Rapid Determination of Molybdenum (VI) in Water Using Phenylfluorone-Modified Test Strips Combined with Colorimetry and LAB Color Space Analysis
Abstract
1. Introduction
2. Experimental
2.1. Materials
2.2. Synthesis of PF-Modified Test Strips
2.3. Experimental Detection Method
2.4. Characteristics of PF-Modified Test Strip
2.4.1. Type of Surfactant
2.4.2. Volume Ratio of PF and Surfactant
2.4.3. Soaking Time
2.5. Optimizing Experimental Conditions
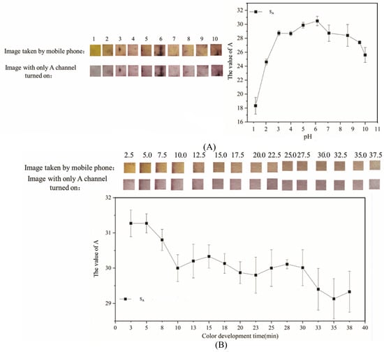
2.5.1. The pH of the Test Solution
2.5.2. The Color Development Time
2.5.3. The Influence of Interfering Ions
2.5.4. Type of Masking Agent
2.6. Making of Standard Curve and Standard Colorimetric Card
2.7. Detection of Urban Water Samples
2.8. Stability Experiment of Mo (VI) Test Strips
3. Results and Discussion
3.1. PF-Modified Test Strips as Affected by Type of Surfactant, Volume Ratio of PF and Surfactant, and Soaking Time
3.2. Results of Mo (VI) Test Strip Impacted on Main Factors
3.3. Standard Curve and Standard Colorimetric Card
3.4. Mo (VI) Detection in Real Water Samples
3.5. Stability Experiment Results of Mo (VI) Test Strips
4. Conclusions
Author Contributions
Funding
Institutional Review Board Statement
Informed Consent Statement
Data Availability Statement
Conflicts of Interest
References
- Kar, B.B.; Datta, P.; Misra, V.N. Spent catalyst: Secondary source for molybdenum recovery. Hydrometallurgy 2004, 72, 87–92. [Google Scholar] [CrossRef]
- GB3838-2002; Environmental Quality Standard for Surface Water. SEPAS: Beijing, China, 2002.
- GB 5749-2025; Standards for Drinking Water Quality of China. Ministry of Ecology and Environment in China: Beijing, China, 2022.
- Smedley, P.L.; Cooper, D.M.; Ander, E.L.; Milne, C.J.; Lapworth, D.J. Occurrence of molybdenum in British surface water and groundwater: Distributions, controls and implications for water supply. Appl. Geochem. 2014, 40, 144–154. [Google Scholar] [CrossRef]
- Xue, L.Q. In view of the molybdenum pollution in the water quality of Wujintang reservoir in Huludao city, green GDP is advocated in the prevention and control measures. Jiangxi Chem. Ind. 2018, 3, 124–125. (In Chinese) [Google Scholar]
- Zheng, L.L.; Yang, R.D.; Gao, J.B.; Shi-Bin, L.I.; Cao, Z.D.; Wei, H.R. Situation and application potential of advantageous minerals tailings (residue) resources in Zunyi-Tongren area, Guizhou province, China. Miner. Mag. 2016, 25, 88–89. [Google Scholar]
- Chu, L. A Molybdenum Tailings in Luanchuan, Henan Province Collapsed and Sewage Entered the River. The Official Informed That Molybdenum Pollution Had No National Standard. 2017. Available online: https://baijiahao.baidu.com/s?id=1559567456016161&wfr=spider&for=pc (accessed on 17 February 2017).
