Optimization Method for Secrecy Capacity of UAV Relaying Based on Dynamic Adjustment of Power Allocation Factor
Abstract
1. Introduction
2. System Model
3. Enhance Security by Designing Alternating Iterative Algorithms
3.1. Problem Formulation
3.2. Convex Approximation to the SCM Problem
- 1.
- The feasible domain shrinks, and by introducing relaxation variables, the solution space of the original problem is constrained to a more compact convex set.
- 2.
- The objective function is simpler and easier to solve.
- 3.
- The convergence speed is improved, and the equivalent convex problem can quickly converge to the global optimal solution.
3.3. Secrecy Capacity Optimization Through Alternating Iterative Algorithm Design
| Algorithm 1 An iterative algorithm based on gradient descent to solve with fixed |
| initialization: 1. Set Alice’s average output power , initial variable . 2. Set initial dual variables to satisfy constraints . 3. Set error tolerance , the iteration index , maximum number of iterations . whiledo 1. Compute and the gradient based on (27); 2. Update using the Newton’s iterative method; 3. If 4. break; 5. else 6. ; 7. end if end while Output: and . |
- 1.
- Engineering precision: This tolerance ensures that the computational error in power allocation remains below , which significantly exceeds the implementation precision of actual RF chains;
- 2.
- Computational efficiency: Sensitivity analysis indicates that when , further improvement in the system secrecy capacity becomes saturated (less than ), while computational cost increases significantly. Therefore, represents an ideal trade-off point.
- 3.
- Coordinated global convergence: To ensure the stability of the outer-layer alternating iteration optimization (with a threshold of ), the inner-layer Newton’s method must maintain higher precision, adhering to the principle that .
| Algorithm 2 An alternative and iterative algorithm to solve and |
| initialization: 1. Set initial feasible point . 2. Set UAV’s transmit power P and error tolerance . repeat 1. Compute by Algorithm 1 and based on (28); 2. Update ; 3. Compute the subgradient ; 4. Update using interior point method based on (29) until converges to . Output: , and . |
- 1.
- A trade-off between numerical accuracy and computational cost: The choice of must balance computational accuracy and algorithmic efficiency. An overly small (e.g., ) would lead to unnecessary iterations and increased computation time, while an overly large (e.g., ) may compromise the optimality of the solution;
- 2.
- Engineering practice standards: In communication system optimization, when the relative change in the objective function (secrecy capacity) is on the order of , its impact on system performance enhancement becomes negligible. According to the convergence properties of first-order optimization methods, the accuracy of the dual variables typically aligns with the accuracy of the objective function. Therefore, we set to ensure that the algorithm terminates efficiently while achieving sufficient engineering precision.
- 3.
- Simulation verification: We tested the convergence behavior for ranging from to . When , the improvement in secrecy capacity was less than , while the number of iterations increased significantly. Hence, = represents an ideal compromise.
3.4. Computational Complexity
- 1.
- Newton iteration for : .
- 2.
- Compute and : .
- 3.
- Compute the subgradient : .
- 4.
- Interior-Point Method (IPM) for (29): .
