Review of Advances in Fire Extinguishing Based on Computer Vision Applications: Methods, Challenges, and Future Directions
Abstract
1. Introduction
2. Materials and Methods
2.1. The Categories Applied
2.2. Recent Developments: An Overview from 2015 to 2024
3. Results and Analysis
3.1. General Review of Publications Related to the Firefighting Technology in the Scopus Database
3.2. Thematic Review of Publications Related to the Firefighting Technology Category (2015–2024)
3.3. Quantitative Analysis of the State-of-the-Art
3.4. Qualitative Analysis of Publications by Subcategories (Category Firefighting Technology)
3.4.1. Firefighting Robots
3.4.2. Fire Detection
3.4.3. Fire Extinguishing
3.4.4. Aerial Vehicles
3.4.5. Computer Vision
4. Unsolved Problems
5. Conclusions
Author Contributions
Funding
Institutional Review Board Statement
Informed Consent Statement
Data Availability Statement
Conflicts of Interest
References
- Scott, R.; Nowell, B.; Networks and Crisis Management. Oxford Research Encyclopedia of Politics. 2020. Available online: https://oxfordre.com/politics/view/10.1093/acrefore/9780190228637.001.0001/acrefore-9780190228637-e-1650 (accessed on 20 April 2025).
- de Voogt, A.; Louteiro, K. Nose-Over and Nose-Down Accidents in General Aviation: Tailwheels and Aging Airplanes. Safety 2024, 10, 39. [Google Scholar] [CrossRef]
- Manole, I.; Majumdar, A. When Maritime Meets Aviation: The Safety of Seaplanes on the Water. Appl. Sci. 2025, 15, 5808. [Google Scholar] [CrossRef]
- Khrais, S.K.; Yared, T.E.; Saifan, N.M.; Al-Hawari, T.H.; Dweiri, F. Occupational Safety Assessment for Surface Mine Systems: The Case in Jordan. Safety 2024, 10, 40. [Google Scholar] [CrossRef]
- Wilk-Jakubowski, J. Overview of broadband information systems architecture for crisis management. Inform. Autom. Pomiary Gospod. Ochr. Sr. 2020, 10, 20–23. [Google Scholar] [CrossRef]
- Marek, M. Aspects of Road Safety: A Case of Education by Research—Analysis of Parameters Affecting Accident. In Proceedings of the Education and Research in the Information Society Conference (ERIS), Plovdiv, Bulgaria, 27–28 September 2021; Available online: https://ceur-ws.org/Vol-3061/ERIS_2021-art07(reg).pdf (accessed on 20 April 2025).
- Marek, M. Bayesian Regression Model Estimation: A Road Safety Aspect. In Proceedings of the International Conference on Smart City Applications SCA 2022, Castelo Branco, Portugal, 19–21 October 2022; Volume 5, pp. 163–175. [Google Scholar] [CrossRef]
- Wilk-Jakubowski, G.; Harabin, R.; Skoczek, T.; Wilk-Jakubowski, J. Preparation of the Police in the Field of Counter-terrorism in Opinions of the Independent Counter-terrorist Sub-division of the Regional Police Headquarters in Cracow. Slovak. J. Political Sci. 2022, 22, 174–208. [Google Scholar] [CrossRef]
- Myroshnychenko, A.; Loboichenko, V.; Divizinyuk, M.; Levterov, A.; Rashkevich, N.; Shevchenko, O.; Shevchenko, R. Application of Up-to-Date Technologies for Monitoring the State of Surface Water in Populated Areas Affected by Hostilities. Bull. Georgian Natl. Acad. Sci. 2022, 16, 50–59. [Google Scholar]
- Wilk-Jakubowski, J.L.; Loboichenko, V.; Wilk-Jakubowski, G.; Yılmaz-Atay, H.; Harabin, R.; Ciosmak, J.; Ivanov, S.; Stankov, S. Acoustic Firefighting Method on the Basis of European Research: A Review: Acoustic Firefighting Method. Akustika 2023, 46, 31–45. [Google Scholar] [CrossRef]
- Kochmar, I.M.; Karabyn, V.V.; Kordan, V.M. Ecological and geochemical aspects of thermal effects on argillites of the Lviv-Volyn coal basin spoil tips. Nauk. Visnyk Natsionalnoho Hirnychoho Universytetu 2024, 3, 100–107. [Google Scholar] [CrossRef]
- Morgun, V.; Didyk, N.; Zhuk, O.; Silvestrova, O.; Koretska, T. Mechanisms of Managing Social Development in the Conditions of War in Ukraine. Rev. Econ. Financ. 2023, 21, 1466–1471. Available online: https://refpress.org/wp-content/uploads/2023/11/Paper-5_REF.pdf (accessed on 13 October 2025).
- Strelets, V.V.; Loboichenko, V.M.; Leonova, N.A.; Strelets, V.M.; Pruskyi, A.V.; Avramenko, O.V. Comparative assessment of environmental parameters of foaming agents based on synthetic hydrocarbon used for extinguishing the fires of oil and petroleum products. Proc. Oil Gas. Sci. Res. Proj. Inst. SOCAR 2021, SI 2, 1–10. [Google Scholar] [CrossRef]
- Shcherbak, O.; Loboichenko, V.; Skorobahatko, T.; Shevchenko, R.; Levterov, A.; Pruskyi, A.; Khrystych, V.; Khmyrova, A.; Fedorchuk-Moroz, V.; Bondarenko, S. Study of Organic Carbon-Containing Additives to water used in fire fighting, in terms of their environmental friendliness. Fire Technol. 2024, 60, 3739–3765. [Google Scholar] [CrossRef]
- Aliff, M.; Yusof, M.; Sani, N.S.; Zainal, A. Development of Fire Fighting Robot (QRob). Intl. J. Adv. Comput. Sci. Appl. 2019, 10, 142–147. [Google Scholar] [CrossRef]
- Zhylin, M.; Malysh, V.; Mendelo, V.; Potapiuk, L.; Halahan, V. The impact of emotional intelligence on coping strategies for psychological trauma. Environ. Soc. Psychol. 2024, 9, 6145. [Google Scholar] [CrossRef]
- Kabir, M.; Popy, F.N.; Paul, B.; Rashid, M.R.A.; Mahmud, K.R. Obstacle Avoiding and Fire Extinguishing Robot for Everyday Fire Security. In Advances in Intelligent Systems and Computing; Tuba, M., Akashe, S., Joshi, A., Eds.; Springer Science and Business Media Deutschland GmbH: Berlin/Heidelberg, Germany, 2021; Volume 1270, pp. 483–491. [Google Scholar]
- Vichova, K.; Hromada, M.; Valasek, J.; Paulus, F. Comparison Analysis the Use of Modern Technologies by Fire Rescue Service. In Proceedings of the 31st International DAAAM Virtual Symposium “Intelligent Manufacturing & Automation”, Mostar, Bosnia and Herzegovina, 21–24 October 2020; Katalinic, B., Ed.; DAAAM International Vienna: Wien, Austria, 2020; Volume 31, pp. 535–541. [Google Scholar] [CrossRef]
- Wilk-Jakubowski, J. Experimental Investigation of Amplitude-Modulated Waves for Flame Extinguishing: A Case of Acoustic Environmentally Friendly Technology. Environ. Clim. Technol. 2023, 27, 627–638. [Google Scholar] [CrossRef]
- Loboichenko, V.; Wilk-Jakubowski, J.; Wilk-Jakubowski, G.; Harabin, R.; Shevchenko, R.; Strelets, V.; Levterov, A.; Soshinskiy, A.; Tregub, N.; Antoshkin, O. The Use of Acoustic Effects for the Prevention and Elimination of Fires as an Element of Modern Environmental Technologies. Environ. Clim. Technol. 2022, 26, 319–330. [Google Scholar] [CrossRef]
- Wilk-Jakubowski, J.L.; Loboichenko, V.; Divizinyuk, M.; Wilk-Jakubowski, G.; Shevchenko, R.; Ivanov, S.; Strelets, V. Acoustic Waves and Their Application in Modern Fire Detection Using Artificial Vision Systems: A Review. Sensors 2025, 25, 935. [Google Scholar] [CrossRef]
- Cherifi, D.; Bekkour, B.; Benmalek, A.; Bayou, M.; Mechti, I.; Bekkouche, A.; Amine, C.; Halak, A. Aerial Forest Smoke’s Fire Detection Using Enhanced YOLOv5. In Advanced Computational Techniques for Renewable Energy Systems, Proceedings of the IC-AIRES 2022, Tamanghasset, Algeria, 20–22 November 2022; Hatti, M., Ed.; Springer: Cham, Switzerland, 2023; Volume 591, pp. 342–349. [Google Scholar]
- Wilk-Jakubowski, J. Predicting Satellite System Signal Degradation due to Rain in the Frequency Range of 1 to 25 GHz. Pol. J. Environ. Stud. 2018, 27, 391–396. [Google Scholar] [CrossRef]
- Wilk-Jakubowski, J. Measuring Rain Rates Exceeding the Polish Average by 0.01%. Pol. J. Environ. Stud. 2018, 27, 383–390. [Google Scholar] [CrossRef]
- Munzara, R.; Ganyani, S.M.; Mushiri, T. Design of a Robotic Firefighting Machine. In ICSBE 2018, Proceedings of the 9th International Conference on Sustainable Built Environment, Kandy, Sri Lanka, 13–16 December 2018; Lecture Notes in Civil Engineering; Springer: Berlin/Heidelberg, Germany, 2020; Volume 44, pp. 567–580. [Google Scholar] [CrossRef]
- Taha, I.A.; Marhoon, H.M. Implementation of Controlled Robot for Fire Detection and Extinguish to Closed Areas Based on Arduino. Telkomnika Telecomun. Compt. Electr. Control 2018, 16, 654–664. [Google Scholar] [CrossRef]
- Welcome to VOSviewer. Available online: https://www.vosviewer.com/ (accessed on 13 October 2025).
