From Wearable Sensor Networks to Markerless Motion Capture for Instrumental-Based Biomechanical Risk Assessment in Lifting Activities
Abstract
1. Introduction
2. Materials and Methods
2.1. Subjects
2.2. Kinematics Recordings
2.2.1. IMUs
2.2.2. Infrared Cameras
2.3. Experimental Procedures
2.4. Data Pre-Processing
2.4.1. Wearable Sensor Network
2.4.2. Markerless
2.5. Data Analysis
- start and stop indicate the beginning and the end of the cycle, respectively.
- is the midpoint between the left and right third knuckles.
- is the midpoint between the left and right ankles.
- is the horizontal distance, at the start instant, between the ground projections of and .
- is the vertical height of above the floor at the start of the cycle.
- D is the vertical travel distance, computed as the difference between the heights of at the stop and start instants.
- and are the asymmetry angles between the subject’s sagittal plane and the centre of the load at the stop and start instants.
2.6. Statistical Analysis
2.7. Integration with Skeleton-Based Action Recognition
3. Results
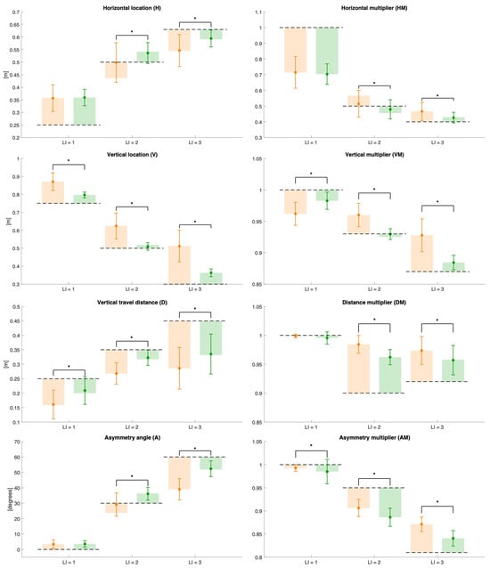
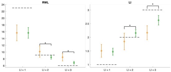
3.1. Rating of Revised NIOSH Variables
3.2. Automatic Risk Classification Performance
4. Discussion
5. Conclusions
Author Contributions
Funding
Institutional Review Board Statement
Informed Consent Statement
Data Availability Statement
Acknowledgments
Conflicts of Interest
References
- Gutierrez, M.; Gomez, B.; Retamal, G.; Peña, G.; Germany, E.; Ortega-Bastidas, P.; Aqueveque, P. Comparing Optical and Custom IoT Inertial Motion Capture Systems for Manual Material Handling Risk Assessment Using the NIOSH Lifting Index. Technologies 2024, 12, 180. [Google Scholar] [CrossRef]
- McDevitt, S.; Hernandez, H.; Hicks, J.; Lowell, R.; Bentahaikt, H.; Burch, R.; Ball, J.; Chander, H.; Freeman, C.; Taylor, C.; et al. Wearables for Biomechanical Performance Optimization and Risk Assessment in Industrial and Sports Applications. Bioengineering 2022, 9, 33. [Google Scholar] [CrossRef]
- Ranavolo, A.; Draicchio, F.; Varrecchia, T.; Silvetti, A.; Iavicoli, S. Wearable Monitoring Devices for Biomechanical Risk Assessment at Work: Current Status and Future Challenges-A Systematic Review. Int. J. Environ. Res. Public Health 2018, 15, 2001. [Google Scholar] [CrossRef]
- Svertoka, E.; Rusu-Casandra, A.; Marghescu, I. State-of-the-Art of Industrial Wearables: A Systematic Review. In Proceedings of the 2020 13th International Conference on Communications (COMM), Bucharest, Romania, 18–20 June 2020; pp. 411–415. [Google Scholar]
- CWA 17938:2023; Guideline for Introducing and Implementing Real-Time Instrumental-Based Tools for Biomechanical Risk Assessment. 2023. Available online: https://www.cencenelec.eu/get-involved/research-and-innovation/horizon-europe-projects/cwa-download-area/ (accessed on 29 November 2023).