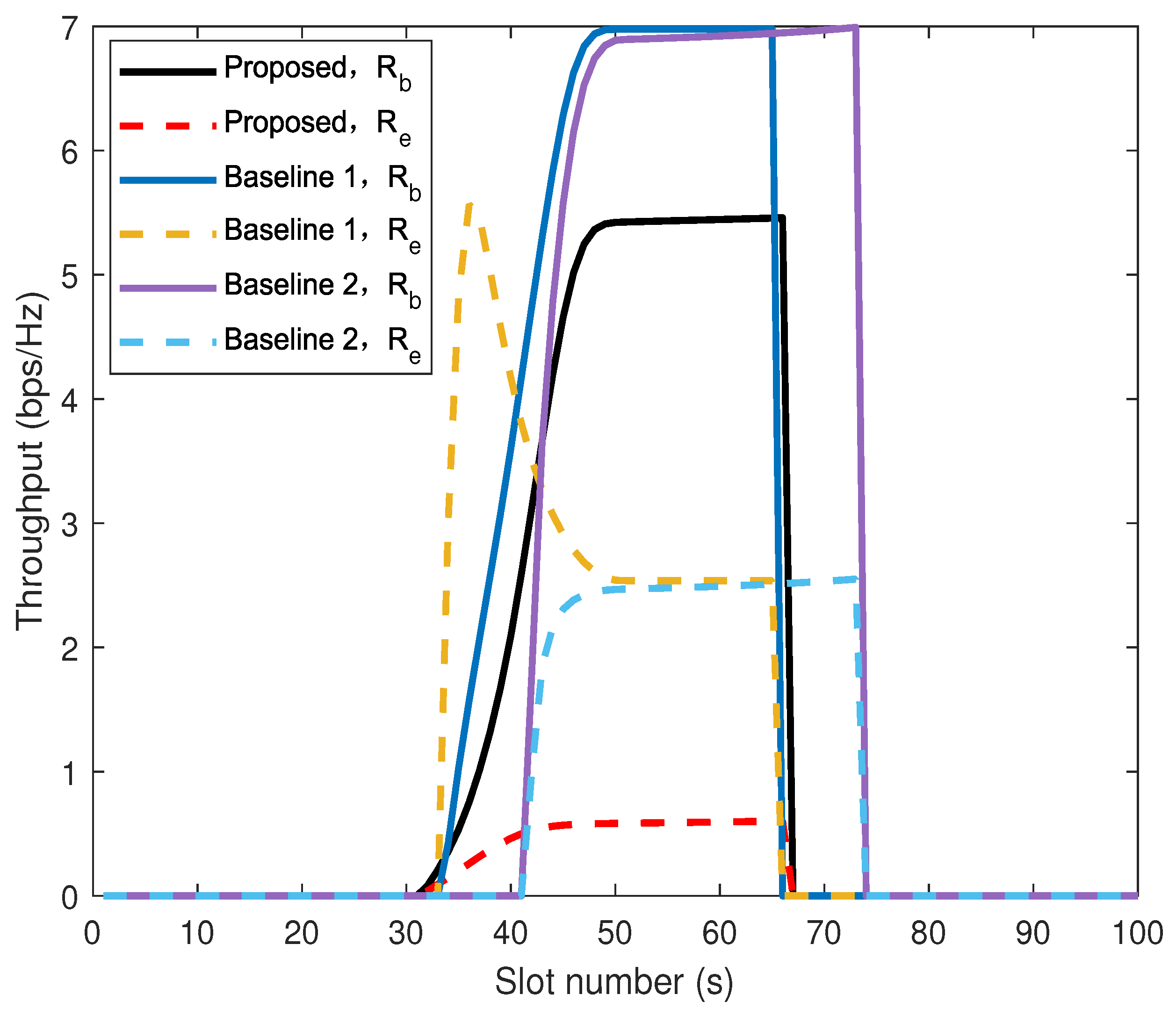
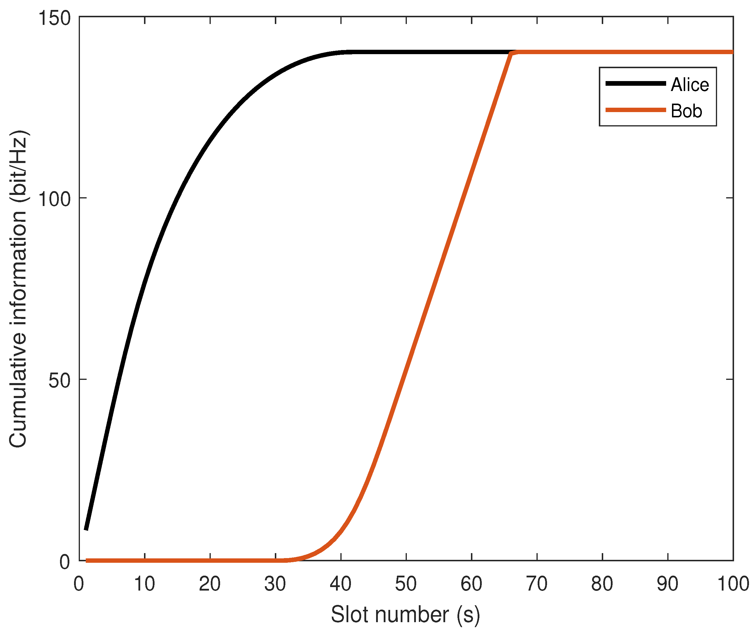
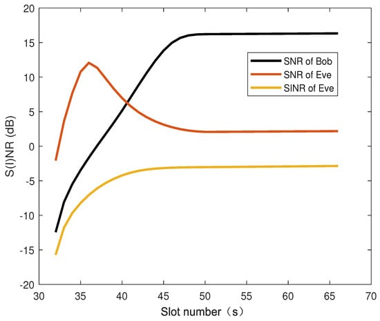
4. Simulation and Discussion
5. Conclusions
Author Contributions
Funding
Data Availability Statement
Conflicts of Interest
Appendix A
Appendix B
References
- Mitev, M.; Chorti, A.; Poor, H.V.; Fettweis, G.P. What physical layer security can do for 6G security. IEEE Open J. Veh. Technol. 2023, 4, 375–388. [Google Scholar] [CrossRef]
- Nguyen, L.-M.-D.; Vo, V.N.; So-In, C.; Dang, V.-H. Throughput analysis and optimization for NOMA Multi-UAV assisted disaster communication using CMA-ES. Wirel. Netw. 2021, 27, 4889–4902. [Google Scholar] [CrossRef]
- Dai, M.; Luan, T.H.; Su, Z.; Zhang, N.; Xu, Q.; Li, R. Joint channel allocation and data delivery for UAV-assisted cooperative transportation communications in post-disaster networks. IEEE Trans. Intell. Transp. Syst. 2022, 23, 16676–16689. [Google Scholar] [CrossRef]
- Gao, Y.; Yuan, X.; Yang, D.; Hu, Y. UAV-assisted MEC system with mobile ground terminals: DRL-based joint terminal scheduling and UAV 3D trajectory design. IEEE Trans. Veh. Technol. 2024, 73, 10164–10180. [Google Scholar] [CrossRef]
- Wu, M.; Xiao, Y.; Gao, Y.; Xiao, Y.; Gao, Y.; Xiao, M. Digital twin for uav-ris assisted vehicular communication systems. IEEE Trans. Wirel. Commun. 2023, 23, 7638–7651. [Google Scholar] [CrossRef]
- Dhakal, G.; Kumar, D.R.; Sahoo, S.; Shim, J.J. Litchi seed biowaste-derived activated carbon supporting matrix for efficient symmetric and asymmetric supercapacitors. IEEE BITS Inf. Theory Mag. 2023, 3, 67–79. [Google Scholar] [CrossRef]
- Umapathy, B.; Kalpana, G. A novel symmetric cryptographic method to design block complexity for data security. Comput. Electr. Eng. 2022, 104, 108467. [Google Scholar] [CrossRef]
- Jiang, R.; Han, S.; Yu, Y.; Ding, W. An access control model for medical big data based on clustering and risk. Inf. Sci. 2023, 621, 691–707. [Google Scholar] [CrossRef]
- Ghaffari, F.; Bertin, E.; Crespi, N.; Hatin, J. Distributed ledger technologies for authentication and access control in networking applications: A comprehensive survey. Inf. Sci. 2023, 50, 100590. [Google Scholar] [CrossRef]