- Onur, D.; Çetin, M. Global research trends of BRUE (brief resolved unexplained event) or formerly ALTE (apparent life-threatening event): A comprehensive visualization and bibliometric analysis from 1988 to 2024. Am. J. Emerg. Med. 2025, 90, 129–141. [Google Scholar] [CrossRef]
- Du, Y.; Yan, Y. Review of research on escape lighting of disaster scene based on bibliometric analysis. China Saf. Sci. J. 2024, 34, 204–213. (In Chinese) [Google Scholar]
- Bal, F.; Yılmaz, E.S. Doğal afet krizlerinde sosyal medyanın rolü üzerine yapılmış çalışmaların bibliyometrik analizi. Afet Ve Risk Derg. 2024, 7, 128–138. (In Turkish) [Google Scholar] [CrossRef]
- De Iuliis, M.; Cardoni, A.; Cimellaro, G.P. Resilience and safety of civil engineering systems and communities: A bibliometric analysis for mapping the state-of-the-art. Saf. Sci. 2024, 174, 106470. [Google Scholar] [CrossRef]
- Li, X.; Sun, Y. Global Trends in Research related to Emergence Agitation from 1978 to 2023: A Bibliometric analysis. J. PeriAnesthesia Nurs. 2024, 39, 567–576.e1. [Google Scholar] [CrossRef] [PubMed]
- Lim, O.K. Bibliometric analysis of research topics on fire safety. Fire Sci. Eng. 2023, 37, 129–137. [Google Scholar] [CrossRef]
- AlQahtani, A.A.S.; Sulaiman, M.; Alshayeb, T.; Alamleh, H. From Inception to Innovation: A comprehensive review and bibliometric analysis of IoT-Enabled Fire Safety Systems. Safety 2025, 11, 41. [Google Scholar] [CrossRef]
- Menzemer, L.W.; Ronchi, E.; Karsten, M.M.V.; Gwynne, S.; Frederiksen, J. A scoping review and bibliometric analysis of methods for fire evacuation training in buildings. Fire Saf. J. 2023, 136, 103742. [Google Scholar] [CrossRef]
- Dabous, S.A.; Shikhli, A.; Shareef, S.; Mushtaha, E.; Obaideen, K.; Alsyouf, I. Fire prevention and mitigation technologies in high-rise buildings: A bibliometric analysis from 2010 to 2023. Ain Shams Eng. J. 2024, 15, 103010. [Google Scholar] [CrossRef]
- Edwards, A.; Smith, S.; Busch, P.; Winchester, D.; Pang, V. IS Mediation of Emergency Management: Adding Prediction to the Existing Framework of Activities? In Proceedings of the Pacific Asia Conference on Information Systems (PACIS 2019), Xi’an, China, 8–12 July 2019; Xu, D., Jiang, J., Kim, H.-W., Eds.; Association for Information Systems: Atlanta, GA, USA, 2019. [Google Scholar]
- Tryhuba, A.; Ratushny, R.; Horodetskyy, I.; Molchak, Y.; Grabovets, V. The Configurations Coordination of the Projects Products of Development of the Community Fire Extinguishing Systems with the Project Environment. In Proceedings of the 2nd International Workshop IT Project Management (ITPM 2021), Slavsko, Ukraine, 16–18 February 2021; Bushuyev, S., Lytvyn, V., Kunanets, N., Pasichnyk, V., Eds.; CEUR-WS: Aachen, Germany, 2021; Volume 2851, pp. 238–248. [Google Scholar]
- Digiesi, S.; Laurieri, N.; Lucchese, A.; Piccininno, G. T-Fire System: A Novel Integrated Fire Monitoring and Extinguishing System for Trucks. Procedia Comput. Sci. 2024, 232, 2468–2477. [Google Scholar] [CrossRef]
- Łebkowski, A. Electric Vehicle Fire Extinguishing System. Prz. Elektrotech. 2017, 93, 329–332. [Google Scholar] [CrossRef]
- Sakthisudhan, K.; Rubika, S.; Sadhasivam, S.; Suguna, V.; Rajan, S.M. Survey on Fire Safety Robot & Implementation of Android Application. In International Conference on Artificial Intelligence for Smart Community: AISC 2020, Universiti Teknologi Petronas, Malaysia, 17–18 December 2020; Ibrahim, R., Kannan, R., Mohd Nor, N., Porkumaran, K., Prabakar, S., Eds.; Springer Science and Business Media Deutschland GmbH: Berlin/Heidelberg, Germany, 2022; Volume 758, pp. 265–269. [Google Scholar] [CrossRef]
- Wang, Z.; Zhang, T.; Huang, X. Explainable Deep Learning for Image-Driven Fire Calorimetry. Appl. Intell. 2024, 54, 1047–1062. [Google Scholar] [CrossRef]
- Pincott, J.; Tien, P.W.; Wei, S.; Calautit, J.K. Indoor Fire Detection Utilizing Computer Vision-Based Strategies. J. Build. Eng. 2022, 61, 105154. [Google Scholar] [CrossRef]
- Dhiman, A.; Shah, N.; Adhikari, P.; Kumbhar, S.; Dhanjal, I.S.; Mehendale, N. Firefighting Robot with Deep Learning and Machine Vision. Neural Comput. Appl. 2022, 34, 2831–2839. [Google Scholar] [CrossRef]
- Bhattacharya, D.; Rijal, A.; Ali, I. Automatic Bluetooth-Controlled Master-Slave Firefighting Robots. In Proceedings of the International Conference on Emerging Trends and Advances in Electrical Engineering and Renewable Energy, Bhubaneswar, India, 5–6 March 2020; Sherpa, K.S., Bhoi, A.K., Kalam, A., Mishra, M.K., Eds.; Springer Science and Business Media Deutschland GmbH: Berlin/Heidelberg, Germany, 2021; Volume 691, pp. 217–229. [Google Scholar] [CrossRef]
- Qin, H.; Cui, J.Q.; Li, J.; Bi, Y.; Lan, M.; Shan, M.; Liu, W.; Wang, K.; Lin, F.; Zhang, Y.F.; et al. Design and Implementation of an Unmanned Aerial Vehicle for Autonomous Firefighting Missions. In Proceedings of the 12th IEEE International Conference on Control and Automation (ICCA), Kathmandu, Nepal, 1–3 June 2016; IEEE Computer Society: Washington, DC, USA, 2016; Volume 2016, pp. 62–67. [Google Scholar] [CrossRef]
- Teja, S.; Sujihelen, L. Design and Advancement of Firefighting Robot Using Direction Control Model. In Proceedings of the 2019 3rd International Conference on Trends in Electronics and Informatics (ICOEI), Tirunelveli, India, 23–25 April 2019; Institute of Electrical and Electronics Engineers Inc.: New York, NY, USA, 2019; Volume 2019, pp. 826–830. [Google Scholar] [CrossRef]
- Huang, S.-S.; Lu, S.-X.; Li, C.-H.; He, Q.-Z. Numerical Investigation of Fire Safety of an Indoor Pedestrian Street. In Proceedings of the 2014 7th International Conference on Intelligent Computation Technology and Automation, Changsha, China, 25–26 October 2014; Institute of Electrical and Electronics Engineers Inc.: New York, NY, USA, 2015; pp. 383–387. [Google Scholar]