- Skierszkan, E.K.; Mayer, K.U.; Weis, D.; Beckie, R.D. Molybdenum and zinc stable isotope variation in mining waste rock drainage and waste rock at the Antamina mine, Peru. Sci. Total Environ. 2016, 550, 103–113. [Google Scholar] [CrossRef] [PubMed]
- España, J.S.; Toril, E.G.; Pamo, E.L.; Amils, R.; Ercilla, M.D.; Pastor, E.S.; Martín-Úriz, P.S. Biogeochemistry of a Hyperacidic and Ultraconcentrated Pyrite Leachate in San Telmo mine (Iberian Pyrite Belt, Spain). Water Air Soil Pollut. 2008, 194, 243–257. [Google Scholar] [CrossRef]
- Jochen, S.; Bernhard, D.; Spangenberg, J.E.; Pfeifer, H.-R. Geochemistry and stable isotope composition of fresh alkaline porphyry copper tailings: Implications on sources and mobility of elements during transport and early stages of deposition. Chem. Geol. 2008, 256, 62–76. [Google Scholar] [CrossRef]
- Alakangas, L.; Hlander, B.; Lundberg, A. Estimation of temporal changes in oxidation rates of sulphides in copper mine tailings at Laver, Northern Sweden. Sci. Total Environ. 2010, 408, 1386–1392. [Google Scholar] [CrossRef]
- Solongo, T.; Fukushi, K.; Altansukh, O.; Takahashi, Y.; Akehi, A.; Baasansuren, G.; Ariuntungalag, Y.; Enkhjin, O.; Davaajargal, B.; Davaadorj, D.; et al. Distribution and Chemical Speciation of Molybdenum in River and Pond Sediments Affected by Mining Activity in Erdenet City, Mongolia. Minerals 2018, 8, 288. [Google Scholar] [CrossRef]
- Guo, C.; Liu, Y. A Comparative Study on the Accumulated Degree and Exchange Ability of Phosphorus in Surface Sediments from Gansu, Ningxia and Inner Mongolia Sections of the Yellow River in Different Water Periods by Using Spectrophotometry. Spectros. Spect. Anal. 2018, 39, 1586–1592. [Google Scholar]
- Sardesai, V. Molybdenum: An Essential Trace Element. Nutr. Clin. Pract. 1993, 8, 277–281. [Google Scholar] [CrossRef]
- Barceloux, D.G. Molybdenum. J. Toxicol. Clin. Toxicol. 1999, 37, 231. [Google Scholar] [CrossRef] [PubMed]
- CASRN 7439-98-7; Molybdenum. United States Environmental Protection Agency: Washington, DC, USA, 2003.
- Naqa, A.R.E.; Ibrahim, K.M.; Alrous, M.A. Hydrogeochemical investigation of the origin of Molybdenum (Mo) in groundwater resources in Wadi Al Arab area, Northern Jordan. Acque Sotter. 2018, 7, 19–30. [Google Scholar] [CrossRef]
- Al Kuisi, M.; Al-Hwaiti, M.; Mashal, K.; Abed, A.M. Spatial distribution patterns of molybdenum (Mo) concentrations in potable groundwater in Northern Jordan. Environ. Monit. Assess. 2015, 3, 148–152. [Google Scholar] [CrossRef]
- Han, Z.; Zhang, X.; Liu, M.; Hao, L.; Feng, X.; Wen, G. Review of Detection and Pollution Control Methods of Molybdenum in Drinking Water. J. Green Sci. Technol. 2016, 20, 38–39. (In Chinese) [Google Scholar]
- Wang, J.; Tan, J.C.; Kong, W.B. Complementary Advantages of University-college Two-level Sharing Platform of Large Instruments and Equipment. Res. Explor. Lab. 2012, 31, 397–400+404. [Google Scholar]
- Zhen, D.; Deng, Q.; Yu, Y.; Chen, S.; Li, L.; Cai, Q.; Liu, Y. A covalent organic polymer fluorescent probe for highly selective and sensitive UO22+ detection in water and food samples. Biosens. Bioelectron. 2025, 290, 117950. [Google Scholar] [CrossRef]
- Wang, N.; Sun, J.; Fan, H.; Ai, S. Anion-intercalated layered double hydroxides modified test strips for detection of heavy metal ions. Talanta 2016, 148, 301–307. [Google Scholar] [CrossRef]
