Next Article in Journal
Iodide Selective Electrodes Based on Bis(2-mercaptobenzothiazolato) Mercury(II) and Bis(4-chlorothiophenolato) Mercury(II) Carriers
Previous Article in Journal
Implementation of a Feedback I2-Controlled Constant Temperature Environment Temperature Meter
 
 
Font Type:
Arial Georgia Verdana
Font Size:
Aa Aa Aa
Line Spacing:
Column Width:
Background:
Article

Semiconductor Sensors Application for Definition of Factor of Ozone Heterogeneous Destruction on Teflon Surface

by
Ludmila A. Obvintseva
,
Fatima Kh. Chibirova
*,
Serge A. Kazakov
,
Alexander K. Avetisov
,
Marina V. Strobkova
and
Nataliya V. Finogenova
Karpov Research Institute For Physical Chemistry, ul. Vorontsovo Pole 10, 105064 Moscow, Russia
*
Author to whom correspondence should be addressed.
Sensors 2003, 3(11), 504-508; https://doi.org/10.3390/s3110504
Submission received: 1 May 2003 / Accepted: 5 October 2003 / Published: 5 December 2003

Abstract

:
In our paper we present the results of our research, which was carried out by means of semiconductor sensor techniques (SCS), which allowed evaluating heterogeneous death-rate of ozone (γ) Teflon surface. When ozone concentration is near to Ambient Air Standard value, γ is assessed to be equal to 6,57*10-7. High technique response provide possibility to determine ozone contents in the air media and the percentage of ozone, decomposed on the communication surfaces and on the surfaces of installation in the low concentration range (1–100 ppb).

Introduction

Both environmental problems, connected to ozone, and its wide implementation in chemical technological processes cause significant interest to ozone behaviour under various conditions [1]. As a consequence, the demand arises for measurements techniques of low ozone concentrations (1–100 ppb) in the ambient air. This concentration range includes the variations of ozone concentrations during a day, and also Ambient Air Standard for ozone (AAS), (50 ppb). Only high precision techniques provide measurements of such concentration ranges, but the risk exists of the distortion of the measured concentration values caused by ozone decomposition on the walls of the installations or connections. Ozone easily decomposes even on the inert surfaces, which results in a significant drop of ozone concentration during the test. Ozone losses on the communication surfaces can be estimated γ, heterogeneous death-rate of ozone, which equals to the ration between the number of decomposed molecules to the total number collisions of molecules with the surface. For the purpose of evaluation of heterogeneous death-rate of gas molecules on the solid surfaces, the method of tubes is often used. The tubes are supplied with various kinds of sensors to register the changes of gas mixture composition at the tube inlet and outlet. Low sensor sensitivity under the conditions of low molecules concentration results in some problems with γ evaluation. In such cases the researchers often have to extrapolate the γ values, which were determined at high gas concentrations, to the low concentration region, which is rather difficult to realise with sufficient correctness as the concentration dependence of γ value is rather complicated [1].
In our work we use semiconductor sensor (SCS) as ozone sensor for γ evaluation by means of tubes techniques [2,3]. High SCS sensitivity allows for measurements at low ozone concentrations. Heterogeneous death-rate of ozone (γ) is evaluated on the surface of Teflon tubes at ozone concentration in the air in the vicinity of AAS level, i.e. 50 ppb. Teflon holds an important position among the construction materials, which are implemented in the atmosphere monitoring systems, ozone generators and analysers, and also in the installations for metrological validation of the above systems and device. Nevertheless, there are only a few references on γ values on Teflon [1,4], and they are determined at high (4 %) ozone concentrations in the air.