- Hassanein, A.; Elhawary, M.; Jaber, N.; El-Abd, M. An Autonomous Firefighting Robot. In Proceedings of the 2015 International Conference on Advanced Robotics (ICAR), Istanbul, Turkey, 27–31 July 2015; Saranli, U., Kalkan, S., Eds.; Institute of Electrical and Electronics Engineers Inc.: New York, NY, USA, 2015; pp. 530–535. [Google Scholar] [CrossRef]
- Zhang, D.; Guo, Z. Mobile Sentry Robot for Laboratory Safety Inspection Based on Machine Vision and Infrared Thermal Imaging Detection. Secur. Commun. Netw. 2021, 2021, 6612438. [Google Scholar] [CrossRef]
- Ravi, R.; Kannadhasan, S.; Mangaleswaran, M.; Bharathi, R.; Kabilan, R.; Mallika Pandeeswari, R. IoT-Enabled Advanced Foam Firefighting E-Vehicle. In Machine Intelligence for Research and Innovations; Verma, O.P., Wang, L., Kumar, R., Yadav, A., Eds.; Lecture Notes in Networks and Systems; Springer: Singapore, 2024; Volume 831, pp. 85–94. [Google Scholar] [CrossRef]
- Zheng, W.; Zhang, X.; Wang, Z.-F. Experiment Study of Performances of Fire Detection and Fire Extinguishing Systems in a Subway Train. Procedia Eng. 2016, 135, 393–402. [Google Scholar] [CrossRef]
- Li, Q.; Fang, Z.; Yuan, J.-P.; Tang, Z. Numerical Simulation on Impacts of Longitudinal Ventilation on Tunnel Fire Detection. Procedia Eng. 2016, 135, 275–280. [Google Scholar] [CrossRef]
- Luo, T.; Qiao, J.; Cong, B. The Application and Experiment of High- Pressure Water Mist Fire Extinguishing System in the Tobacco Industry. Lect. Notes Electr. Eng. 2015, 334, 1197–1207. [Google Scholar] [CrossRef]
- Forell, B.; Peschke, J.; Einarsson, S.; Röwekamp, M. Technical Reliability of Active Fire Protection Features—Generic Database Derived from German Nuclear Power Plants. Reliab. Eng. Syst. Saf. 2016, 145, 277–286. [Google Scholar] [CrossRef]
- Türschmann, M.; Röwekamp, M.; Werner, W. Application of Generic Event Trees Derived from the Oecd Fire Database for Probabilistic Investigations of Nuclear Power Plants. In Proceedings of the 13th International Probabilistic Safety Assessment and Management Conference (PSAM13), Seoul, Republic of Korea, 2–7 October 2016; International Association for Probablistic Safety Assessment and Management (IAPSAM): Vienna, Austria, 2017. [Google Scholar]
- Behera, R.P.; Murali, N.; Satya Murty, S.A.V. Development of Tele-Alarm and Fire Protection System Using Remote Terminal Unit for Nuclear Power Plant. In Proceedings of the 2015 International Conference on Robotics, Automation, Control and Embedded Systems (RACE), Chennai, India, 18 February 2015; Institute of Electrical and Electronics Engineers Inc.: New York, NY, USA, 2015. [Google Scholar]
- Yılmaz-Atay, H.; Wilk-Jakubowski, J.L. A Review of Environmentally Friendly Approaches in Fire Extinguishing: From Chemical Sciences to Innovations in Electrical Engineering. Polymers 2022, 14, 1224. [Google Scholar] [CrossRef]
- Szydło, Z.A. History of Fire. Chem.-Didact.-Ecol.-Metrol. 2017, 24, 23–43. [Google Scholar] [CrossRef]
- Loboichenko, V.; Wilk-Jakubowski, G.; Wilk-Jakubowski, J.L.; Ciosmak, J. Application of Low-Frequency Acoustic Waves to Extinguish Flames on the Basis of Selected Experimental Attempts. Appl. Sci. 2024, 14, 8872. [Google Scholar] [CrossRef]
- Wilk-Jakubowski, J.; Wilk-Jakubowski, G.; Loboichenko, V. Experimental Attempts of Using Modulated and Unmodulated Waves in Low-Frequency Acoustic Wave Flame Extinguishing Technology: A Review of Selected Cases. Stroj. Vestn.-J. Mech. Eng. 2024, 70, 270–281. [Google Scholar] [CrossRef]
- Loboichenko, V.; Wilk-Jakubowski, J.L.; Levterov, A.; Wilk-Jakubowski, G.; Statyvka, Y.; Shevchenko, O. Using the burning of polymer compounds to determine the applicability of the acoustic method in fire extinguishing. Polymers 2024, 16, 3413. [Google Scholar] [CrossRef] [PubMed]
- Wang, Y.; Hua, N.; Gao, Z.; Shen, Y. Analysis of Key Technologies of Intelligent Fire Robot; In Advances in Intelligent Automation and Soft Computing. IASC 2021; Lecture Notes on Data Engineering and Communications Technologies; Springer Science and Business Media Deutschland GmbH: Cham, Switzerland, 2022; Volume 80, pp. 1268–1273. [Google Scholar]
- Fujita, J.; Amano, H.; Ohno, K.; Tadokoro, S. Consideration of the Contribution of Operating a Firefighting Robot System for Large Fires to Prevent COVID-19 Infection among Firefighters. Adv. Rob. 2023, 37, 518–527. [Google Scholar] [CrossRef]
- Kosowatz, J.; Borge, R. ROLLING In to Save the Day Shark Robotics’ Colossus Firefighting Robot Helped Preserve Notre Dame. Mech. Eng. 2019, 141, 29. [Google Scholar] [CrossRef]
- Travediu, A.-M.; Vladareanu, L.; Munteanu, R.; Niu, J.; Melinte, D.O.; Pușcașu, I. A Deep Learning CNN Approach Regarding Drone Surveillance in Fire-Fighting Scenarios. In Proceedings of the Advances in Emerging Information and Communication Technology, Phu Tho, Vietnam, 16–17 November 2024; Springer: Cham, Switzerland, 2024; pp. 159–172. [Google Scholar] [CrossRef]
- Madhevan, B.; Ramanathan, S.; Jha, D.K. A Novel Image Intelligent System Architecture for Fire Proof Robot. In Artificial Intelligence and Evolutionary Computations in Engineering Systems. Advances in Intelligent Systems and Computing; Das, S., Panigrahi, B.K., Dash, S.S., Vijayakumar, K., Eds.; Springer: Singapore, 2017; Volume 517, pp. 805–817. [Google Scholar]
- Saadat, M.G.; Ferrando, A.; Dennis, L.A.; Fisher, M. ROSMonitoring 2.0: Extending ROS Runtime Verification to Services and Ordered Topics. arXiv 2024, arXiv:2411.14367. [Google Scholar] [CrossRef]
- Zhang, D.; Yuan, J.; Meng, H.; Wang, W.; He, R.; Li, S. Extrinsic Calibration Method for Integrating Infrared Thermal Imaging Camera and 3D LiDAR. Sens. Rev. 2024, 44, 490–504. [Google Scholar] [CrossRef]