- Ang, C.; Lou, D.; Hu, L.; Chen, W.; Zhu, Y.; Guo, Z.; Gu, N.; Zhang, Y. A Rapid Test Strip for Diagnosing Glycosylated Hemoglobin (HbA1c) Based on Fluorescent Affinity Immunochromatography; Original Papers. Anal. Sci. 2018, 34, 1117–1123. [Google Scholar] [CrossRef]
- Lv, J.; Liu, G.; Fan, C.; Pu, S. A highly sensitive fluorescent sensor for Cd2+ and Zn2+ based on diarylethene with a pyrene unit. Spectrochim. Acta A 2020, 227, 117581. [Google Scholar] [CrossRef]
- Ye, Q.; Men, C.; Tian, L.; Liu, Y.; Lei, Z.; Fang, L.Y.; Zhi, H.C.; Jun, Z.S. Preparation of a molecularly imprinted test strip for point-of-care detection of thiodiglycol, a sulfur mustard poisoning metabolic marker. Talanta 2021, 234, 122701. [Google Scholar] [CrossRef]
- Chiou, J.; Leung, A.H.H.; Lee, H.W.; Wong, W. Rapid testing methods for food contaminants and toxicants. J. Integr. Agr. 2015, 14, 2243–2264. [Google Scholar] [CrossRef]
- Kumar, A.; Dass, R.; Chaudhary, R. Extraction and spectrophotometric determination of molybdenum(V) as its thiocyanate complex in industrial, environmental and soil samples. J. Indian. Chem. Soc. 2009, 86, 275–280. [Google Scholar]
- Cervilla, A.; PérezPla, F.; Llopis, E. Reduction of tris(benzene-1,2-dithiolate)molybdenum(VI) by hydroxide ions in dry tetrahydrofuran solution. Chem. Comm. 2001, 39, 2332–2333. [Google Scholar] [CrossRef][Green Version]
- Dan, W.; Wei, Q.; Yan, L.; Du, B.; Xu, G. Quenching of the intrinsic fluorescence of bovine serum albumin by phenylfluorone-Mo (VI) complex as a probe. Int. J. Biol. Macromol. 2005, 37, 69–72. [Google Scholar]
- Denisova, S.A.; Lesnov, A.E.; Kudryashova, O.S. Extraction of metal thiocyanate complexes in a water-potassium bis (alkylpolyoxyethylene) phosphate-ammonium sulfate segregating system. Russ. J. Inorg. Chem. 2015, 60, 1022–1026. [Google Scholar] [CrossRef]
- Gladkova, O.L.; Panarin, A.Y.; Terekhov, S.N. Vibrational spectra of phenylfluorone and their interpretation. J. Appl. Spectrosc. 2011, 78, 165–173. [Google Scholar] [CrossRef]
- Cui, X.; Li, S.; Jin, G.; Ye, H. Application of Surfactant One Phenyltromol Tone and Molybdenum Coloring Reaction. Spectr. Lab. 2013, 30, 187–189. (In Chinese) [Google Scholar]
- Weatherall, I.L.; Coombs, B.D. Skin color measurements in terms of CIELAB color space values. J. Investig. Dermatol. 1992, 99, 468. [Google Scholar] [CrossRef] [PubMed]
- Ganz, E.; Pauli, H.K. Whiteness and tint formulas of the Commission Internationale de l’Eclairage: Approximations in the Lab color space. Appl. Opt. 1995, 34, 2998–2999. [Google Scholar] [CrossRef] [PubMed]
- Murali, S.; Govindan, V.K. Shadow Detection and Removal from a Single Image Using LAB Color Space. Cyber. Inf. Technol. CIT 2013, 13, 95–103. [Google Scholar] [CrossRef]
- Fu, R.; Ma, X.; Bian, Z.; Ma, J. Digital separation of diaminobenzidine-stained tissues via an automatic color-filtering for immunohistochemical quantification. Biomed. Opt. Express 2015, 6, 544–558. [Google Scholar] [CrossRef]
- Wang, S.; Wang, D.; Qiu, X.; Ge, A.; Guo, C. Research on Measurement of Gingival Colour Chroma. Light Eng. 2010, 18, 72–76. [Google Scholar]
- Jeong, J. A Lip Detection Algorithm Using Color Clustering. J. Korea Soc. Comput. Inf. 2014, 19, 37–43. [Google Scholar] [CrossRef]