Experimental procedure

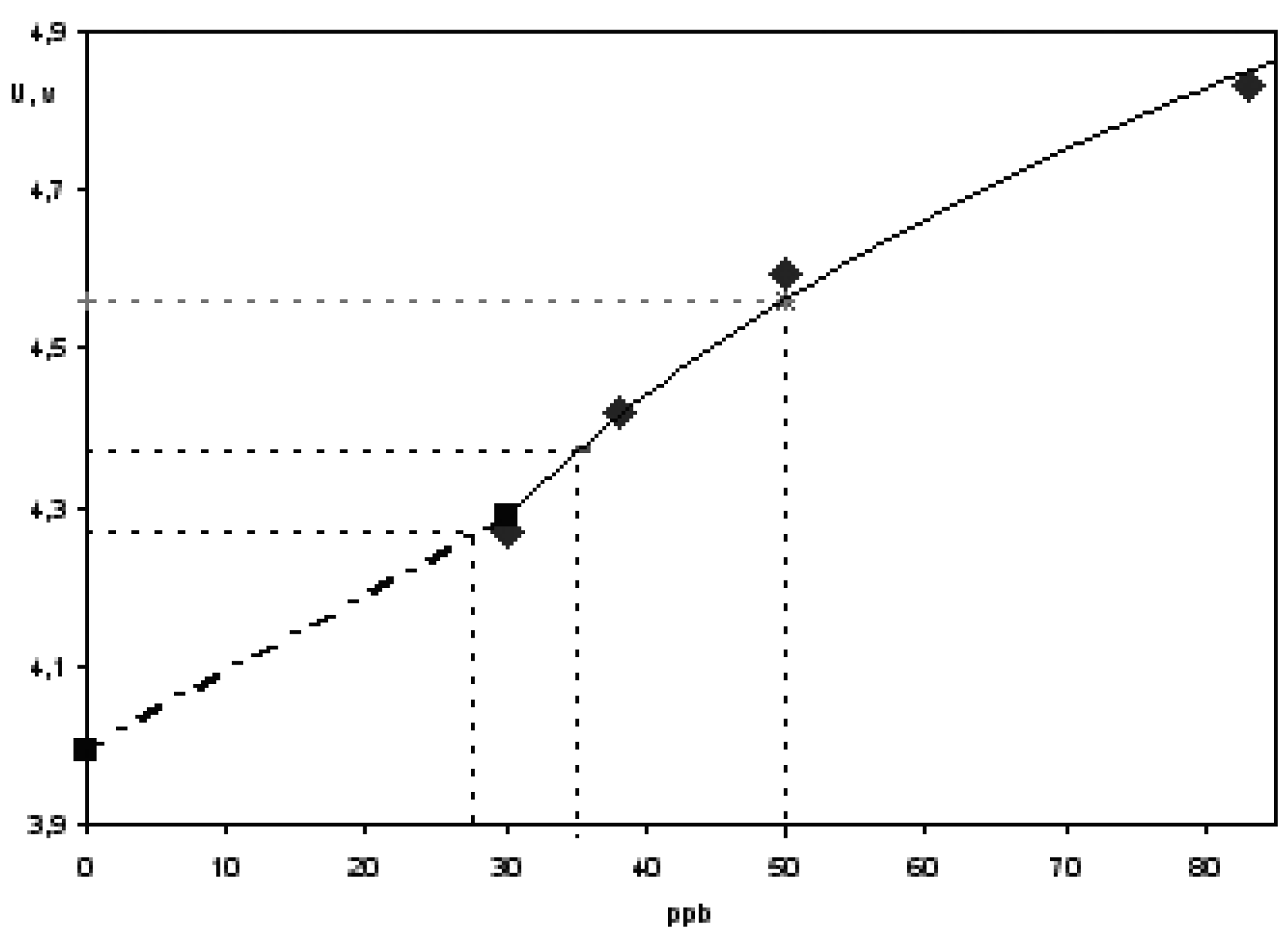
Heterogeneous death-rate γ was evaluated by tube method, semiconductor sensor being used as ozone detector. Sensitive layer [In2O3 (α-Fe2O3 3%)] was applied onto the insulating substrate with the surface area of 3x3 mm2. Sensor construction and production procedure are presented in papers [2,3]. Electroconductivity of sensitive layer is an electrophysical characteristic of a sensor, which is proportionate to ozone concentration. Sensor electroconductivity signal was detected as analogous one with 1 Hz frequency by means of special electronic unit, which was specially developed for this purpose, and was transferred to PC through Lcard 134 interface. UV generator with variable output was used as ozone source; it was calibrated by means of standard DASIBI-1008 spectrophotometer. Sensor was placed in the air flow (400 cm3/min), produced by self-regulating ejector. Ozone-air mixture extraction was carried out by means of Teflon tubes (Φ-4Д-Э brand, 0,2 cm diameter) out of ozone flow, produced by generator (2000 cm3/min), to the sensor. Tube length was modified during the tests: 1cm, 500 m and 1000 cm. The sensor was calibrated with the help of a tube with minimal length of 1 cm. Ozone concentration was fixed by selecting of necessary generator capacity. Calibration curve, i.e. ozone concentration (ppb) dependence of stationary signal value of the sensor (U, b) is presented in Fig. 1 ozone concentration range from 30 to 85 ppb. Extrapolation is done to the range of lower concentrations.

