Adaptive Periodic Speed Fluctuation Suppression for Permanent Magnet Compressor Drives
Abstract
1. Introduction
2. Load Torque Fluctuation in Compressors
3. Proposed Method
3.1. The APSFSM
3.2. The Convergence Analysis
3.2.1. Convergence Proof
3.2.2. Implementation Considerations
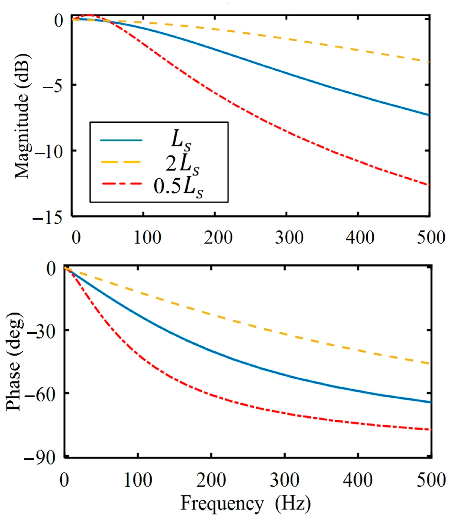
3.2.3. Parameter Tuning of the Proposed Compensation Method
4. Experimental Verification
4.1. Basic Compensation Result Analysis
4.2. Robustness Analysis
5. Conclusions
Author Contributions
Funding
Institutional Review Board Statement
Informed Consent Statement
Data Availability Statement
Conflicts of Interest
References
- Hu, B.; Huang, Z. Linear Quadratic Extended State Observer Based Load Torque Compensation for PMSM in a Single Rotor Compressor. In Proceedings of the 2019 22nd International Conference on Electrical Machines and Systems (ICEMS), Harbin, China, 11–14 August 2019; pp. 1–4. [Google Scholar]
- Gu, B.-G.; Choi, J.-H.; Jung, I.-S. Online load torque compensator for single rolling piston compressor. In Proceedings of the 8th International Conference on Power Electronics—ECCE Asia, Jeju, Republic of Korea; 2011; pp. 2720–2724. [Google Scholar] [CrossRef]
- Feng, G.; Lai, C.; Tan, X.; Wang, B.; Kar, N.C. Optimal Current Modeling and Identification for Fast and Efficient Torque Ripple Minimization of PMSM Using Theoretical and Experimental Models. IEEE Trans. Ind. Electron. 2021, 68, 11806–11816. [Google Scholar] [CrossRef]
- Wang, G.; Valla, M.I.; Solsona, J.A. Position Sensorless Permanent Magnet Synchronous Machine Drives—A Review. IEEE Trans. Ind. Electron. 2020, 67, 5830–5842. [Google Scholar] [CrossRef]
- Francis, B.A.; Wonham, W.M. The internal model principle for linear multivariable regulators. Appl. Math. Optim. 1975, 2, 170–194. [Google Scholar] [CrossRef]
- Yepes, A.G.; Freijedo, F.D.; Lopez, Ó.; Doval-Gandoy, J. Analysis and Design of Resonant Current Controllers for Voltage-Source Converters by Means of Nyquist Diagrams and Sensitivity Function. IEEE Trans. Ind. Electron. 2011, 58, 5231–5250. [Google Scholar] [CrossRef]
- Hara, S.; Yamamoto, Y.; Omata, T.; Nakano, M. Repetitive control system: A new type servo system for periodic exogenous signals. IEEE Trans. Autom. Control 1988, 33, 659–668. [Google Scholar] [CrossRef]
- Bristow, D.A.; Tharayil, M.; Alleyne, A.G. A survey of iterative learning control. IEEE Control Syst. Mag. 2006, 26, 96–114. [Google Scholar]
- Bi, G.; Zhang, G.; Wang, G.; Wang, Q.; Hu, Y.; Xu, D. Adaptive Iterative Learning Control-Based Rotor Position Harmonic Error Suppression Method for Sensorless PMSM Drives. IEEE Trans. Ind. Electron. 2022, 69, 10870–10881. [Google Scholar] [CrossRef]
- Hou, Q.; Wang, H.; Zhao, C.; Xu, S.; Zuo, Y.; Lee, C.H.T.; Ding, S. Super-Twisting Extended State Observer-Based Quasi-Proportional-Resonant Controller for Permanent Magnet Synchronous Motor Drive System. IEEE Trans. Transp. Electrific. 2024, 10, 1596–1604. [Google Scholar] [CrossRef]
- Amini, B.; Rastegar, H.; Pichan, M. An optimized proportional resonant current controller based genetic algorithm for enhancing shunt active power filter performance. Int. J. Electr. Power Energy Syst. 2024, 156, 109738. [Google Scholar] [CrossRef]
- Xia, C.; Ji, B.; Yan, Y. Smooth speed control for low-speed high-torque permanent-magnet synchronous motor using proportional-integral-resonant controller. IEEE Trans. Ind. Electron. 2015, 62, 2123–2134. [Google Scholar] [CrossRef]
- Tian, M.; Wang, B.; Yu, Y.; Dong, Q.; Xu, D. Robust Adaptive Resonant Controller for PMSM Speed Regulation Considering Uncertain Periodic and Aperiodic Disturbances. IEEE Trans. Ind. Electron. 2023, 70, 3362–3372. [Google Scholar] [CrossRef]
