Muscle Synergy Analysis of Different PAPE Protocols on Side Kick Performance in Elite Sanda Athletes: A Repeated Measures Study
Abstract
1. Introduction
2. Research Subjects and Methods
2.1. Research Subjects
2.2. Research Methods
2.2.1. Experimental Equipment
2.2.2. Test Actions
2.2.3. Intervention Methods and Intensity
2.2.4. Testing Muscle Selection
2.3. Data Acquisition
2.3.1. Vertical Jump Height Acquisition
2.3.2. Electromyography Data Acquisition
2.4. Data Processing
2.4.1. Data Extraction and Preprocessing
2.4.2. Muscle Synergy Extraction
2.4.3. Vertical Jump Height Analysis
2.4.4. Statistical Analysis
3. Results
3.1. Vertical Jump Height
3.2. Muscle Synergy
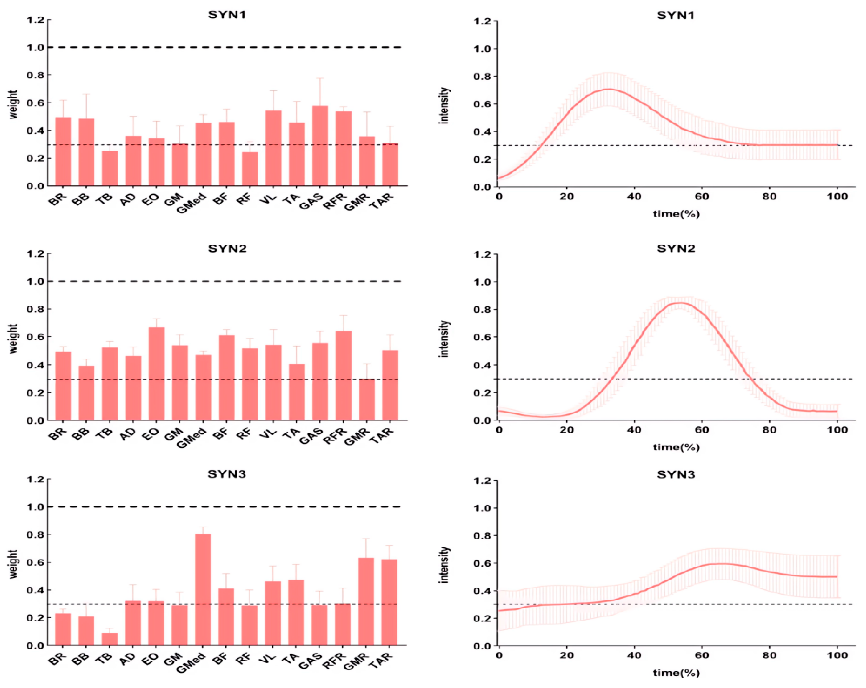
3.2.1. Muscle Activation Weights
3.2.2. Muscle Activation Coefficient
4. Discussion
4.1. Effects of Different PAPE Protocols on Vertical Jump Height and Mechanistic Analysis
4.2. Effects of Different PAPE Protocols on Lateral Kicking Muscle Synergy Patterns and the Role of Wearable Assessment
4.2.1. Spatial Reorganization of Muscle Synergies
4.2.2. Temporal Stability of Muscle Activation
4.3. Research Significance, Practical Value, and the Future of Wearable-Driven Training
5. Conclusions
Author Contributions
Funding
Institutional Review Board Statement
Data Availability Statement
Conflicts of Interest
References
- Harat, I.; Clark, N.W.; Boffey, D.; Herring, C.H.; Goldstein, E.R.; Redd, M.J.; Wells, A.J.; Stout, J.R.; Fukuda, D.H. Dynamic post-activation potentiation protocol improves rowing performance in experienced female rowers. J. Sports Sci. 2020, 38, 1615–1623. [Google Scholar] [CrossRef]
- Fischer, J.; Paternoster, F.K. Post-Activation-Performance Enhancement: Possible Contributing Factors. J. Sports Sci. Med. 2024, 23, 34–45. [Google Scholar] [CrossRef]
- Zhang, Y.; Diao, P.; Wang, J.; Li, S.; Fan, Q.; Han, Y.; Liang, Y.; Wang, Z.; Del Coso, J. The Effect of Post-Activation Potentiation Enhancement Alone or in Combination with Caffeine on Anaerobic Performance in Boxers: A Double-Blind, Randomized Crossover Study. Nutrients 2024, 16, 235. [Google Scholar] [CrossRef]
- Yang, C.; Shi, L.; Lu, Y.; Wu, H.; Yu, D. Post-activation Performance Enhancement of Countermovement Jump after Drop Jump versus Squat Jump Exercises in Elite Rhythmic Gymnasts. J. Sports Sci. Med. 2024, 23, 611–618. [Google Scholar] [CrossRef] [PubMed]
- Gepfert, M.; Golas, A.; Zajac, T.; Krzysztofik, M. The Use of Different Modes of Post-Activation Potentiation for Enhancing Speed of the Slide-Step in Basketball Players. Int. J. Environ. Res. Public Health 2020, 17, 5057. [Google Scholar] [CrossRef] [PubMed]