- Nelis, J.; Bura, L.; Zhao, Y.; Burkin, K.M.; Rafferty, K.; Elliott, C.T.; Campbell, K. The Efficiency of Color Space Channels to Quantify Color and Color Intensity Change in Liquids, pH Strips, and Lateral Flow Assays with Smartphones. Sensors 2019, 19, 5104. [Google Scholar] [CrossRef] [PubMed]
- Zhang, Y.; Dong, Z.; Zhang, K.; Shu, S.; Lu, F.; Chen, J. Illumination variation-resistant video-based heart rate monitoring using LAB color space. Opt. Lasers Eng. 2021, 136, 106328–106336. [Google Scholar] [CrossRef]
- Kumah, C.; Zhang, N.; Raji, R.K.; Pan, R. Color Measurement of Segmented Printed Fabric Patterns in Lab Color Space from RGB Digital Images. J. Text. Sci. Technol. 2019, 5, 1–18. [Google Scholar] [CrossRef]
- Huang, Z.; Hou, L.; Li, Z. Image Clustering Using Graph Cuts in LAB Color Space. Int. J. Digit. Content Technol. Its Appl. 2013, 7, 1–7. [Google Scholar]
- Cavalli, S.; Polesello, S.; Valsecchi, S. Chloride interference in the determination of bromate in drinking water by reagent free ion chromatography with mass spectrometry detection. J. Chromatogr. A 2004, 1085, 42–46. [Google Scholar] [CrossRef] [PubMed]
- Keawwangchai, S.; Morakot, N.; Keawwangchai, T. Novel selective and sensitive optical chemosensor based on phenylfluorone derivative for detection of Ge(IV) ion in aqueous solution. Spectrochim. Acta A Mol. Biomol. Spectrosc. 2018, 202, 290–300. [Google Scholar] [CrossRef]
- Anthon, G.E.; Barrett, D.M. Comparison of three colorimetric reagents in the determination of methanol with alcohol oxidase. Application to the assay of pectin methylesterase. J. Agric. Food Chem. 2004, 52, 3749–3753. [Google Scholar] [CrossRef]
- Gorman, W.G.; Hall, G.D. Use of dielectric constants in the classification of surfactants. J. Pharm. Sci. 2010, 52, 442–446. [Google Scholar] [CrossRef] [PubMed]
- Wu, W.; Qion, R.; Lv, Z.Y.; Wang, M.J. Research Progress and Application of Surfactants in Analytical Chemistry. Yunnan Chem. Technol. 2013, 40, 13–21. [Google Scholar]
- Saien, J.; Asadabadi, S. Adsorption and Interfacial Properties of Individual and Mixtures of Cationic/Nonionic Surfactants in Toluene + Water Chemical Systems. J. Chem. Eng. Data 2010, 55, 377–378. [Google Scholar] [CrossRef]
- Peris-García, E.; Rodríguez-Martínez, J.; Baeza-Baeza, J.J.; García-Alvarez-Coque, M.C.; Ruiz-Angel, M.J. Search of non-ionic surfactants suitable for micellar liquid chromatography. Anal. Bioanal. Chem. 2018, 410, 5043–5057. [Google Scholar] [CrossRef] [PubMed]
- He, Q.; Xiao, Y.; Miao, Z.; Sun, M.; Gao, M. Water Clusters in Lignite and Desorption Energy Calculation by Density Functional Theory. ACS Omega 2019, 4, 14219–14225. [Google Scholar] [CrossRef]
- de Sousa, J.M.; Couto, M.T.; Cassella, R.J. Polyurethane foam functionalized with phenylfluorone for online preconcentration and determination of copper and cadmium in water samples by flame atomic absorption spectrometry. Microchem. J. 2018, 138, 92–97. [Google Scholar] [CrossRef]
- Winkler, W.; Buhl, F.; Arenhövel-Pacuła, A.; Hachuła, U. Spectrophotometric method for the determination of manganese with phenylfluorone in the presence of Triton X-100 and cetylpyridinium chloride in pharmacological preparations and vegetable fertilizers. Anal. Bioanal. Chem. 2003, 376, 934–937. [Google Scholar] [CrossRef]