- Chaoxia, C.; Shang, W.; Zhang, F.; Cong, S. Weakly Aligned Multimodal Flame Detection for Fire-Fighting Robots. IEEE Trans. Ind. Inf. 2023, 19, 2866–2875. [Google Scholar] [CrossRef]
- Yadav, N.; Sharma, D.; Jawla, S.; Singh, G.P. Fire Neutralizing ROBOT with Night Vision Camera Under IoT Framework. In Proceedings of the International Conference on Cyber Security, Privacy and Networking (ICSPN 2022), Bangkok, Thailand, 9–11 September 2022; Nedjah, N., Martínez Pérez, G., Gupta, B.B., Eds.; Springer: Cham, Switzerland, 2023; Volume 599, pp. 166–176. [Google Scholar] [CrossRef]
- Aydin, B.; Selvi, E.; Tao, J.; Starek, M.J. Use of Fire-Extinguishing Balls for a Conceptual System of Drone-Assisted Wildfire Fighting. Drones 2019, 3, 17. [Google Scholar] [CrossRef]
- Fahim, S.R.; Das, S.K. High-Performance Open-Loop Tracking Control of a Small Scale Fire-Fighting Robot. In Proceedings of the 2018 International Conference on Advancement in Electrical and Electronic Engineering (ICAEEE), Gazipur, Bangladesh, 22–24 November 2018; Institute of Electrical and Electronics Engineers Inc.: New York, NY, USA, 2018. [Google Scholar]
- Sumaiya, M.N.; Vineeth, J.; Sali, P.; Supreeth, G.R.; Supreeth, R. Intelligent Autopilot Fire Extinguishing Robot. In Intelligent Edge Computing for Cyber Physical Applications; Elsevier: Amsterdam, The Netherlands, 2023; pp. 129–149. [Google Scholar] [CrossRef]
- Gupta Farogh Ahmad, S.; Sundar, S.; Shanmugasundaram, M. Manually Controlled Enhanced Wireless Intelligent Fire Fighting Robot. ARPN J. Eng. Appl. Sci. 2017, 12, 6087–6096. [Google Scholar]
- Oke, A.O.; Falohun, A.S.; Adetunji, A.B. Development of A GSM—Based Fire Detector System. In Proceedings of the World Congress on Engineering 2015, London, UK, 1–3 July 2015; Ao, S.I., Gelman, L., Korsunsky, A.M., Hukins, D.W.L., Hunter, A., Eds.; Newswood Limited: Hong Kong, China, 2015; Volume 2217, pp. 634–637. [Google Scholar]
- Zhang, Z. Path Planning of a Firefighting Robot Prototype Using GPS Navigation. In Proceedings of the 2020 3rd International Conference on Robot Systems and Applications, New York, NY, USA, 14–16 June 2020; Association for Computing Machinery: New York, NY, USA, 2020; pp. 16–20. [Google Scholar]
- Yuan, C.; Liu, Z.; Zhang, Y. Learning-Based Smoke Detection for Unmanned Aerial Vehicles Applied to Forest Fire Surveillance. J. Intell. Rob. Syst. Theor. Appl. 2019, 93, 337–349. [Google Scholar] [CrossRef]
- Kumaran, S.; Raj, V.A.; Sangeetha, J.; Raman, V.R.M. IoT-Based Autonomous Search and Rescue Drone for Precision Firefighting and Disaster Management. Intl. J. Adv. Comput. Sci. Appl. 2023, 14, 438–447. [Google Scholar] [CrossRef]
- Agarwal, N.; Rohilla, Y. Flame Sensor Based Autonomous Firefighting Robot. In Proceedings of the Fifth International Conference on Microelectronics, Computing and Communication Systems: MCCS 2020, Ranchi, India, 11–12 July 2020; Nath, V., Mandal, J.K., Eds.; Springer: Singapore, 2021; Volume 748, pp. 641–655. [Google Scholar] [CrossRef]
- Kolambe, K.; Pote, R.; Jadhav, A.; Chennur, V. Spy Robot with Fire Detection and Water Sprinkling. In Proceedings of the 2018 Second International Conference on Electronics, Communication and Aerospace Technology (ICECA), Coimbatore, India, 29–31 March 2018; Institute of Electrical and Electronics Engineers Inc.: New York, NY, USA, 2018; pp. 1844–1848. [Google Scholar] [CrossRef]
- Bogdan, M. Autonomous Robot for Fire Detection and Extinguishing. J. Electr. Electron. Eng. 2022, 15, 29–32. [Google Scholar]
- Daniyan, I.A.; Adeodu, A.; Oladapo, B.; Balogun, V.; Etudor, I. Development of a Fire Detection and Extinguishing Robot. In Principles of Automation and Control; Bentham Science Publishers: Singapore, 2023; pp. 161–170. [Google Scholar]
- Chandra, P.S.; Revathi, V.; Sireesha, A.; Suresh Kumar, N. Development of DTMF Centred Remotely Located Fire Extinguishing Robot. Int. J. Innov. Technol. Explor. Eng. 2019, 9, 39–43. [Google Scholar] [CrossRef]
- Tan, S.Q.Y.; Karthik, V.J.; Govind, A.; Rajasree, P.M. An Approach into Navigation and Vision for Autonomous Fire Fighting Robots. Int. J. Adv. Mechatron. Syst. 2023, 10, 156–164. [Google Scholar] [CrossRef]
- Ramasubramanian, S.; Muthukumaraswamy, S.A. On the Enhancement of Firefighting Robots Using Path-Planning Algorithms. SN Comput. Sci. 2021, 2, 188. [Google Scholar] [CrossRef]
- Liu, Y.-T.; Sun, R.-Z.; Zhang, T.-Y.; Zhang, X.-N.; Li, L.; Shi, G.-Q. Warehouse-Oriented Optimal Path Planning for Autonomous Mobile Fire-Fighting Robots. Secur. Commun. Netw. 2020, 2020, 6371814. [Google Scholar] [CrossRef]
- Panahi, F.H.; Panahi, F.H.; Ohtsuki, T. An Intelligent Path Planning Mechanism for Firefighting in Wireless Sensor and Actor Networks. IEEE Internet Things J. 2023, 10, 9646–9661. [Google Scholar] [CrossRef]
- Jain, H.; Doshi, A.; Khan, A.; Nikam, P. Fire Fighting Robot Using GUI and RF Technology. In Computing and Communications Engineering in Real-Time Application Development; Apple Academic Press: Burlington, ON, Canada, 2022; pp. 55–63. [Google Scholar] [CrossRef]
- Perumal, K.A.P.; Ali, M.A.M.; Yahya, Z.H. Fire Fighter Robot with Night Vision Camera. In Proceedings of the 2019 IEEE 15th International Colloquium on Signal Processing & Its Applications (CSPA), Penang, Malaysia, 8–9 March 2019; Institute of Electrical and Electronics Engineers Inc.: New York, NY, USA, 2019; pp. 270–274. [Google Scholar] [CrossRef]
- Yamauchi, Y.; Maezawa, Y.; Ambe, Y.; Konyo, M.; Tadakuma, K.; Tadokoro, S. Development of a Remotely Controllable 4 m Long Aerial-Hose-Type Firefighting Robot. Front. Robot. AI 2023, 10, 1273676. [Google Scholar] [CrossRef]
- Hornsby, P.R. Fire retardant fillers for polymers. Int. Mater. Rev. 2001, 46, 199–210. [Google Scholar] [CrossRef]
