and institutional affiliations. |
© 2022 by the authors. Licensee MDPI, Basel, Switzerland. This article is an open access article distributed under the terms and conditions of the Creative Commons Attribution (CC BY) license (https://creativecommons.org/licenses/by/4.0/).
Share and Cite
Wenzel, B.; Fritzsche, S.R.; Toussaint, M.; Briel, D.; Kopka, K.; Brust, P.; Scheunemann, M.; Deuther-Conrad, W. Radiosynthesis and Preclinical Evaluation of an 18F-Labeled Triazolopyridopyrazine-Based Inhibitor for Neuroimaging of the Phosphodiesterase 2A (PDE2A). Pharmaceuticals 2022, 15, 1272. https://doi.org/10.3390/ph15101272
Wenzel B, Fritzsche SR, Toussaint M, Briel D, Kopka K, Brust P, Scheunemann M, Deuther-Conrad W. Radiosynthesis and Preclinical Evaluation of an 18F-Labeled Triazolopyridopyrazine-Based Inhibitor for Neuroimaging of the Phosphodiesterase 2A (PDE2A). Pharmaceuticals. 2022; 15(10):1272. https://doi.org/10.3390/ph15101272
Chicago/Turabian StyleWenzel, Barbara, Stefan R. Fritzsche, Magali Toussaint, Detlef Briel, Klaus Kopka, Peter Brust, Matthias Scheunemann, and Winnie Deuther-Conrad. 2022. "Radiosynthesis and Preclinical Evaluation of an 18F-Labeled Triazolopyridopyrazine-Based Inhibitor for Neuroimaging of the Phosphodiesterase 2A (PDE2A)" Pharmaceuticals 15, no. 10: 1272. https://doi.org/10.3390/ph15101272
APA StyleWenzel, B., Fritzsche, S. R., Toussaint, M., Briel, D., Kopka, K., Brust, P., Scheunemann, M., & Deuther-Conrad, W. (2022). Radiosynthesis and Preclinical Evaluation of an 18F-Labeled Triazolopyridopyrazine-Based Inhibitor for Neuroimaging of the Phosphodiesterase 2A (PDE2A). Pharmaceuticals, 15(10), 1272. https://doi.org/10.3390/ph15101272