- Dederichs, T.; Moller, M.; Weichold, O. Temperature-dependent colloidal stability of hydrophobic nanoparticles caused by surfactant adsorption/desorption and depletion flocculation. Langmuir 2009, 25, 10501–10506. [Google Scholar] [CrossRef]
- Sun, Y.; Mei, L.; Han, N.; Ding, X.; Yu, C.; Yang, W.; Ruan, G. Examining the Roles of Emulsion Droplet Size and Surfactant in the Interfacial Instability-Based Fabrication Process of Micellar Nanocrystals. Nanoscale Res. Lett. 2017, 12, 434. [Google Scholar] [CrossRef]
- Amelin, V.G.; Abramenkova, O.I. Test determination of molybdenum(VI) with the use of phenylfluorone immobilized on a cellulose cloth. J. Anal. Chem. 2007, 62, 1187–1189. [Google Scholar] [CrossRef]
- Dunbar, R.C.; Steill, J.D.; Polfer, N.C.; Oomens, J. Metal Cation Binding to Gas-Phase Pentaalanine: Divalent Ions Restructure the Complex. J. Phys. Chem. A 2013, 117, 1094–1101. [Google Scholar] [CrossRef]
- Shvoeva, O.P.; Dedkova, V.P.; Savvin, S.B. Complexation of molybdenum(VI) and tungsten(VI) with pyrocatechol violet and phenylfluorone on a solid phase. J. Anal. Chem. 2014, 69, 111–115. [Google Scholar] [CrossRef]
- Desai, M.N.; Desai, B.M.; Gandhi, M.H. Salicylamide and Î2-resorcylamide as indicators for EDTA titration of ferric ions. Microchem. J. 1969, 14, 503–506. [Google Scholar] [CrossRef]
- Hu, C.; Zhu, Y.; Zhao, X. On-off-on nanosensors of carbon quantum dots derived from coal tar pitch for the detection of Cu2+, Fe3+, and L-ascorbic acid. Spectrochim. Acta. A 2021, 250, 119325. [Google Scholar] [CrossRef]
- Ding, Y.; Liu, J.; Guo, M.; Lin, Y. 3D Co-Ni Nanocone Array Shielded with Conducting Amorphous Carbon Used as Fused, Separable, and Stable Mimicking Peroxidases for RGB-Color Intensiometric pH Indication. ACS Appl. Mater. Interfaces 2019, 11, 40382–40392. [Google Scholar] [CrossRef]
- Dedkova, V.P.; Shvoeva, O.P.; Savvin, S.B. A test-method for determination of molybdenum(VI) using phenylfluorone on a solid phase of fibrous sorbents. Ind. Lab. 2000, 66, 291–293. [Google Scholar]
- Amin, A.S.; El-Bahy, S.M.; Hassan, A.M.E. Construction of an optical sensor for molybdenum determination based on a new ionophore immobilized on a polymer membrane. J. King Saud Univ.—Sci. 2023, 35, 102592. [Google Scholar] [CrossRef]
- Banerjee, M.; Ta, S.; Ghosh, M.; Ghosh, A.; Das, D. Sequential Fluorescence Recognition of Molybdenum(VI), Arsenite, and Phosphate Ions in a Ratiometric Manner: A Facile Approach for Discrimination of AsO2− and H2PO4−. ACS Omega 2019, 4, 10877–10890. [Google Scholar] [CrossRef]
- Rojas-Romo, C.; Aliaga, M.E.; Arancibia, V. Determination of molybdenum(VI) via adsorptive stripping voltammetry using an ex-situ bismuth screen-printed carbon electrode. Microchem. J. 2020, 154, 104589. [Google Scholar] [CrossRef]
- Xue, R.; Liu, X.; Fu, X.; Luo, H.; Zhang, K.; Anderson, B.C.; Li, M.; Huang, B.; Yu, L.; Li, X.; et al. Characteristics of methane emissions in the Living Water Garden in Chengdu City from 2012 to 2017. Environ. Sci. Pollut. Res. 2020, 27, 39531–39546. [Google Scholar] [CrossRef] [PubMed]
- Shinohara, A.; Chiba, M.; Inaba, Y. Determination of Selenium Concentrations in Human Blood Plasma by Microwave-Induced Plasma Mass Spectrometry. Anal. Sci. 1998, 14, 713–717. [Google Scholar] [CrossRef][Green Version]