Results and Discussion

The kinetic curves of sensor signal are presented in Fig. 2 for predetermined ozone concentration of 50 ppb in the flow, which were obtained with the use of tubes of the length of 1 cm (upper curve), of 500 cm (middle curve) and of 1000 cm (bottom curve). The points of generator turn on and off are marked by arrows. As you can see, increase of tube length results in substantial decrease of stationary sensor signal level. Let us consider ozone losses on the surface of the tube of 1 cm to be negligible and the sensor signal level to be equal to ozone concentration of 50 ppb, (upper curve, Fig. 2).
Figure. 1. Ozone concentration dependence of sensor signal (Calibration curve).
Figure. 1. Ozone concentration dependence of sensor signal (Calibration curve).
Sensors 03 00504 g001
Figure. 2. Sensor response for 50 ppb of ozone in the air, when Teflon tubes of various lengths are used: 1 cm (upper curve), 500 cm (middle curve), 1000 cm (bottom curve). ↓ - ozone generator ON, ↑ - ozone generator OFF.
Figure. 2. Sensor response for 50 ppb of ozone in the air, when Teflon tubes of various lengths are used: 1 cm (upper curve), 500 cm (middle curve), 1000 cm (bottom curve). ↓ - ozone generator ON, ↑ - ozone generator OFF.
Sensors 03 00504 g002
With the help of sensor calibration curve (Fig. 1) we can determine conformity between ozone concentration and sensor signals stationary levels at outlets of tubes of 500 cm and 1000 cm. The indicated values comprise, accordingly, 37 and 27,5 ppb. Hence, ozone losses, which we observe in the flow, are rather substantial and equal to 26 and 46 %, i.e. have the same order of magnitude as measured ozone concentration.
The heterogeneous death-rate of ozone on Teflon surface can be determined on the basis of the obtained data. Computation was carried out according to the formula, presented in the paper [1]:
γ = 4 ω S V t ln [ O 3 ] 0 [ O 3 ] ,
where: γ is heterogeneous death-rate of ozone; ω - flow rate, equalled to 6,7 cm3/sec, Vt- heat velocity of ozone molecules, equalled to 3,89*104 cm/sec, S- Teflon tubes surface area, m2, [O3]o - ozone concentration at generator outlet, equalled to 50 ppb. Both the data, which were used for calculation by formula (1), and the results of computations are presented in the table 1 below. Tube surface is equated to its geometric surface.
Table 1. Experimental results
Table 1. Experimental results
Stationary signal level of a sensor (U, B) Tube length (l, cm)Geometric surface of a tube (S, cm2)Concentration at outlet of a tube ([O3], ppb)Heterogeneous death-rate of ozone O3, γ
4.5610,62850-
4.37500314376,58*10-7
4.28100062827,56,55*10-7
As it is obvious from the above table, the values of heterogeneous death-rate of ozone γ, which were obtained during two independent test series, carried out with the tubes of 500 cm and 1000 cm, agree closely. The average value of heterogeneous death-rate of ozone γ equals to 6,57*10-7 in this case.
Obtained value of heterogeneous death-rate of ozone (γ) is one order of magnitude less than the value of (7÷9)*10-8 for heterogeneous death-rate of ozone γ on the Teflon, presented in the paper [1] with the reference to the paper [4]. The major distinction between the test conditions of our research and research, presented in the paper [4], consists in the substantial difference between flow concentrations ranges, used in the above researches. The authors of the paper [4] determined the value of the heterogeneous death-rate of ozone (γ) under the conditions of ozone concentration of 4%, which is almost 5 orders of magnitude higher than ozone concentration in our research. The problem is widely discussed in various papers of functional ozone concentration dependence of surface activity with regard of surface ozone decomposition. For wide range of substances (sea salt, ice, aluminium oxide, aluminium silicates, ammonium sulphate and hydro sulphate and others.) the results of experimental researches present the increase of the value of the heterogeneous death-rate of ozone γ under the conditions of ozone concentration decrease in the gas phase [1]. It seems reasonable to say that the same effect shows up on Teflon at various ozone concentrations. Our understanding is that this fact is a good explanation of γ values discrepancies between, obtained during our research and by the authors of the paper [4].
Discrepancies of γ values can also result from discrepancies of surface properties of various Teflon brands, which are used during the researches, and absence of strict surface control both during our research and in the research [4]. We should also like to emphasise that in our research we have used new Teflon tubes, through which standardised ozone - air mixture was pumped. The above mixture did not contained foreign inclusions. Under the conditions of evaluation of working zone air composition, of prolonged atmosphere monitoring, and also during ozone concentrations measurements in the course of technological operations, the surface of communications will be covered by dust particles and other foreign substances which will influence the value of heterogeneous death-rate of ozone (γ) and may result in erroneous assessment of ozone losses, for instance, by formula (1).
The most efficient mode of ozone losses control and assessment comprises direct measurements of ozone concentrations at the inlets and outlets of the installations and communication lines. Such measurements can be carried out rather easily and quickly by means of semiconductor sensor, i.e. diminutive device, which allows obtaining the results during several minutes or even several seconds. It is obvious that by means of SCS ozone losses can be easily determined not only on the Teflon communication surfaces, but also on the surfaces of other systems, produced of various materials and their combinations, in the communication lines of various length and shape and independently of their state and condition.