- Atay, G.Y.; Wilk-Jakubowski, J.L.; Loboichenko, V. Novel Flame-Retardant Wood-Polymer Composites by Using Inorganic Mineral Huntite and Hydromagnesite: An Aspect of Application in Electrical Engineering. Materials 2025, 18, 2652. [Google Scholar] [CrossRef]
- Atay, G.Y.; Loboichenko, V.; Wilk-Jakubowski, J.Ł. Investigation of calcite and huntite/hydromagnesite mineral in co-presence regarding flame retardant and mechanical properties of wood composites. Cem. Wapno Beton. 2024, 29, 40–53. [Google Scholar] [CrossRef]
- Bras, M.L.; Wilkie, C.A.; Bourbigot, S. Fire Retardancy of Polymers-New Applications of Mineral Fillers; The Royal Society of Chemistry: Sawston, UK, 2005; pp. 4–6. [Google Scholar]
- Grigore, L.Ú.; Ștefan, A.; Oncioiu, I.; Molder, C.; Gorgoteanu, D.; Constantin, D.; Bălașa, R.-I. Aspects Regarding of a UGV Fire Fighting Thermal Shield. Eng. Proc. 2021, 6, 83. [Google Scholar] [CrossRef]
- Li, Z.; He, J.; An, H.; Li, T. Design and Research of UAV Fire Emergency and Intelligent Inspection System in the Valve Hall of Converter Station. In Proceedings of the International Conference on Artificial Intelligence, Robotics, and Communication, Xiamen, China, 22–24 December 2023; Yadav, S., Arya, Y., Pandey, S.M., Gherabi, N., Karras, D.A., Eds.; Springer: Singapore, 2024; Volume 1172, pp. 27–34. [Google Scholar] [CrossRef]
- Oh, Y.T. Study of Mechanical Characteristics and Thermal Barrier Coating on Firefighting Robot. Int. J. Mech. Mech. Eng. 2018, 18, 83–88. [Google Scholar]
- Jia, Y.-Z.; Li, J.-S.; Guo, N.; Jia, Q.-S.; Du, B.-F.; Chen, C.-Y. Design and Research of Small Crawler Fire Fighting Robot. In Proceedings of the 2018 Chinese Automation Congress (CAC), Xi’an, China, 30 November 2018; Institute of Electrical and Electronics Engineers Inc.: New York, NY, USA, 2018; pp. 4120–4123. [Google Scholar] [CrossRef]
- Mizuno, N.; Ohno, K.; Hamada, R.; Kojima, H.; Fujita, J.; Amano, H.; Westfechtel, T.; Suzuki, T.; Tadokoro, S. Enhanced Path Smoothing Based on Conjugate Gradient Descent for Firefighting Robots in Petrochemical Complexes*. Adv. Rob. 2019, 33, 687–698. [Google Scholar] [CrossRef]
- Nuta, I.; Orban, O.; Gokcel, S. Aspects on the Mobility and Protection for Firefighting Robots. In Proceedings of the 2015 7th International Conference on Electronics, Computers and Artificial Intelligence (ECAI), Bucharest, Romania, 25–27 June 2015; Institute of Electrical and Electronics Engineers Inc.: New York, NY, USA, 2015; pp. 101–104. [Google Scholar]
- Zhang, G.; Zhu, G.; Yuan, G.; Li, Q. Stability Analysis of Large-Span Steel Truss Structure under Local Cooling from Fire Extinguishing System. Struct. Des. Tall Spec. Build. 2018, 27, e1451. [Google Scholar] [CrossRef]
- Shobana Maheswari, T.; Unni, A.S.; Baskar, A. Fire Fighting Robot Using LEGO Mindstorm. Int. J. Appl. Eng. Res. 2015, 10, 20129–20138. [Google Scholar]
- Ali, M.H.; Shamishev, S.; Aitmaganbayev, A. Development of a Network-Based Autonomous Firefighting Robot. In Proceedings of the 15th International Conference on Informatics in Control, Automation and Robotics (ICINCO 2018), Porto, Portugal, 29–31 July 2018; Madani, K., Gusikhin, O., Eds.; SciTePress: Setúbal, Portugal, 2018; Volume 2, pp. 525–533. [Google Scholar] [CrossRef]
- Wilk-Jakubowski, G.; Harabin, R.; Ivanov, S. Robotics in crisis management: A review. Technol. Soc. 2022, 68, 101935. [Google Scholar] [CrossRef]
- Maddukuri, S.V.P.K.; Renduchintala, U.K.; Visvakumar, A.; Pang, C.; Mittapally, S.K. A Low Cost Sensor Based Autonomous and Semi-Autonomous Fire-Fighting Squad Robot. In Proceedings of the 2016 Sixth International Symposium on Embedded Computing and System Design (ISED), Patna, India, 15–17 December 2016; Institute of Electrical and Electronics Engineers Inc.: New York, NY, USA, 2017; pp. 279–283. [Google Scholar] [CrossRef]
- Chang, W.; Li, P.; Yang, C.; Lu, T.; Cai, Y.; Wang, S. Self-Modeling Tracking Control of Crawler Fire Fighting Robot Based on Causal Network. In Proceedings of the 2019 IEEE/RSJ International Conference on Intelligent Robots and Systems (IROS), Macau, China, 3–8 November 2019; Institute of Electrical and Electronics Engineers Inc.: New York, NY, USA, 2019; pp. 3911–3917. [Google Scholar] [CrossRef]
- Vemulapalli, H.; Gudavalli, M.; Azaharahmed, M. Prototype for Automatic Fire Detection and Extinguishing Robot. In Proceedings of the ECS Transactions, Atlanta, GA, USA, 9–13 October 2022; Institute of Physics: London, UK, 2022; Volume 107, pp. 11673–11683. [Google Scholar] [CrossRef]
- Suresh, J. Fire-Fighting Robot. In Proceedings of the 2017 International Conference on Computational Intelligence in Data Science (ICCIDS), Chennai, India, 2–3 June 2017; Institute of Electrical and Electronics Engineers Inc.: New York, NY, USA, 2017; Volume 2018-January, pp. 1–4. [Google Scholar] [CrossRef]
- Akila, A.; Elhoseny, M. Optimal Firefighting Robots Deployment Within A Building Using The PSO. In Proceedings of the 2024 International Conference on Computational Intelligence and Network Systems (CINS), Dubai, United Arab Emirates, 28–29 November 2024; Institute of Electrical and Electronics Engineers Inc.: New York, NY, USA, 2024. [Google Scholar] [CrossRef]
- Chen, J.; Mu, D.; Hua, C.; Luo, X.; Zhang, Y.; Sun, F. Adaptive Tracking Control for Uncertain Unmanned Fire Fighting Robot With Input Saturation and Full-State Constraints. IEEE Trans. Intell. Transp. Syst. 2024, 25, 12776–12783. [Google Scholar] [CrossRef]
- Chen, J.; Luo, X.; Hua, C.; Mu, D.; Sun, F. Modeling and Robust Adaptive Practical Predefined Time and Precision Tracking Control of Unmanned Fire Fighting Robot. IEEE Trans. Syst. Man. Cybern. Syst. 2024, 54, 4273–4283. [Google Scholar] [CrossRef]
- Fan, J.; Zhan, X. Flame Recognition Algorithm for Aerial Cruising Firefighting Robot Based on RGB and Improved YOLOv5. In Proceedings of the 4th International Conference on Computer Vision, Image and Deep Learning (CVIDL), Zhuhai, China, 12–14 May 2023; Institute of Electrical and Electronics Engineers Inc.: New York, NY, USA, 2023; pp. 363–369. [Google Scholar] [CrossRef]