- Zhou, Z.; Morouço, P.G.; Dalamitros, A.A.; Chen, C.; Cui, W.; Wu, R.; Wang, J. Effects of two warm-up protocols on isokinetic knee strength, jumping ability and sprint swimming performance in competitive swimmers. Sci. Rep. 2024, 14, 28415. [Google Scholar] [CrossRef]
- Lei, Z.; Lv, W. Feature Extraction-Based Fitness Characteristics and Kinesiology of Wushu Sanda Athletes in University Analysis. Mathematical Problems in Engineering 2022, 2022, 5286730. [Google Scholar] [CrossRef]
- Li, Y.; Li, H.; Jiang, H. The Impact of Chinese Martial Arts Sanda Training on Cognitive Control and ERP: An EEG Sensors Study. Sensors 2025, 25, 5996. [Google Scholar] [CrossRef]
- Wang, X.; Li, H.; Chen, J. Neuromuscular Electrical Stimulation Enhances Lower Limb Muscle Synergies During Jumping in Martial Artists Post-Anterior Cruciate Ligament Reconstruction: A Randomized Crossover Trial. Bioengineering 2025, 12, 535. [Google Scholar] [CrossRef]
- Wang, G.; Li, H.; Huang, L. Predicting the Punching Force in Wushu Sanda After Neuromuscular Electrical Stimulation by Employing the KAN Neural Network Combined with Neuromuscular Electricity. Sensors 2025, 25, 5979. [Google Scholar] [CrossRef]
- Li, H.; Lin, X.; Wu, X. Impact of Neural network-quantified musical groove on cyclists’ joint coordination and muscle synergy: A repeated measures study. J. Neuroeng. Rehabil. 2025, 22, 233. [Google Scholar] [CrossRef]
- Xue, H.; Han, C.; Zhu, D. Limb biomechanics in combat sports: Insights from wearable sensor technology. Front. Bioeng. Biotechnol. 2025, 13, 1663592. [Google Scholar] [CrossRef] [PubMed]
- Lovell, R.; Knox, M.; Weston, M.; Siegler, J.C.; Brennan, S.; Marshall, P.W.M. Hamstring injury prevention in soccer: Before or after training? Scand. J. Med. Sci. Sports 2018, 28, 658–666. [Google Scholar] [CrossRef] [PubMed]
- Sañudo, B.; de Hoyo, M.; Haff, G.G.; Muñoz-López, A. Influence of Strength Level on the Acute Post-Activation Performance Enhancement Following Flywheel and Free Weight Resistance Training. Sensors 2020, 20, 7156. [Google Scholar] [CrossRef]
- Kotsifaki, R.; Sideris, V.; King, E.; Bahr, R.; Whiteley, R. Performance and symmetry measures during vertical jump testing at return to sport after ACL reconstruction. Br. J. Sports Med. 2023, 57, 1304–1310. [Google Scholar] [CrossRef]
- Gençoğlu, C.; Ulupınar, S.; Özbay, S.; Turan, M.; Savaş, B.Ç.; Asan, S.; İnce, İ. Validity and reliability of “My Jump app” to assess vertical jump performance: A meta-analytic review. Sci. Rep. 2023, 13, 20137. [Google Scholar] [CrossRef]
- Ouergui, I.; Delleli, S.; Messaoudi, H.; Chtourou, H.; Bouassida, A.; Bouhlel, E.; Franchini, E.; Ardigò, L.P. Acute Effects of Different Activity Types and Work-To-Rest Ratio on Post-Activation Performance Enhancement in Young Male and Female Taekwondo Athletes. Int. J. Environ. Res. Public Health 2022, 19, 1764. [Google Scholar] [CrossRef]