- Hu, M.; Hua, W.; Wang, Z.; Li, S.; Wang, P.; Wang, Y. Selective Periodic Disturbance Elimination Using Extended Harmonic State Observer for Smooth Speed Control in PMSM Drives. IEEE Trans. Power Electron. 2022, 37, 13288–13298. [Google Scholar] [CrossRef]
- Yang, Y.; Zhou, K.; Cheng, M.; Zhang, B. Phase Compensation Multiresonant Control of CVCF PWM Converters. IEEE Trans. Power Electron. 2013, 28, 3923–3930. [Google Scholar] [CrossRef]
- Cui, Y.; Yin, Z.; Luo, P.; Yuan, D.; Liu, J. Linear Active Disturbance Rejection Control of IPMSM Based on Quasi-Proportional Resonance and Disturbance Differential Compensation Linear Extended State Observer. IEEE Trans. Ind. Electron. 2024, 71, 11910–11924. [Google Scholar] [CrossRef]
- Wang, B.; Tian, M.; Yu, Y.; Dong, Q.; Xu, D. Enhanced ADRC With Quasi-Resonant Control for PMSM Speed Regulation Considering Aperiodic and Periodic Disturbances. IEEE Trans. Transp. Electrific. 2022, 8, 3568–3577. [Google Scholar] [CrossRef]
- Wang, Z.; Zhao, J.; Wang, L.; Li, M.; Hu, Y. Combined Vector Resonant and Active Disturbance Rejection Control for PMSLM Current Harmonic Suppression. IEEE Trans. Ind. Inform. 2020, 16, 5691–5702. [Google Scholar] [CrossRef]
- Liu, Z.; Zhang, B.; Zhou, K.; Yang, Y.; Wang, J. Virtual Variable Sampling Repetitive Control of Single-Phase DC/AC PWM Converters. IEEE J. Emerg. Sel. Top. Power Electron. 2019, 7, 1837–1845. [Google Scholar] [CrossRef]
- Liu, Z.; Zhou, K.; Yang, Y.; Wang, J.; Zhang, B. Frequency-Adaptive Virtual Variable Sampling-Based Selective Harmonic Repetitive Control of Power Inverters. IEEE Trans. Ind. Electron. 2021, 68, 11339–11347. [Google Scholar] [CrossRef]
- Liu, Z.; Zhang, B.; Zhou, K.; Wang, J. Virtual Variable Sampling Discrete Fourier Transform Based Selective Odd-Order Harmonic Repetitive Control of DC/AC Converters. IEEE Trans. Power Electron. 2018, 33, 6444–6452. [Google Scholar] [CrossRef]
- Tang, M.; Formentini, A.; Odhano, S.A.; Zanchetta, P. Torque Ripple Reduction of PMSMs Using a Novel Angle-Based Repetitive Observer. IEEE Trans. Ind. Electron. 2020, 67, 2689–2699. [Google Scholar] [CrossRef]
- Fei, Q.; Deng, Y.; Li, H.; Liu, J.; Shao, M. Speed Ripple Minimization of Permanent Magnet Synchronous Motor Based on Model Predictive and Iterative Learning Controls. IEEE Access 2019, 7, 31791–31800. [Google Scholar] [CrossRef]
- Chen, S.; Zhao, Q.; Ye, Y.; Qu, B. Using IIR Filter in Fractional Order Phase Lead Compensation PIMR-RC for Grid-Tied Inverters. IEEE Trans. Ind. Electron. 2023, 70, 9399–9409. [Google Scholar] [CrossRef]
- Wang, M.; Kang, K.; Zhang, C.; Li, L. Precise Position Control in Air-Bearing PMLSM System Using an Improved Anticipatory Fractional-Order Iterative Learning Control. IEEE Trans. Ind. Electron. 2024, 71, 6073–6083. [Google Scholar] [CrossRef]
- Han, B.; Lai, J.-S.; Kim, M. Down-Sampled Repetitive Controller for Grid-Connected Ćuk CCM Inverter. IEEE Trans. Emerg. Sel. Top. Power Electron. 2022, 10, 1125–1137. [Google Scholar]
- Li, M.; Xiong, J.; Cheng, R.; Zhu, Y.; Yang, K.; Sun, F. Rational Feedforward Tuning Using Variance-Optimal Instrumental Variables Method Based on Dual-Loop Iterative Learning Control. IEEE Trans. Ind. Inform. 2023, 19, 2585–2595. [Google Scholar] [CrossRef]
- Rafaq, M.S.; Midgley, W.; Steffen, T. A Review of the State of the Art of Torque Ripple Minimization Techniques for Permanent Magnet Synchronous Motors. IEEE Trans. Ind. Inform. 2024, 20, 1019–1031. [Google Scholar] [CrossRef]
- Zuo, Y.; Mei, J.; Jiang, C.; Yuan, X.; Xie, S.; Lee, C.H.T. Linear Active Disturbance Rejection Controllers for PMSM Speed Regulation System Considering the Speed Filter. IEEE Trans. Power Electron. 2021, 36, 14579–14592. [Google Scholar] [CrossRef]