- Oesch, S.; Ruoti, S. That was then, this is now: A security evaluation of password generation, storage, and autofill in browser-based password managers. In Proceedings of the 29th USENIX Conference on Security Symposium, Boston, MA, USA, 12–14 August 2020; pp. 2165–2182. [Google Scholar]
- Xiao, Q.; Zhao, J.; Feng, S.; Li, G.; Hu, A. Securing NextG networks with physical-layer key generation: A survey. Secur. Saf. 2024, 3, 2023021. [Google Scholar] [CrossRef]
- Mucchi, L.; Jayousi, S.; Caputo, S.; Panayirci, E.; Shahabuddin, S.; Bechtold, J.; Morales, I.; Stoica, R.-A.; Abreu, G.; Haas, H. Physical-layer security in 6G networks. IEEE Open J. Commun. Soc. 2021, 2, 1901–1914. [Google Scholar] [CrossRef]
- Schuld, M.; Killoran, N. Quantum machine learning in feature Hilbert spaces. Phys. Rev. Lett. 2019, 122, 040504. [Google Scholar] [CrossRef] [PubMed]
- Kamboj, A.K.; Jindal, P.; Verma, P. Machine learning-based physical layer security: Techniques, open challenges, and applications. Wirel. Netw. 2021, 27, 5351–5383. [Google Scholar] [CrossRef]
- Sun, X.; Ng, D.W.K.; Ding, Z.; Xu, Y.; Zhong, Z. Physical layer security in UAV systems: Challenges and opportunities. IEEE Wirel. Commun. 2019, 26, 40–47. [Google Scholar] [CrossRef]
- Wang, J.; Wang, X.; Gao, R.; Lei, C.; Feng, W.; Ge, N.; Jin, S.; Quek, T.Q.S. Physical layer security for UAV communications: A comprehensive survey. China Commun. 2022, 19, 77–115. [Google Scholar] [CrossRef]
- Li, J.; Kang, H.; Sun, G.; Liang, S.; Liu, Y.; Zhang, Y. Physical layer secure communications based on collaborative beamforming for UAV networks: A multi-objective optimization approach. In Proceedings of the IEEE INFOCOM 2021—IEEE Conference on Computer Communications, Vancouver, BC, Canada, 10–13 May 2021; pp. 1–10. [Google Scholar]
- Cao, K.; Ding, H.; Wang, B.; Lv, L.; Tian, J.; Wei, Q.; Gong, F. Enhancing physical-layer security for IoT with nonorthogonal multiple access assisted semi-grant-free transmission. IEEE Internet Things J. 2022, 9, 24669–24681. [Google Scholar] [CrossRef]