- Cherubini, A.; Navarro, B.; Passama, R.; Tarbouriech, S.; Elprama, S.A.; Jacobs, A.; Niihau, S.; Wischniewski, S.; Tönis, F.J.; Siahaya, P.L.; et al. Interdisciplinary evaluation of a robot physically collaborating with workers. PLoS ONE 2023, 18, e0291410. [Google Scholar] [CrossRef]
- Peppoloni, L.; Filippeschi, A.; Ruffaldi, E. Assessment of task ergonomics with an upper limb wearable device. In Proceedings of the 22nd Mediterranean Conference on Control and Automation, Palermo, Italy, 16–19 June 2014; pp. 340–345. [Google Scholar]
- Vignais, N.; Miezal, M.; Bleser, G.; Mura, K.; Gorecky, D.; Marin, F. Innovative system for real-time ergonomic feedback in industrial manufacturing. Appl. Ergon. 2013, 44, 566–574. [Google Scholar] [CrossRef]
- Ranavolo, A.; Ajoudani, A.; Cherubini, A.; Bianchi, M.; Fritzsche, L.; Iavicoli, S.; Sartori, M.; Silvetti, A.; Vanderborght, B.; Varrecchia, T.; et al. The Sensor-Based Biomechanical Risk Assessment at the Base of the Need for Revising of Standards for Human Ergonomics. Sensors 2020, 20, 5750. [Google Scholar] [CrossRef]
- Armstrong, T.J.; Burdorf, A.; Descatha, A.; Farioli, A.; Graf, M.; Horie, S.; Marras, W.S.; Potvin, J.R.; Rempel, D.; Spatari, G.; et al. Scientific basis of ISO standards on biomechanical risk factors. Scand. J. Work. Environ. Health 2018, 44, 323–329. [Google Scholar] [CrossRef]
- Armstrong, T.J.; Burdorf, A.; Descatha, A.; Farioli, A.; Graf, M.; Horie, S.; Marras, W.S.; Potvin, J.R.; Rempel, D.; Spatari, G.; et al. Letter to the editor concerning OCRA as preferred method in ISO standards on biomechanical risk factors. Scand. J. Work. Environ. Health 2018, 44, 439–440. [Google Scholar] [CrossRef]
- Colombini, D.; Occhipinti, E. Scientific basis of the OCRA method for risk assessment of biomechanical overload of upper limb, as preferred method in ISO standards on biomechanical risk factors. Scand. J. Work. Environ. Health 2018, 44, 436–438. [Google Scholar] [CrossRef] [PubMed]
- Botti, L.; Melloni, R. Occupational Exoskeletons: Understanding the Impact on Workers and Suggesting Guidelines for Practitioners and Future Research Needs. Appl. Sci. 2024, 14, 84. [Google Scholar] [CrossRef]
- Flor-Unda, O.; Casa, B.; Fuentes, M.; Solorzano, S.; Narvaez-Espinoza, F.; Acosta-Vargas, P. Exoskeletons: Contribution to Occupational Health and Safety. Bioengineering 2023, 10, 1039. [Google Scholar] [CrossRef]
- Drees, T.; Luttmer, J.; Nagarajah, A. A framework for the systematic selection of occupational exoskeletons. Procedia CIRP 2023, 119, 1134–1139. [Google Scholar] [CrossRef]