- Li, H.; Lin, X.; Wu, X. Dual-channel mechanism of groove music fused with Tai Chi to improve cognitive-emotional abilities in older adults based on a coupled fNIRS-EMG analysis: A randomized controlled study. GeroScience 2025, 47, 6583–6597. [Google Scholar] [CrossRef]
- Hug, F. Can muscle coordination be precisely studied by surface electromyography? J. Electromyogr. Kinesiol. 2011, 21, 1–12. [Google Scholar] [CrossRef] [PubMed]
- Oliveira, A.S.; Gizzi, L.; Farina, D.; Kersting, U.G. Motor modules of human locomotion: Influence of EMG averaging, concatenation, and number of step cycles. Front. Hum. Neurosci. 2014, 8, 335. [Google Scholar] [CrossRef]
- Lin, X.; Hu, Y.; Sheng, Y. The Effect of Electrical Stimulation Strength Training on Lower Limb Muscle Activation Characteristics During the Jump Smash Performance in Badminton Based on the EMS and EMG Sensors. Sensors 2025, 25, 577. [Google Scholar] [CrossRef] [PubMed]
- Labanca, L.; Rocchi, J.E.; Giannini, S.; Faloni, E.R.; Montanari, G.; Mariani, P.P.; Macaluso, A. Early Superimposed NMES Training is Effective to Improve Strength and Function Following ACL Reconstruction with Hamstring Graft regardless of Tendon Regeneration. J. Sports Sci. Med. 2022, 21, 91–103. [Google Scholar] [CrossRef]
- Toth, M.J.; Tourville, T.W.; Voigt, T.B.; Choquette, R.H.; Anair, B.M.; Falcone, M.J.; Failla, M.J.; Stevens-Lapslaey, J.E.; Endres, N.K.; Slauterbeck, J.R.; et al. Utility of Neuromuscular Electrical Stimulation to Preserve Quadriceps Muscle Fiber Size and Contractility After Anterior Cruciate Ligament Injuries and Reconstruction: A Randomized, Sham-Controlled, Blinded Trial. Am. J. Sports Med. 2020, 48, 2429–2437. [Google Scholar] [CrossRef]
- Labanca, L.; Rocchi, J.E.; Laudani, L.; Guitaldi, R.; Virgulti, A.; Mariani, P.P.; Macaluso, A. Neuromuscular Electrical Stimulation Superimposed on Movement Early after ACL Surgery. Med. Sci. Sports Exerc. 2018, 50, 407–416. [Google Scholar] [CrossRef] [PubMed]
- Verceles, A.C.; Serra, M.; Davis, D.; Alon, G.; Wells, C.L.; Parker, E.; Sorkin, J.; Bhatti, W.; Terrin, M.L. Combining exercise, protein supplementation and electric stimulation to mitigate muscle wasting and improve outcomes for survivors of critical illness-The ExPrES study. Heart Lung J. Crit. Care 2023, 58, 229–235. [Google Scholar] [CrossRef] [PubMed]