- Kim, J.-H.; Sung, Y.; Lattimer, B.Y. Bayesian Estimation Based Real-Time Fire-Heading in Smoke-Filled Indoor Environments Using Thermal Imagery. In Proceedings of the 2017 IEEE International Conference on Robotics and Automation (ICRA), Singapore, 29 May–3 June 2017; Institute of Electrical and Electronics Engineers Inc.: New York, NY, USA, 2017; pp. 5231–5236. [Google Scholar]
- Shin, Y.; Kim, J.; Yu, K. Selection of Vulnerable Firefighting Areas Using Spatial Regression Analysis Model. In Proceedings of the 11th International Conferences on Computer Graphics, Visualization, Computer Vision and Image Processing, CGVCVIP 2017 and International Conference on Big Data Analytics, Data Mining and Computational Intelligence, BigDaCI 2017, Lisbon, Portugal, 21–23 July 2017; Rodrigues, L., Xiao, Y., Abraham, A.P., Eds.; IADIS: Zagreb, Croatia, 2017; pp. 311–314. [Google Scholar]
- Zhang, J.; Cai, S.; Jiang, Z.; Xiao, J.; Ming, Z. FireRobBrain: Planning for a Firefighting Robot Using Knowledge Graph and Large Language Model. In Proceedings of the 2024 10th IEEE International Conference on Intelligent Data and Security (IDS), New York City, NY, USA, 10–12 May 2024; Institute of Electrical and Electronics Engineers Inc.: New York, NY, USA, 2024; pp. 37–41. [Google Scholar]
- Zhao, J.; Li, W.; Zhu, J.; Gao, Z.; Pan, L.; Liu, Z. An Efficient Firefighting Method for Robotics: A Novel Convolution-Based Lightweight Network Model Guided by Contextual Features with Dual Attention. Comput. Ind. 2024, 161, 104127. [Google Scholar] [CrossRef]
- Melikhov, A.S.; Bolodyan, I.A.; Tanklevskiy, L.T. Fire-Extinguishing Systems in Inhabited Pressurized Compartments on the Moon. Acta Astronaut. 2022, 194, 358–362. [Google Scholar] [CrossRef]
- Bolodian, I.; Melikhov, A.; Tanklevskiy, L. Automatic Fire-Extinguishing System for Inhabited Pressurized Compartments of Manned Spacecraft. Acta Astronaut. 2017, 135, 100–108. [Google Scholar] [CrossRef]
- Melikhov, A.S.; Bolodyan, I.A.; Tanklevskiy, L.T. Fire Safety Provision in Inhabited Pressurized Compartments of Spacecraft during a Flight in Simulated Gravity. Acta Astronaut. 2020, 176, 725–732. [Google Scholar] [CrossRef]
- Xuan, Y.; Gao, C.; Cheng, S.; Pan, R.; Jin, J. Experimental Comparison Study of Airborne HFC-125 and Halon 1301 Fire Extinguishing System. In Proceedings of the ISMSEE 2022; The 2nd International Symposium on Mechanical Systems and Electronic Engineering, Zhuhai, China, 25–27 February 2022; Yuen, K.-V., Ed.; VDE VERLAG GMBH: Berlin, Germany, 2022; pp. 81–85. [Google Scholar]
- Ma, W.; Jing, H.; Wang, S.; Lu, S. Simulation Study on Fire Extinguishing System of Ultra-Fine Powder Extinguishing Agent in Helicopter Engine Compartment. In Proceedings of the CSAA/IET International Conference on Aircraft Utility Systems (AUS 2022), Nanchang, China, 17–20 August 2022; Institution of Engineering and Technology: London, UK, 2022; Volume 2022, pp. 668–675. [Google Scholar] [CrossRef]
- Zhou, Q.; Gu, J.; Lu, S.; Ma, W.; Shi, H.; Zhang, H. Aircraft Nacelle Fire Extinguishing System Spray and Dispersion Simulation. In Proceedings of the CSAA/IET International Conference on Aircraft Utility Systems (AUS 2024), Xi’an, China, 16–19 August 2024; Institution of Engineering and Technology: London, UK, 2024; Volume 2024, pp. 1083–1088. [Google Scholar]
- Bo, H. The Research of Fire Extinguishing Agent Atomization in Civil Aircraft Engine Fan Compartment. In Proceedings of the 2020 International Conference on Aviation Safety and Information Technology 2020, Weihai, China, 14–16 October 2020; Association for Computing Machinery: New York, NY, USA, 2020; pp. 89–94. [Google Scholar] [CrossRef]
- Kurokawa, F.Y.; De Andrade, C.R.; Zaparoli, E.L. Modeling of Aircraft Fire Suppression System by the Lumped Parameter Approach. Aircr. Eng. Aerosp. Technol. 2016, 88, 535–539. [Google Scholar] [CrossRef]
- Yuan, C.; Ma, W.; Liu, S.; Lu, S. Simulation on Transport Characteristics of Agent in Aircraft Fire Extinguishing Piping. In Proceedings of the AIAA SciTech Forum Exposition, National Harbor, MD, USA, 23–27 January 2023; American Institute of Aeronautics and Astronautics Inc, AIAA: Reston, VA, USA, 2023. [Google Scholar] [CrossRef]
- Chen, L.; Wan, Y.; Xu, X.; Bao, W. A CFD Study of Surface Burning Fire Scenario for Evaluating Compliance of the Aircraft Cargo Compartment’s Fire Suppression System. In Proceedings of the International Conference on Computational & Experimental Engineering and Sciences, Singapore, 3–6 August 2024; Zhou, K., Ed.; Springer Science and Business Media, B.V.: Berlin/Heidelberg, Germany, 2024; Volume 168, pp. 722–730. [Google Scholar]
- Kamluk, A.; Likhomanov, A.; Govor, E.; Grachulin, A. Mathematical Model of Foam Expansion Rate Generated in Sprinklers. Mag. Civ. Eng. 2024, 17, 13102. [Google Scholar] [CrossRef]
- Dang, W.; Li, Z.; Yuan, Y. Research on High Precision Fire Detection and Location Method in Traffic Tunnel. In Proceedings of the 4th International Conference on Computer, Internet of Things and Control Engineering, Wuhan China, 1–3 November 2024; Association for Computing Machinery: New York, NY, USA, 2024; pp. 107–113. [Google Scholar] [CrossRef]
- Yang, M.; Zhang, X.; Fang, S.; Song, A.; Wang, Z.; Cui, Z. Design of Ground Station for Fire Fighting Robot. In Proceedings of the 11th International Conference on Computer Engineering and Networks 2021, Hechi, China, 21–25 October 2021; Liu, Q., Liu, X., Chen, B., Zhang, Y., Peng, J., Eds.; Springer: Singapore, 2022; pp. 173–181. [Google Scholar]
- Dong, W.-H.; Wang, L.; Yu, G.-Z.; Mei, Z.-B. Design of Wireless Automatic Fire Alarm System. Procedia Eng. 2016, 135, 413–417. [Google Scholar] [CrossRef]