- Crea, S.; Beckerle, P.; De Looze, M.; De Pauw, K.; Grazi, L.; Kermavnar, T.; Masood, J.; O’Sullivan, L.W.; Pacifico, I.; Rodriguez-Guerrero, C.; et al. Occupational exoskeletons: A roadmap toward large-scale adoption. Methodology and challenges of bringing exoskeletons to workplaces. Wearable Technol. 2021, 2, e11. [Google Scholar] [CrossRef]
- Ajoudani, A.; Albrecht, P.; Bianchi, M.; Cherubini, A.; Del Ferraro, S.; Fraisse, P.; Fritzsche, L.; Garabini, M.; Ranavolo, A.; Rosen, P.H.; et al. Smart collaborative systems for enabling flexible and ergonomic work practices. IEEE Robot. Autom. 2020, 27, 169–176. [Google Scholar] [CrossRef]
- Ranavolo, A.; Ajoudani, A.; Chini, G.; Lorenzini, M.; Varrecchia, T. Adaptive Lifting Index (aLI) for Real-Time Instrumental Biomechanical Risk Assessment: Concepts, Mathematics, and First Experimental Results. Sensors 2024, 24, 1474. [Google Scholar] [CrossRef]
- Lorenzini, M.; Gandarias, J.M.; Fortini, L.; Kim, W.; Ajoudani, A. ErgoTac-Belt: Anticipatory Vibrotactile Feedback to Lead Centre of Pressure during Walking. In Proceedings of the IEEE RAS and EMBS International Conference on Biomedical Robotics and Biomechatronics, Seoul, Republic of Korea, 21–24 August 2022; pp. 1–6. [Google Scholar]
- Aggravi, M.; Salvietti, G.; Prattichizzo, D. Haptic wrist guidance using vibrations for Human-Robot teams. In Proceedings of the 25th IEEE International Symposium on Robot and Human Interactive Communication (RO-MAN), New York, NY, USA, 26–31 August 2016; pp. 113–118. [Google Scholar]
- Zeng, Y.; Sun, X.; Zhang, J.; Chang, C.F.; Liu, B.; Gong, C.; Ji, J.; Zhang, B.Z.; Wang, Y.; Ren, M.X.; et al. High-Frequency Wearable Ultrasound Array Belt for Small Animal Echocardiography. IEEE Trans. Ultrason. Ferroelectr. Freq. Control 2024, 71, 1915–1923. [Google Scholar] [CrossRef]
- Salisu, S.; Ruhaiyem, N.I.R.; Eisa, T.A.E.; Nasser, M.; Saeed, F.; Younis, H.A. Motion Capture Technologies for Ergonomics: A Systematic Literature Review. Diagnostics 2023, 13, 2593. [Google Scholar] [CrossRef] [PubMed]
- Schall, J.M.C.; Sesek, R.F.; Cavuoto, L.A. Barriers to the Adoption of Wearable Sensors in the Workplace: A Survey of Occupational Safety and Health Professionals. Hum. Factors 2018, 60, 351–362. [Google Scholar] [CrossRef]
- Scott, B.; Seyres, M.; Philip, F.; Chadwick, E.K.; Blana, D. Healthcare applications of single camera markerless motion capture: A scoping review. PeerJ. 2022, 10, e13517. [Google Scholar] [CrossRef]
- Desmarais, Y.; Mottet, D.; Slangen, P.; Montesinos, P. A review of 3D human pose estimation algorithms for markerless motion capture. Comput. Vis. Image Underst. 2022, 212, 103275. [Google Scholar] [CrossRef]
- Bray, J. Markerless Based Human Motion Capture: A Survey. 2000. Available online: https://citeseerx.ist.psu.edu/document?repid=rep1&type=pdf&doi=6b31e5351901c6429c3d11c85c11420fee936911 (accessed on 12 November 2024).