- Hoekstra, S.; King, J.A.; Fenton, J.; Kirk, N.; Willis, S.A.; Phillips, S.M.; Webborn, N.; Tolfrey, K.; Bosch, J.V.D.; Goosey-Tolfrey, V.L. The effect of home-based neuromuscular electrical stimulation-resistance training and protein supplementation on lean mass in persons with spinal cord injury: A pilot study. Physiol. Rep. 2024, 12, e70073. [Google Scholar] [CrossRef]
- Blagrove, R.C.; Holding, K.M.; Patterson, S.D.; Howatson, G.; Hayes, P.R. Efficacy of depth jumps to elicit a post-activation performance enhancement in junior endurance runners. J. Sci. Med. Sport 2019, 22, 239–244. [Google Scholar] [CrossRef]
- Heynen, R.; Gross, M.; Betschen, T.; Hübner, K. Post-Activation Performance Enhancement (PAPE) Increases Jumping Power in Elite Female Volleyball Athletes. Sports 2024, 12, 22. [Google Scholar] [CrossRef]
- Low, J.L.; Ahmadi, H.; Kelly, L.P.; Willardson, J.; Boullosa, D.; Behm, D.G. Prior Band-Resisted Squat Jumps Improves Running and Neuromuscular Performance in Middle-Distance Runners. J. Sports Sci. Med. 2019, 18, 301–315. [Google Scholar]
- Pechlivanos, R.G.; Amiridis, I.G.; Anastasiadis, N.; Kannas, T.; Sahinis, C.; Duchateau, J.; Enoka, R.M. Effects of plyometric training techniques on vertical jump performance of basketball players. Eur. J. Sport Sci. 2024, 24, 682–692. [Google Scholar] [CrossRef]
- Quan, G.; Xiao, H.; Chen, Y. Exploring the mechanisms influencing psychological adaptation in athletes in high-risk sports: A moderated mediation model. Sci. Rep. 2025, 15, 2259. [Google Scholar] [CrossRef] [PubMed]
- Mausehund, L.; Werkhausen, A.; Bartsch, J.; Krosshaug, T. Understanding Bench Press Biomechanics-The Necessity of Measuring Lateral Barbell Forces. J. Strength Cond. Res. 2022, 36, 2685–2695. [Google Scholar] [CrossRef] [PubMed]
- Seitz, L.B.; Mina, M.A.; Haff, G.G. A sled push stimulus potentiates subsequent 20-m sprint performance. J. Sci. Med. Sport 2017, 20, 781–785. [Google Scholar] [CrossRef]





| Age (Years) | Height (cm) | Weight (kg) | Training Duration (Years) | Dominant Leg |
|---|---|---|---|---|
| 22.5 ± 3.1 | 176.5 ± 6.2 | 70.2 ± 18.3 | 7.8 ± 2.5 | Right |
| Parameter | ESG (Electrical Stimulation + Squat) | RBG (Resistance Band) | SQG (Heavy Squat) |
|---|---|---|---|
| Primary Exercise | Barbell Back Squat | Band-Resisted Lateral Steps | Barbell Back Squat |
| Additional Stimulation | Synchronized Neuromuscular Electrical Stimulation (NMES) on quadriceps | None | None |
| Exercise Description | Squat synchronized with NMES | Band placed above knees; lateral stepping with controlled knee flexion (100–120°) | Squat with controlled depth (knee flexion < 90°) |
| Load Intensity | 70% of 1RM | 20% of Body Weight | 90% of 1RM |
| NMES Parameters | 80 Hz, 400 µs, 90% of maximal tolerated intensity | / | / |
| Volume | 3 sets × 3 repetitions | 3 sets × 15 m | 3 sets × 3 repetitions |