- Diwanji, M.; Hisvankar, S.; Khandelwal, C. Autonomous Fire Detecting and Extinguishing Robot. In Proceedings of the 2019 2nd International Conference on Intelligent Communication and Computational Techniques (ICCT), Jaipur, India, 28–29 September 2019; Institute of Electrical and Electronics Engineers Inc.: New York, NY, USA, 2019; pp. 327–329. [Google Scholar] [CrossRef]
- Ajala, M.T.; Khan, M.R.; Shafie, A.A.; Salami, M.J.-E.; Oladokun, M.O.; Mel, M.; Mohamad Nor, M.I. Design and Development of a Carbon Dioxide Gas Generator for Firefighting Robot Application. In Proceedings of the 8th International Conference on Mechatronics Engineering (ICOM 2022), Online Conference, Kuala Lumpur, Malaysia, 9–10 August 2022; Institution of Engineering and Technology: London, UK, 2022; Volume 2022, pp. 21–25. [Google Scholar] [CrossRef]
- Zhang, J.; Jin, Z.; Zhao, Y. Dynamics Analysis of Leg Mechanism of Six-Legged Firefighting Robot. J. Mech. Sci. Technol. 2018, 32, 351–361. [Google Scholar] [CrossRef]
- Dinesh, A.; Benson, C.M.; Holborn, P.G.; Sampath, S.; Xiong, Y. Performance Evaluation of Nitrogen for Fire Safety Application in Aircraft. Reliab. Eng. Syst. Saf. 2020, 202, 107044. [Google Scholar] [CrossRef]
- Zhi, H.; Bao, Y.; Wang, L.; Mi, Y. Extinguishing Performance of Alcohol-Resistant Firefighting Foams on Polar Flammable Liquid Fires. J. Fire Sci. 2020, 38, 53–74. [Google Scholar] [CrossRef]
- Radwan, K.; Rakowska, J.; Šlosorz, Z. Impact of Surfactants Used in Extinguishing Agent to Corrosiveness of Firefighting Equipment. In Proceedings of the Advances and Trends in Engineering Sciences and Technologies: Proceedings of the International Conference on Engineering Sciences and Technologies, Tatranská Štrba, Slovakia, 27–29 May 2015; Ali, M.A., Platko, P., Eds.; CRC Press/Balkema: Boca Raton, FL, USA, 2016; pp. 159–164. [Google Scholar]
- Su, L.; Zhang, J.; Que, X.-G.; Wang, Z.-H.; Liu, G.-W. Research on the Numerical Simulation of the 110kV Transformer Fire Extinguishing by Foam Spraying. In Proceedings of the 2014 7th International Conference on Intelligent Computation Technology and Automation, Changsha, China, 25–26 October 2014; Institute of Electrical and Electronics Engineers Inc.: New York, NY, USA, 2015; pp. 587–590. [Google Scholar] [CrossRef]
- Zhao, B. Fire Protection Performance of Nanocoating on a LPG Tank under Fire Based on the Wavelet Finite-Element Method. J. Nanomech. Micromech. 2015, 5, A4014006. [Google Scholar] [CrossRef]
- Le, Q.B.; Nguyen, T.H.; Pham, K.L.; Nguyen, T.A. Protection of Settlements against Wildfires. Int.J. Civ. Eng. Technol. 2018, 9, 2017–2022. [Google Scholar]
- Pham, H.X.; La, H.M.; Feil-Seifer, D.; Deans, M. A Distributed Control Framework for a Team of Unmanned Aerial Vehicles for Dynamic Wildfire Tracking. In Proceedings of the 2017 IEEE/RSJ International Conference on Intelligent Robots and Systems (IROS), Vancouver, BC, Canada, 24–28 September 2017; Institute of Electrical and Electronics Engineers Inc.: New York, NY, USA, 2017; Volume 2017, pp. 6648–6653. [Google Scholar] [CrossRef]
- Li, M.-X.; Zhu, S.-B.; Wang, J.-H.; Zhou, Z. Research on Fire Safety Evacuation in a University Library in Nanjing. In Proceedings of the 8th International Conference on Fire Science and Fire Protection Engineering, Beijing, China, 18–23 September 2005; Pan, X., Wang, J., Yao, H., Eds.; Elsevier Ltd.: Amsterdam, The Netherlands, 2018; Volume 211, pp. 372–378. [Google Scholar] [CrossRef]
- Unlu, H.U.; Chaikalis, D.; Tsoukalas, A.; Tzes, A. UAV Indoor Exploration for Fire-Target Detection and Extinguishing. J. Intell. Rob. Syst. Theor. Appl. 2023, 108, 54. [Google Scholar] [CrossRef]
- Tang, Z.; Liu, X.; Chen, H.; Hupy, J.; Yang, B. Deep Learning Based Wildfire Event Object Detection from 4K Aerial Images Acquired by UAS. AI 2020, 1, 166–179. [Google Scholar] [CrossRef]
- Lewicki, T.; Liu, K. Aerial Sensing System for Wildfire Detection: Demo Abstract. In Proceedings of the 18th Conference on Embedded Networked Sensor Systems 2020, Virtual Event, 16–19 November 2020; Association for Computing Machinery, Inc: New York, NY, USA, 2020; pp. 595–596. [Google Scholar] [CrossRef]
- Zhang, S.; Tong, C.; Ni, Y.; Li, N.; Lin, Z. Structural Design and Flight Simulation of Firefighting and Rescue UAV Based on Coaxial Dual Rotors. Int. J. Pattern Recognit. Artif. Intell. 2024, 38, 2458004. [Google Scholar] [CrossRef]
- Zhang, X.; Yang, W.; Dong, M.; Huang, W. Support Measures Optimization of Forest Firefighting for Special Aircraft. In Proceedings of the 2023 Asia-Pacific International Symposium on Aerospace Technology (APISAT 2023) Proceedings, Lingshui, China, 16–18 October 2023; Fu, S., Ed.; Springer: Singapore, 2024; pp. 1452–1464. [Google Scholar] [CrossRef]
- Bogue, R. The Role of Robots in Firefighting. Ind. Robot. 2020, 48, 174–178. [Google Scholar] [CrossRef]
- Li, S.-Y.; Tao, G.; Zhang, L.-J. Fire Risk Assessment of High-Rise Buildings Based on Gray-FAHP Mathematical Model. Procedia Eng. 2018, 211, 395–402. [Google Scholar] [CrossRef]
- Wagoner, A.; Jagadish, A.; Matson, E.T.; Eunseop, L.; Nah, Y.; Tae, K.K.; Lee, D.H.; Joeng, J.-E. Humanoid Robots Rescuing Humans and Extinguishing Fires for Cooperative Fire Security System Using HARMS. In Proceedings of the 6th International Conference on Automation, Robotics and Applications (ICARA), Queenstown, New Zealand, 17–19 February 2015; Bailey, D., Gupta, G.S., Demidenko, S., Eds.; Institute of Electrical and Electronics Engineers Inc.: New York, NY, USA, 2015; pp. 411–415. [Google Scholar] [CrossRef]
- Khan, A.; Hassan, B.; Khan, S.; Ahmed, R.; Abuassba, A. DeepFire: A Novel Dataset and Deep Transfer Learning Benchmark for Forest Fire Detection. Mob. Inf. Sys. 2022, 2022, 5358359. [Google Scholar] [CrossRef]