- Garg, A.; Boda, S.; Hegmann, K.T.; Moore, J.S.; Kapellusch, J.M.; Bhoyar, P.; These, M.S.; Merryweather, A.; Deckow-Schaefer, G.; Bloswick, D.; et al. The NIOSH lifting equation and low-back pain, Part 1: Association with low-back pain in the backworks prospective cohort study. Hum. Factors 2014, 56, 6–28. [Google Scholar] [CrossRef]
- Waters, T.R.; Lu, M.L.; Piacitelli, L.A.; Werren, D.; Deddens, J.A. Efficacy of the revised NIOSH lifting equation to predict risk of low back pain due to manual lifting: Expanded cross-sectional analysis. J. Occup. Environ. Med. 2011, 53, 1061–1067. [Google Scholar] [CrossRef]
- Waters, T.R.; Baron, S.L.; Piacitelli, L.A.; Anderson, V.P.; Skov, T.; Haring-Sweeney, M.; Wall, D.K.; Fine, L.J. Evaluation of the revised NIOSH lifting equation. A cross-sectional epidemiologic study. Spine 1999, 24, 386–394. [Google Scholar] [CrossRef]
- Varrecchia, T.; De Marchis, C.; Rinaldi, M.; Draicchio, F.; Serrao, M.; Schmid, M.; Conforto, S.; Ranavolo, A. Lifting activity assessment using surface electromyographic features and neural networks. Int. J. Ind. Ergon. 2018, 66, 1–9. [Google Scholar] [CrossRef]
- Martinel, N.; Serrao, M.; Micheloni, C. SkelMamba: A State Space Model for Efficient Skeleton Action Recognition of Neurological Disorders. arXiv 2024, arXiv:2411.19544. [Google Scholar] [CrossRef]
- Gennarelli, I.; De Nardi, G.; Ranavolo, A.; Micheloni, C.; Martinel, N. Skeleton-based action recognition for biomechanical risk condition assessment. In Proceedings of the 23th International Conference of Image Analysis and Processing, Rome, Italy, 15–19 September 2025. [Google Scholar]
- Wu, G.; Siegler, S.; Allard, P.; Kirtley, C.; Leardini, A.; Rosenbaum, D.; Whittle, M.; D’Lima, D.D.; Cristofolini, L.; Witte, H.; et al. ISB recommendation on definitions of joint coordinate system of various joints for the reporting of human joint motion–part I: Ankle, hip, and spine. International Society of Biomechanics. J. Biomech. 2002, 35, 543–548. [Google Scholar] [CrossRef]
- Wu, G.; Van Der Helm, F.C.; Veeger, H.E.; Makhsous, M.; Van Roy, P.; Anglin, C.; Nagels, J.; Karduna, A.R.; McQuade, K.; Wang, X.; et al. ISB recommendation on definitions of joint coordinate systems of various joints for the reporting of human joint motion—Part II: Shoulder, elbow, wrist and hand. J. Biomech. 2005, 38, 981–992. [Google Scholar] [CrossRef] [PubMed]
- Schepers, M.; Giuberti, M.; Bellusci, G. Xsens MVN Consistent Tracking of Human Motion Using Inertial Sensing. 2018. Available online: https://www.researchgate.net/publication/324007368_Xsens_MVN_Consistent_Tracking_of_Human_Motion_Using_Inertial_Sensing (accessed on 12 November 2024).
- Stoll, C.; Hasler, N.; Gall, J.; Seidel, H.P.; Theobalt, C. Fast articulated motion tracking using a sums of Gaussians body model. In Proceedings of the IEEE International Conference on Computer Vision, Barcelona, Spain, 6–13 November 2011; pp. 951–958. [Google Scholar]
- Brunner, O.; Mertens, A.; Nitsch, V.; Brandl, C. Accuracy of a markerless motion capture system for postural ergonomic risk assessment in occupational practice. Int. J. Occup. Saf. Ergon. 2021, 28, 1865–1873. [Google Scholar] [CrossRef] [PubMed]
- Varrecchia, T.; Motta, F.; Chini, G.; Galli, M.; Ranavolo, A. Enhanced Biomechanical Risk Assessment in Manual Lifting: Comparing Inertial Measurement Units with Optoelectronic Systems for Composite Lifting Index Calculation. Appl. Sci. 2024, 14, 11292. [Google Scholar] [CrossRef]
- Taborri, J.; Bordignon, M.; Marcolin, F.; Bertoz, A.; Donati, M.; Rossi, S. On the OCRA Measurement: Automatic Computation of the Dynamic Technical Action Frequency Factor. Sensors 2020, 20, 1643. [Google Scholar] [CrossRef]
- Contreras, D.V.; Härtel, S.; Zeman, V.C. Automatic Counting of Dynamic Technical Actions using Computer Vision in the Biomechanical Risk Assessment of Work-Related Musculoskeletal Disorders of the Upper Limb. In Proceedings of the 2024 International Symposium on 3D Analysis of Human Movement (3DAHM), Montevideo, Uruguay, 3–6 December 2024; pp. 1–6. [Google Scholar]
- Waters, T.R.; Putz-Anderson, V.; Garg, A. Application Manual for the Revised NIOSH Lifting Equation. Available online: https://www.cdc.gov/niosh/ergonomics/about/RNLE.html (accessed on 20 June 2024).