- Wang, Y.; Yu, H.; Liu, Y. Speed-current single-loop control with overcurrent protection for PMSM based on time-varying nonlinear disturbance observer. IEEE Trans. Ind. Electron. 2022, 69, 179–189. [Google Scholar] [CrossRef]
- Yildiz, R.; Barut, M.; Zerdali, E. A Comprehensive Comparison of Extended and Unscented Kalman Filters for Speed-Sensorless Control Applications of Induction Motors. IEEE Trans. Ind. Inform. 2020, 16, 6423–6432. [Google Scholar] [CrossRef]
- Dash, P.K.; Hasan, S. A Fast Recursive Algorithm for the Estimation of Frequency, Amplitude, and Phase of Noisy Sinusoid. IEEE Trans. Power Electron. 2011, 58, 4847–4856. [Google Scholar] [CrossRef]
- Hao, Z.; Tian, Y.; Yang, Y.; Gong, Y.; Hao, Z.; Zhang, C.; Song, H.; Zhang, J. An Adaptive Angle Error Compensator for IPMSMs With Periodic Loads in the Flux Weakening Region. IEEE Trans. Power Electron. 2022, 37, 4484–4496. [Google Scholar]
- Wang, S.; Zhang, G.; Wang, Q.; Ding, D.; Bi, G.; Li, B.; Wang, G.; Xu, D. Torque Disturbance Compensation Method Based on Adaptive Fourier-Transform for Permanent Magnet Compressor Drives. IEEE Trans. Power Electron. 2023, 38, 3612–3623. [Google Scholar] [CrossRef]















| Symbol | Parameter | Value with Unit |
|---|---|---|
| Rated power | 650 W | |
| Rated voltage | AC 220 V | |
| Number of pole pairs | 3 | |
| Rated rotor speed | 3600 rpm | |
| Minimum speed | 900 rpm | |
| Stator resistance | 0.825 | |
| d-axis inductance | 11.4 mH | |
| q-axis inductance | 15.2 mH | |
| Inertia constant | 0.000286 kg | |
| Torque constant | 0.45 Nm/A | |
| Demagnetization current | 21.5 A | |
| Execution frequency 1 | 8 kHz |
| Speed (rpm) | Suction Side (MPa) | Exhaust Side (MPa) |
|---|---|---|
| 1200 | 0.5 | 2.1 |
| 1800 | 0.35 | 2.2 |
| 2400 | 0.33 | 2.5 |
| 3600 | 0.28 | 2.9 |
| Speed (rpm) | Without | QPRC | ABRC | APSFSM |
|---|---|---|---|---|
| 1200 | 38.79% | 0.52% | 5.66% | 0.01% |
| 1800 | 23.08% | 0.17% | 3.11% | 0.05% |
| 2400 | 10.78% | 0.16% | 1.41% | 0.08% |
| 3600 | 7% | 0.22% | 0.72% | 0.08% |
Disclaimer/Publisher’s Note: The statements, opinions and data contained in all publications are solely those of the individual author(s) and contributor(s) and not of MDPI and/or the editor(s). MDPI and/or the editor(s) disclaim responsibility for any injury to people or property resulting from any ideas, methods, instructions or products referred to in the content. |
© 2025 by the authors. Licensee MDPI, Basel, Switzerland. This article is an open access article distributed under the terms and conditions of the Creative Commons Attribution (CC BY) license (https://creativecommons.org/licenses/by/4.0/).
Share and Cite
Zhang, C.; Yang, Y.; Gong, Y.; Guo, Y.; Song, H.; Zhang, J. Adaptive Periodic Speed Fluctuation Suppression for Permanent Magnet Compressor Drives. Sensors 2025, 25, 2074. https://doi.org/10.3390/s25072074
Zhang C, Yang Y, Gong Y, Guo Y, Song H, Zhang J. Adaptive Periodic Speed Fluctuation Suppression for Permanent Magnet Compressor Drives. Sensors. 2025; 25(7):2074. https://doi.org/10.3390/s25072074
Chicago/Turabian StyleZhang, Chenchen, Yang Yang, Yimin Gong, Yibo Guo, Hongda Song, and Jiannan Zhang. 2025. "Adaptive Periodic Speed Fluctuation Suppression for Permanent Magnet Compressor Drives" Sensors 25, no. 7: 2074. https://doi.org/10.3390/s25072074
APA StyleZhang, C., Yang, Y., Gong, Y., Guo, Y., Song, H., & Zhang, J. (2025). Adaptive Periodic Speed Fluctuation Suppression for Permanent Magnet Compressor Drives. Sensors, 25(7), 2074. https://doi.org/10.3390/s25072074