| Inter-set Rest | 3 min | 2 min | 3 min |
| Testing Time Point | SQG | RBG | ESG | F-Value/p-Value | Post Hoc Comparison (p < 0.05) |
|---|---|---|---|---|---|
| 6 min after intervention | 46.5 ± 3.2 | 47.0 ± 2.9 | 49.1 ± 2.8 | F = 8.74, p = 0.002 | ESG > SQG, ESG > RBG |
| 8 min after the intervention | 47.8 ± 3.1 | 46.2 ± 3.0 | 48.9 ± 2.7 | F = 9.31, p = 0.001 | ESG > RBG, SQG > RBG |
| 10 min after the intervention | 46.2 ± 3.3 | 45.7 ± 3.1 | 47.5 ± 2.9 | F = 4.12, p = 0.032 | ESG > RBG |
| Muscle | Synergy | ESG | RBG | SQG |
|---|---|---|---|---|
| AD | SYN1 | 0.58 ± 0.23 | 0.36 ± 0.32 | 0.40 ± 0.30 |
| BB | 0.52 ± 0.19 | 0.48 ± 0.40 | 0.41 ± 0.28 | |
| BF | 0.51 ± 0.21 | 0.46 ± 0.21 | 0.45 ± 0.16 | |
| BR | 0.34 ± 0.30 | 0.49 ± 0.28 | 0.30 ± 0.31 | |
| EO | 0.22 ± 0.14 | 0.34 ± 0.27 | 0.27 ± 0.17 | |
| GAS | 0.42 ± 0.06 | 0.58 ± 0.44 | 0.64 ± 0.26 | |
| GM | 0.09 ± 0.14 | 0.31 ± 0.29 | 0.19 ± 0.06 | |
| GMR | 0.20 ± 0.08 | 0.36 ± 0.40 | 0.14 ± 0.21 | |
| GMed | 0.21 ± 0.24 | 0.45 ± 0.14 | 0.25 ± 0.25 | |
| RF | 0.22 ± 0.21 | 0.24 ± 0.17 | 0.21 ± 0.17 | |
| RFR | 0.84 ± 0.06 *a | 0.54 ± 0.07 | 0.79 ± 0.07 *c | |
| TA | 0.39 ± 0.23 | 0.46 ± 0.34 | 0.32 ± 0.20 | |
| TAR | 0.35 ± 0.23 | 0.31 ± 0.28 | 0.37 ± 0.22 | |
| TB | 0.32 ± 0.24 | 0.25 ± 0.10 | 0.20 ± 0.27 | |
| VL | 0.35 ± 0.20 | 0.54 ± 0.32 | 0.50 ± 0.32 | |
| AD | SYN2 | 0.56 ± 0.07 | 0.46 ± 0.16 | 0.54 ± 0.36 |
| BB | 0.42 ± 0.22 | 0.39 ± 0.13 | 0.40 ± 0.13 | |
| BF | 0.43 ± 0.16 | 0.61 ± 0.12 | 0.60 ± 0.27 | |
| BR | 0.44 ± 0.17 | 0.50 ± 0.08 | 0.34 ± 0.15 | |
| EO | 0.68 ± 0.17 | 0.67 ± 0.17 | 0.71 ± 0.12 | |
| GAS | 0.48 ± 0.23 | 0.55 ± 0.22 | 0.52 ± 0.27 | |
| GM | 0.81 ± 0.21 *a | 0.53 ± 0.40 | 0.73 ± 0.14 | |
| GMR | 0.38 ± 0.21 | 0.30 ± 0.28 | 0.28 ± 0.34 | |
| GMed | 0.29 ± 0.29 | 0.47 ± 0.07 | 0.34 ± 0.29 | |
| RF | 0.77 ± 0.208 *a | 0.53 ± 0.23 | 0.78 ± 0.18 *c | |
| RFR | 0.81 ± 0.15 | 0.62 ± 0.27 | 0.79 ± 0.29 | |
| TA | 0.50 ± 0.12 | 0.41 ± 0.34 | 0.55 ± 0.34 | |
| TAR | 0.50 ± 0.23 | 0.51 ± 0.28 | 0.55 ± 0.31 | |
| TB | 0.63 ± 0.20 | 0.52 ± 0.12 | 0.58 ± 0.34 | |
| VL | 0.31 ± 0.30 | 0.54 ± 0.30 *a | 0.43 ± 0.28 | |
| AD | SYN3 | 0.26 ± 0.26 | 0.32 ± 0.32 | 0.29 ± 0.41 |
| BB | 0.19 ± 0.20 | 0.21 ± 0.28 | 0.17 ± 0.11 | |
| BF | 0.29 ± 0.14 | 0.41 ± 0.30 | 0.24 ± 0.08 | |
| BR | 0.24 ± 0.16 | 0.23 ± 0.09 | 0.25 ± 0.18 | |
| EO | 0.25 ± 0.23 | 0.32 ± 0.24 | 0.17 ± 0.14 | |
| GAS | 0.24 ± 0.19 | 0.29 ± 0.30 | 0.25 ± 0.16 | |
| GM | 0.29 ± 0.36 | 0.29 ± 0.27 | 0.18 ± 0.07 | |
| GMR | 0.58 ± 0.32 | 0.63 ± 0.39 | 0.67 ± 0.10 | |
| GMed | 0.56 ± 0.17 | 0.80 ± 0.14 *a | 0.55 ± 0.04 | |
| RF | 0.30 ± 0.47 | 0.29 ± 0.32 | 0.15 ± 0.12 | |