- Waters, T.; Occhipinti, E.; Colombini, D.; Alvarez-Casado, E.; Fox, R. Variable Lifting Index (VLI). Hum. Factors 2016, 58, 695–711. [Google Scholar] [CrossRef] [PubMed]
- Waters, T.; Occhipinti, E.; Columbini, D.; Alvarez, E.; Hernandez, A. The Variable Lifting Index (VLI): A New Method for Evaluating Variable Lifting Tasks Using the Revised NIOSH Lifting Equation. In Proceedings of the 17th Triennial Congress of the International Ergonomics Association, Beijing, China, 9–14 August 2009. [Google Scholar]







| Lifting task | T1 | T2 | T3 |
| Reference lifting index | 1 | 2 | 3 |
| Load constant LC (kg) | 23 | 23 | 23 |
| Load L (kg) | 23 | 18.2 | 18 |
| Recommended weight limit RWL | 23 | 9.1 | 6 |
| Horizontal location H (cm) | 25 | 50 | 63 |
| Horizontal multiplier HM | 1 | 0.50 | 0.40 |
| Vertical location V (cm) | 75 | 50 | 30 |
| Vertical multiplier VM | 1 | 0.93 | 0.87 |
| Vertical travel distance D (cm) | 25 | 35 | 45 |
| Distance multiplier DM | 1 | 0.90 | 0.92 |
| Asymmetry angle A (°) | 0 | 30 | 60 |
| Asymmetric multiplier AM | 1 | 0.95 | 0.81 |
| Frequency F (lift/min) | ≤0.2 | ≤0.2 | ≤0.2 |
| Frequency multiplier FM | 1 | 1 | 1 |
| Coupling factor C | good | good | good |
| Coupling multiplier CM | 1 | 1 | 1 |
| Metric | Markerless (ML) | Wearable Sensor Network |
|---|---|---|
| Train Accuracy | 0.9954 | 0.9997 |
| Train Loss | 0.298 | 0.292 |
| Val Accuracy | 0.832 | 0.933 |
| Val Precision | 0.826 | 0.947 |
| Val Recall | 0.832 | 0.933 |
| Gap | 0.163 | 0.066 |
Disclaimer/Publisher’s Note: The statements, opinions and data contained in all publications are solely those of the individual author(s) and contributor(s) and not of MDPI and/or the editor(s). MDPI and/or the editor(s) disclaim responsibility for any injury to people or property resulting from any ideas, methods, instructions or products referred to in the content. |
© 2025 by the authors. Licensee MDPI, Basel, Switzerland. This article is an open access article distributed under the terms and conditions of the Creative Commons Attribution (CC BY) license (https://creativecommons.org/licenses/by/4.0/).
Share and Cite
Gennarelli, I.; Varrecchia, T.; Chini, G.; Martinel, N.; Micheloni, C.; Ranavolo, A. From Wearable Sensor Networks to Markerless Motion Capture for Instrumental-Based Biomechanical Risk Assessment in Lifting Activities. Sensors 2025, 25, 7427. https://doi.org/10.3390/s25247427
Gennarelli I, Varrecchia T, Chini G, Martinel N, Micheloni C, Ranavolo A. From Wearable Sensor Networks to Markerless Motion Capture for Instrumental-Based Biomechanical Risk Assessment in Lifting Activities. Sensors. 2025; 25(24):7427. https://doi.org/10.3390/s25247427
Chicago/Turabian StyleGennarelli, Irene, Tiwana Varrecchia, Giorgia Chini, Niki Martinel, Christian Micheloni, and Alberto Ranavolo. 2025. "From Wearable Sensor Networks to Markerless Motion Capture for Instrumental-Based Biomechanical Risk Assessment in Lifting Activities" Sensors 25, no. 24: 7427. https://doi.org/10.3390/s25247427
APA StyleGennarelli, I., Varrecchia, T., Chini, G., Martinel, N., Micheloni, C., & Ranavolo, A. (2025). From Wearable Sensor Networks to Markerless Motion Capture for Instrumental-Based Biomechanical Risk Assessment in Lifting Activities. Sensors, 25(24), 7427. https://doi.org/10.3390/s25247427