- Gao, N.; Han, Y.; Li, N.; Jin, S.; Matthaiou, M. When physical layer key generation meets RIS: Opportunities, challenges, and road ahead. IEEE Wirel. Commun. 2024, 31, 355–361. [Google Scholar] [CrossRef]
- Wu, M.; Xiao, Y.; Gao, Y.; Xiao, M. Throughput maximization for UAV-enabled mobile relaying systems. IEEE Trans. Wirel. Commun. 2016, 64, 4983–4996. [Google Scholar]
- Wang, Q.; Chen, Z.; Mei, W.; Fang, J. Improving physical layer security using UAV-enabled mobile relaying. IEEE Wirel. Commun. Lett. 2017, 6, 310–313. [Google Scholar] [CrossRef]
- Zhang, G.; Wu, Q.; Cui, M.; Zhang, R. Securing UAV communications via joint trajectory and power control. IEEE Trans. Wirel. Commun. 2019, 18, 1376–1389. [Google Scholar] [CrossRef]
- Yuan, Z.; Yang, Y.; Wang, D.; Ma, X. Energy-efficient trajectory optimization for UAV-enabled cellular communications based on physical-layer security. Aerospace 2022, 9, 50. [Google Scholar] [CrossRef]
- Wang, J.; Zhou, X.; Zhang, H.; Yuan, D. Joint trajectory design and power allocation for UAV assisted network with user mobility. IEEE Trans. Veh. Technol. 2023, 72, 13173–13189. [Google Scholar] [CrossRef]
- Rao, B.; Hu, J.; Al-Nahari, A.; Yang, K.; Jäntti, R. On the physical layer security of UAV-aided backscatter communications. IEEE Wirel. Commun. Lett. 2023, 13, 274–278. [Google Scholar] [CrossRef]
- Wang, D.; Bai, B.; Zhang, G.; Han, Z. Optimal placement of low-altitude aerial base station for securing communications. IEEE Wirel. Commun. Lett. 2019, 8, 869–872. [Google Scholar] [CrossRef]
- Wang, D.; Yang, Y. Joint obstacle avoidance and 3D deployment for securing UAV-enabled cellular communications. IEEE Access 2020, 8, 67813–67821. [Google Scholar] [CrossRef]
- Zhou, Y.; Yeoh, P.L.; Chen, H.; Li, Y.; Schober, R.; Zhuo, L.; Vucetic, B. Improving physical layer security via a UAV friendly jammer for unknown eavesdropper location. IEEE Trans. Wirel. Commun. 2018, 67, 11280–11284. [Google Scholar] [CrossRef]
- Chen, Y.; Liu, G.; Zhang, Z.; He, L.; He, S. Improving physical layer security for multi-UAV systems against hybrid wireless attacks. IEEE Trans. Veh. Technol. 2023, 73, 7034–7048. [Google Scholar] [CrossRef]