| RFR | 0.27 ± 0.29 | 0.30 ± 0.31 | 0.17 ± 0.07 | |
| TA | 0.40 ± 0.30 | 0.47 ± 0.32 | 0.26 ± 0.29 | |
| TAR | 0.51 ± 0.39 | 0.62 ± 0.28 | 0.58 ± 0.06 | |
| TB | 0.19 ± 0.20 | 0.09 ± 0.10 | 0.10 ± 0.04 | |
| VL | 0.33 ± 0.43 | 0.46 ± 0.31 | 0.34 ± 0.26 |
| Synergy | Parameters | ESG | RBG | SQG |
|---|---|---|---|---|
| SYN1 | Activation Duration T | 166.33 ± 70.73 | 134.89 ± 74.23 | 192.40 ± 34.02 |
| Peak Moment Tmax | 27.33 ± 7.09 | 32.44 ± 14.30 | 25.00 ± 4.69 | |
| The Moment Begins Tstart | 4.83 ± 8.54 | 6.67 ± 7.83 | 1.60 ± 3.58 | |
| The End Tstop | 92.67 ± 17.96 | 88.89 ± 21.63 | 100.00 ± 0.00 | |
| SYN2 | Activation Duration T | 137.20 ± 24.16 | 118.14 ± 38.24 | 108.38 ± 44.91 |
| Peak Moment Tmax | 48.60 ± 5.46 | 49.71 ± 7.32 | 48.88 ± 7.18 | |
| The Moment Begins Tstart | 30.00 ± 4.58 | 31.29 ± 7.45 | 30.38 ± 7.37 | |
| The End Tstop | 89.40 ± 14.72 | 89.29 ± 13.60 | 86.00 ± 15.65 | |
| SYN3 | Activation Duration T | 197.29 ± 61.52 | 186.50 ± 64.61 | 155.64 ± 76.91 |
| Peak Moment Tmax | 32.86 ± 28.07 | 34.50 ± 26.40 | 36.82 ± 28.69 | |
| The Moment Begins Tstart | 0.00 ± 0.00 | 2.88 ± 8.13 | 7.00 ± 12.33 | |
| The End Tstop | 96.86 ± 8.32 | 97.25 ± 7.78 | 95.36 ± 10.43 |
Disclaimer/Publisher’s Note: The statements, opinions and data contained in all publications are solely those of the individual author(s) and contributor(s) and not of MDPI and/or the editor(s). MDPI and/or the editor(s) disclaim responsibility for any injury to people or property resulting from any ideas, methods, instructions or products referred to in the content. |
© 2026 by the authors. Licensee MDPI, Basel, Switzerland. This article is an open access article distributed under the terms and conditions of the Creative Commons Attribution (CC BY) license.
Share and Cite
Ning, Z.; Chen, Z.; Zhou, T. Muscle Synergy Analysis of Different PAPE Protocols on Side Kick Performance in Elite Sanda Athletes: A Repeated Measures Study. Sensors 2026, 26, 296. https://doi.org/10.3390/s26010296
Ning Z, Chen Z, Zhou T. Muscle Synergy Analysis of Different PAPE Protocols on Side Kick Performance in Elite Sanda Athletes: A Repeated Measures Study. Sensors. 2026; 26(1):296. https://doi.org/10.3390/s26010296
Chicago/Turabian StyleNing, Ziwen, Zihao Chen, and Tianfen Zhou. 2026. "Muscle Synergy Analysis of Different PAPE Protocols on Side Kick Performance in Elite Sanda Athletes: A Repeated Measures Study" Sensors 26, no. 1: 296. https://doi.org/10.3390/s26010296
APA StyleNing, Z., Chen, Z., & Zhou, T. (2026). Muscle Synergy Analysis of Different PAPE Protocols on Side Kick Performance in Elite Sanda Athletes: A Repeated Measures Study. Sensors, 26(1), 296. https://doi.org/10.3390/s26010296
