Correction: Suzuki, K.; Ito, T. Virtual Observation Using Location-Dependent Statistical Information of Cyclists’ Movement for Estimation of Position and Uncertainty. Sensors 2025, 25, 5122
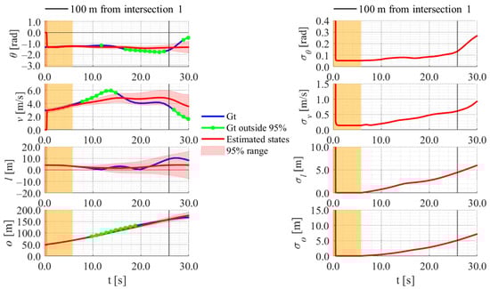
Figure Correction






Table Correction
| GT Cluster | Cluster 1 (5 Data) | Cluster 2 (9 Data) | Cluster 3 (15 Data) | |||||||
|---|---|---|---|---|---|---|---|---|---|---|
| Classified Cluster | 1 | 2 | 3 | 1 | 2 | 3 | 1 | 2 | 3 | |
| Correct | Wrong | Wrong | Wrong | Correct | Wrong | Wrong | Wrong | Correct | ||
| Average ratio within the confidence interval | Velocity | 0.90 | 0.72 | 0.38 | 0.65 | 0.92 | 0.89 | 0.44 | 0.46 | 0.94 |
| Offset | 0.77 | 0.65 | 0.36 | 0.57 | 0.93 | 0.83 | 0.24 | 0.15 | 0.93 | |
Reference
- Suzuki, K.; Ito, T. Virtual Observation Using Location-Dependent Statistical Information of Cyclists’ Movement for Estimation of Position and Uncertainty. Sensors 2025, 25, 5122. [Google Scholar] [CrossRef] [PubMed]
Disclaimer/Publisher’s Note: The statements, opinions and data contained in all publications are solely those of the individual author(s) and contributor(s) and not of MDPI and/or the editor(s). MDPI and/or the editor(s) disclaim responsibility for any injury to people or property resulting from any ideas, methods, instructions or products referred to in the content. |
© 2026 by the authors. Licensee MDPI, Basel, Switzerland. This article is an open access article distributed under the terms and conditions of the Creative Commons Attribution (CC BY) license.
Share and Cite
Suzuki, K.; Ito, T. Correction: Suzuki, K.; Ito, T. Virtual Observation Using Location-Dependent Statistical Information of Cyclists’ Movement for Estimation of Position and Uncertainty. Sensors 2025, 25, 5122. Sensors 2026, 26, 697. https://doi.org/10.3390/s26020697
Suzuki K, Ito T. Correction: Suzuki, K.; Ito, T. Virtual Observation Using Location-Dependent Statistical Information of Cyclists’ Movement for Estimation of Position and Uncertainty. Sensors 2025, 25, 5122. Sensors. 2026; 26(2):697. https://doi.org/10.3390/s26020697
Chicago/Turabian StyleSuzuki, Kento, and Takuma Ito. 2026. "Correction: Suzuki, K.; Ito, T. Virtual Observation Using Location-Dependent Statistical Information of Cyclists’ Movement for Estimation of Position and Uncertainty. Sensors 2025, 25, 5122" Sensors 26, no. 2: 697. https://doi.org/10.3390/s26020697
APA StyleSuzuki, K., & Ito, T. (2026). Correction: Suzuki, K.; Ito, T. Virtual Observation Using Location-Dependent Statistical Information of Cyclists’ Movement for Estimation of Position and Uncertainty. Sensors 2025, 25, 5122. Sensors, 26(2), 697. https://doi.org/10.3390/s26020697