Acknowledgement

Elaboration is funded by ISTC, project 1931.

References and Notes

  1. Lunin, V.V.; Popovich, M.P.; Tkachenko, S.N. Physical Chemistry of ozone. Moscow State University Publisher 1998. [Google Scholar]
  2. Miasnikov, I.A.; Suckarev, V.Y.; Kupriyanov, L.Yu.; Zavyalov, S.A. Semiconductor sensors in physical-chemical studies. (Handbook of sensors and actuators 4); Kupriyanov, L.Yu, Ed.; Elsevier: Amsterdam, New York, Tokyo, 1996; 400 p. [Google Scholar]
  3. Obvintseva, L.A.; Gutman, E.E.; Gubanova, D.P. Semiconductor method application for investigation of photochemical reactions with chlorine and its oxygen compounds. Optics of atmosphere and ocean 1998, Vol. 11, 1. [Google Scholar]
  4. Skoblikova, A.L. Investigation of ozone heterogeneous decomposition and its evaluation in the atmosphere. Author's abstract for Ph.D. thesis (physics& mathematics), 1989. [Google Scholar]
  • Sample Availability: Available from the authors.

Share and Cite

MDPI and ACS Style

Obvintseva, L.A.; Chibirova, F.K.; Kazakov, S.A.; Avetisov, A.K.; Strobkova, M.V.; Finogenova, N.V. Semiconductor Sensors Application for Definition of Factor of Ozone Heterogeneous Destruction on Teflon Surface. Sensors 2003, 3, 504-508. https://doi.org/10.3390/s3110504

AMA Style

Obvintseva LA, Chibirova FK, Kazakov SA, Avetisov AK, Strobkova MV, Finogenova NV. Semiconductor Sensors Application for Definition of Factor of Ozone Heterogeneous Destruction on Teflon Surface. Sensors. 2003; 3(11):504-508. https://doi.org/10.3390/s3110504

Chicago/Turabian Style

Obvintseva, Ludmila A., Fatima Kh. Chibirova, Serge A. Kazakov, Alexander K. Avetisov, Marina V. Strobkova, and Nataliya V. Finogenova. 2003. "Semiconductor Sensors Application for Definition of Factor of Ozone Heterogeneous Destruction on Teflon Surface" Sensors 3, no. 11: 504-508. https://doi.org/10.3390/s3110504

APA Style

Obvintseva, L. A., Chibirova, F. K., Kazakov, S. A., Avetisov, A. K., Strobkova, M. V., & Finogenova, N. V. (2003). Semiconductor Sensors Application for Definition of Factor of Ozone Heterogeneous Destruction on Teflon Surface. Sensors, 3(11), 504-508. https://doi.org/10.3390/s3110504

Article Metrics

Back to TopTop