- Huang, S.; Huang, X.; Chen, W.; Zhao, S. Physical layer security of vehicular networks with cooperative jamming helpers. Phys. Commun. 2022, 53, 101762. [Google Scholar] [CrossRef]
- Li, A.; Zhang, W.; Dou, S. UAV-enabled secure data dissemination via artificial noise: Joint trajectory and communication optimization. IEEE Access 2020, 8, 102348–102356. [Google Scholar] [CrossRef]
- Li, B.; Zhang, M.; Rong, Y.; Han, Z. Artificial noise-aided secure relay communication with unknown channel knowledge of eavesdropper. IEEE Trans. Wirel. Commun. 2021, 20, 3168–3179. [Google Scholar] [CrossRef]










Disclaimer/Publisher’s Note: The statements, opinions and data contained in all publications are solely those of the individual author(s) and contributor(s) and not of MDPI and/or the editor(s). MDPI and/or the editor(s) disclaim responsibility for any injury to people or property resulting from any ideas, methods, instructions or products referred to in the content. |
© 2026 by the authors. Licensee MDPI, Basel, Switzerland. This article is an open access article distributed under the terms and conditions of the Creative Commons Attribution (CC BY) license.
Share and Cite
Hao, Y.; Xiang, Y.; Du, Q.; Li, X.; Ding, C.; Hou, D.; Tian, J. Optimization Method for Secrecy Capacity of UAV Relaying Based on Dynamic Adjustment of Power Allocation Factor. Sensors 2026, 26, 592. https://doi.org/10.3390/s26020592
Hao Y, Xiang Y, Du Q, Li X, Ding C, Hou D, Tian J. Optimization Method for Secrecy Capacity of UAV Relaying Based on Dynamic Adjustment of Power Allocation Factor. Sensors. 2026; 26(2):592. https://doi.org/10.3390/s26020592
Chicago/Turabian StyleHao, Yunqi, Youyang Xiang, Qilong Du, Xianglu Li, Chen Ding, Dong Hou, and Jie Tian. 2026. "Optimization Method for Secrecy Capacity of UAV Relaying Based on Dynamic Adjustment of Power Allocation Factor" Sensors 26, no. 2: 592. https://doi.org/10.3390/s26020592
APA StyleHao, Y., Xiang, Y., Du, Q., Li, X., Ding, C., Hou, D., & Tian, J. (2026). Optimization Method for Secrecy Capacity of UAV Relaying Based on Dynamic Adjustment of Power Allocation Factor. Sensors, 26(2), 592. https://doi.org/10.3390/s26020592