- Mitsuda, K.; Kimura, H.; Murahashi, T. Evaporation and decomposition of Triton X-100 under various gases and temperatures. J. Mater. Sci. 1989, 24, 413–419. [Google Scholar] [CrossRef]










| Interfering Ions | Maximum Allowable Concentration (mg/L) | Interfering Ions | Maximum Allowable Concentration (mg/L) |
|---|---|---|---|
| K+ | 1.25 | Fe3+ | 0.1 |
| Na+ | 1.25 | Mg2+ | 2.5 |
| Ca2+ | 2.5 | C2O42− | 1.25 |
| Cu2+ | 1.25 | Cl- | No effect |
| Zn2+ | 2.5 | CO32− | No effect |
| Mn2+ | 1 | NO3− | No effect |
| Cr6+ | 2.5 | Ni2+ | 1 |
| Cd2+ | 0.25 | Al3+ | 0.5 |
| Method (Principle) | LOD | Linear Range | Response Time | Estimated Cost | Ref. |
|---|---|---|---|---|---|
| This work (PF test strip + smartphone/LAB) | 0.08 mg L−1 (visual) | 0.02–0.8 mg L−1 | 2.5 min | Very low | This work |
| Phenylfluorone on fibrous sorbent (solid-phase color scale) | 0.02 mg L−1 | 0.025–0.4 mg L−1 | 10 min | Low | Dedkova et al., 2000 [61] |
| Polymer-membrane optical sensor (optode; spectrophotometry) | 2.5 × 10−8 M (~0.0024 mg L−1) | 8.5 × 10–8 – 4.4 × 10−5 M (~0.008–4.22 mg L−1) | 3–5 min | Moderate | Amin et al., 2023 [62] |
| Fluorescent probe (molecular fluorescence) | 1.5 × 10−8 M (~0.0014 mg L−1) | Up to 2.0 µM (~0.192 mg L−1) | — | High | Banerjee et al., 2019 [63] |
| Adsorptive stripping voltammetry (screen-printed electrode) | 0.7 ng mL−1 (0.0007 mg L−1) | — | — | Moderate–high | Rojas-Romo et al., 2020 [64] |
Disclaimer/Publisher’s Note: The statements, opinions and data contained in all publications are solely those of the individual author(s) and contributor(s) and not of MDPI and/or the editor(s). MDPI and/or the editor(s) disclaim responsibility for any injury to people or property resulting from any ideas, methods, instructions or products referred to in the content. |
© 2026 by the authors. Licensee MDPI, Basel, Switzerland. This article is an open access article distributed under the terms and conditions of the Creative Commons Attribution (CC BY) license.
Share and Cite
Li, X.; Zhuang, D.; Liu, X.; Luo, H.; Zhang, K.; Jiang, B.; Chen, W.; Xie, W. Rapid Determination of Molybdenum (VI) in Water Using Phenylfluorone-Modified Test Strips Combined with Colorimetry and LAB Color Space Analysis. Sensors 2026, 26, 885. https://doi.org/10.3390/s26030885
Li X, Zhuang D, Liu X, Luo H, Zhang K, Jiang B, Chen W, Xie W. Rapid Determination of Molybdenum (VI) in Water Using Phenylfluorone-Modified Test Strips Combined with Colorimetry and LAB Color Space Analysis. Sensors. 2026; 26(3):885. https://doi.org/10.3390/s26030885
Chicago/Turabian StyleLi, Xingping, Daiwei Zhuang, Xiaoling Liu, Hongbing Luo, Ke Zhang, Bing Jiang, Wei Chen, and Wancen Xie. 2026. "Rapid Determination of Molybdenum (VI) in Water Using Phenylfluorone-Modified Test Strips Combined with Colorimetry and LAB Color Space Analysis" Sensors 26, no. 3: 885. https://doi.org/10.3390/s26030885
APA StyleLi, X., Zhuang, D., Liu, X., Luo, H., Zhang, K., Jiang, B., Chen, W., & Xie, W. (2026). Rapid Determination of Molybdenum (VI) in Water Using Phenylfluorone-Modified Test Strips Combined with Colorimetry and LAB Color Space Analysis. Sensors, 26(3), 885. https://doi.org/10.3390/s26030885