- Dong, M.; Yang, W.; Zhang, X.; Huang, W. Modeling and Analysis of Forest Fire Extinguishing for Special Aircraft. In Proceedings of the 2023 Asia-Pacific International Symposium on Aerospace Technology (APISAT 2023) Proceedings, Lingshui, China, 16–18 October 2023; Fu, S., Ed.; Springer: Singapore, 2024; Volume 1050, pp. 545–554. [Google Scholar] [CrossRef]
- Sathyan, A.; Kumar, M.; Cohen, K. Image Processing and Localization for Detecting and Tracking Wildland Fires. In Proceedings of the Dynamic Systems and Control Conference, Columbus, OH, USA, 28–30 October 2015; American Society of Mechanical Engineers: Little Falls, NJ, USA, 2015; Volume 3. [Google Scholar] [CrossRef]
- Özel, B.; Alam, M.S.; Khan, M.U. Review of Modern Forest Fire Detection Techniques: Innovations in image processing and Deep Learning. Information 2024, 15, 538. [Google Scholar] [CrossRef]
- Yuan, C.; Liu, Z.; Zhang, Y. Vision-Based Forest Fire Detection in Aerial Images for Firefighting Using UAVs. In Proceedings of the 2016 International Conference on Unmanned Aircraft Systems (ICUAS), Arlington, VA, USA, 7–10 June 2016; Institute of Electrical and Electronics Engineers Inc.: New York, NY, USA, 2016; pp. 1200–1205. [Google Scholar] [CrossRef]
- Pham, H.X.; La, H.M.; Feil-Seifer, D.; Deans, M.C. A Distributed Control Framework of Multiple Unmanned Aerial Vehicles for Dynamic Wildfire Tracking. IEEE Trans. Syst. Man. Cybern. Syst. 2020, 50, 1537–1548. [Google Scholar] [CrossRef]
- Jere, N.R.; Scott, M.S.; Taruvinga, A. An Integrated Mobile Veld Fire Detection and Sharing Platform for Southern Africa. In Proceedings of the South African Institute of Computer Scientists and Information Technologists, Thaba Nchu, South Africa, 26–28 September 2017; Blignaut, P., Stott, T., Eds.; Association for Computing Machinery: New York, NY, USA, 2017; Volume F130806. [Google Scholar] [CrossRef]
- Viegas, C.; Chehreh, B.; Andrade, J.; Lourenço, J. Tethered UAV with Combined Multi-Rotor and Water Jet Propulsion for Forest Fire Fighting. J. Intell. Rob. Syst. Theor. Appl. 2022, 104, 21. [Google Scholar] [CrossRef]
- Atanasov, M. Aircraft Firefighting Capabilities Using Suspended Containers. Eurasia Proc. Sci. Technol. Eng. Math. 2023, 26, 38–48. [Google Scholar] [CrossRef]
- Tereshonkov, V.A.; Prokopenko, D.A.; Sushko, E.A. Design of a Modern System of Pouring Aircraft Equipment for Discharging Fire-Extinguishing Liquid from a Transport Aircraft. In Proceedings of the 2022 International Conference on Industrial Engineering, Applications and Manufacturing (ICIEAM), Sochi, Russian Federation, 16–20 May 2022; Institute of Electrical and Electronics Engineers Inc.: New York, NY, USA, 2022; pp. 654–658. [Google Scholar] [CrossRef]
- Yufeng, F.; Yang, D.; Shufeng, Y. Condition Monitoring of Fire Water Supply System Based on LoRa Wireless Network. In Proceedings of the Data Processing Techniques and Applications for Cyber-Physical Systems (DPTA 2019), Shanghai, China, 15–16 November 2019; Huang, C., Chan, Y.-W., Yen, N., Eds.; Springer: Berlin/Heidelberg, Germany, 2020; Volume 1088, pp. 593–602. [Google Scholar] [CrossRef]
- Wang, Y.; Shi, X.; Zheng, Z.; Yin, B.; Yao, X. CFD-Based Numerical Simulation Method of Fire-Fighting Robot Jet. In Proceedings of the 2nd International Conference on Computing and Data Science, Stanford, CA, USA, 28–30 January 2021; Association for Computing Machinery: New York, NY, USA, 2021; Volume F168982. [Google Scholar] [CrossRef]
- Zhang, Q.; Ke, G. Kinematic Analysis of Fire-Fighting Robot under the Impact of Waterflow Recoil Force. In Proceedings of the 2015 IEEE International Conference on Mechatronics and Automation (ICMA), Beijing, China, 2–5 August 2015; Institute of Electrical and Electronics Engineers Inc.: New York, NY, USA, 2015; pp. 264–268. [Google Scholar] [CrossRef]
- Yuan, C.; Wang, Y.; Li, H.; Dai, C.; Lu, S.; Zhang, H. Simulation Study of Filling Conditions for Aircraft Fire Suppression Systems. In Proceedings of the IET Conference Proceedings CP805, Nanching, China, 17–20 August 2022; Institution of Engineering and Technology: London, UK, 2022; Volume 2022, pp. 1172–1178. [Google Scholar] [CrossRef]
- Bolón-Canedo, V.; Morán-Fernández, L.; Cancela, B.; Alonso-Betanzos, A. A review of green artificial intelligence: Towards a more sustainable future. Neurocomputing 2024, 599, 128096. [Google Scholar] [CrossRef]
- Dhar, P. The carbon impact of artificial intelligence. Nat. Mach. Intell. 2020, 2, 423–425. [Google Scholar] [CrossRef]
- Mazzolai, B.; Laschi, C.; Margheri, L. Environmental Intelligence and ecorobotics: Toward Environmental Sustainability. Annu. Rev. Control Robot. Auton. Syst. 2025, 8, 25–47. [Google Scholar] [CrossRef]
- Shen, Y.; Yang, Z.; Zhang, X. Impact of digital technology on carbon emissions: Evidence from Chinese cities. Front. Ecol. Evol. 2023, 11, 1166376. [Google Scholar] [CrossRef]
- Li, X.; Tian, Q. How Does Usage of Robot Affect Corporate Carbon Emissions?—Evidence from China’s Manufacturing Sector. Sustainability 2023, 15, 1198. [Google Scholar] [CrossRef]
- Wang, Q.; Li, Y.; Li, R. Ecological footprints, carbon emissions, and energy transitions: The impact of artificial intelligence (AI). Humanit. Soc. Sci. Commun. 2024, 11, 1043. [Google Scholar] [CrossRef]









| Affiliation | Number of Publications |
|---|---|
| University of Science and Technology of China | 42 |
| Ministry of Education of the People’s Republic of China | 20 |
| Technion–Israel Institute of Technology | 20 |
| Trinity College, Hartford, U.S. | 18 |
| National Institute of Standards and Technology, U.S. | 16 |
| Author | Number of Publications |
|---|---|
| Ahlgren D.J. | 19 |
| Anon | 17 |
| Verner I.M. | 17 |
| Zhang J. | 12 |
| Tadokoro S. | 11 |
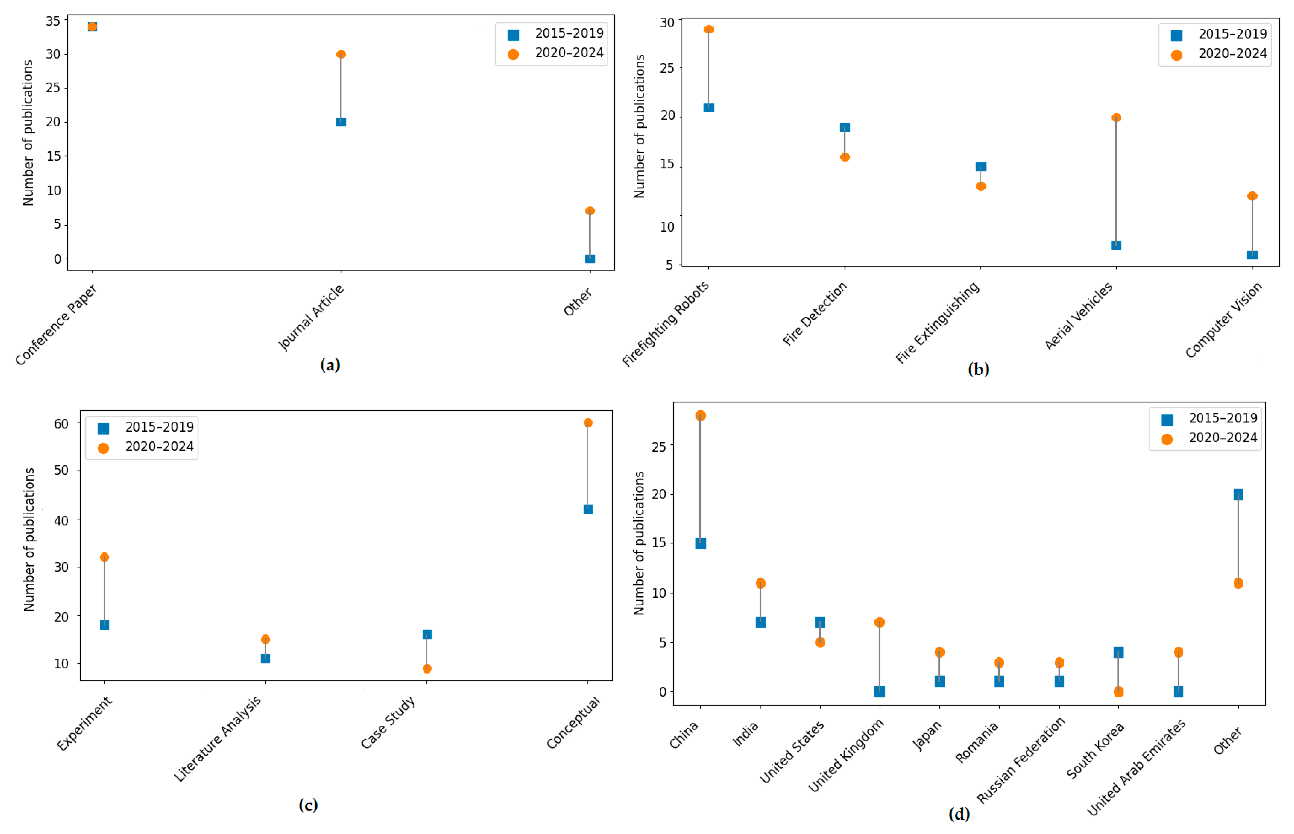
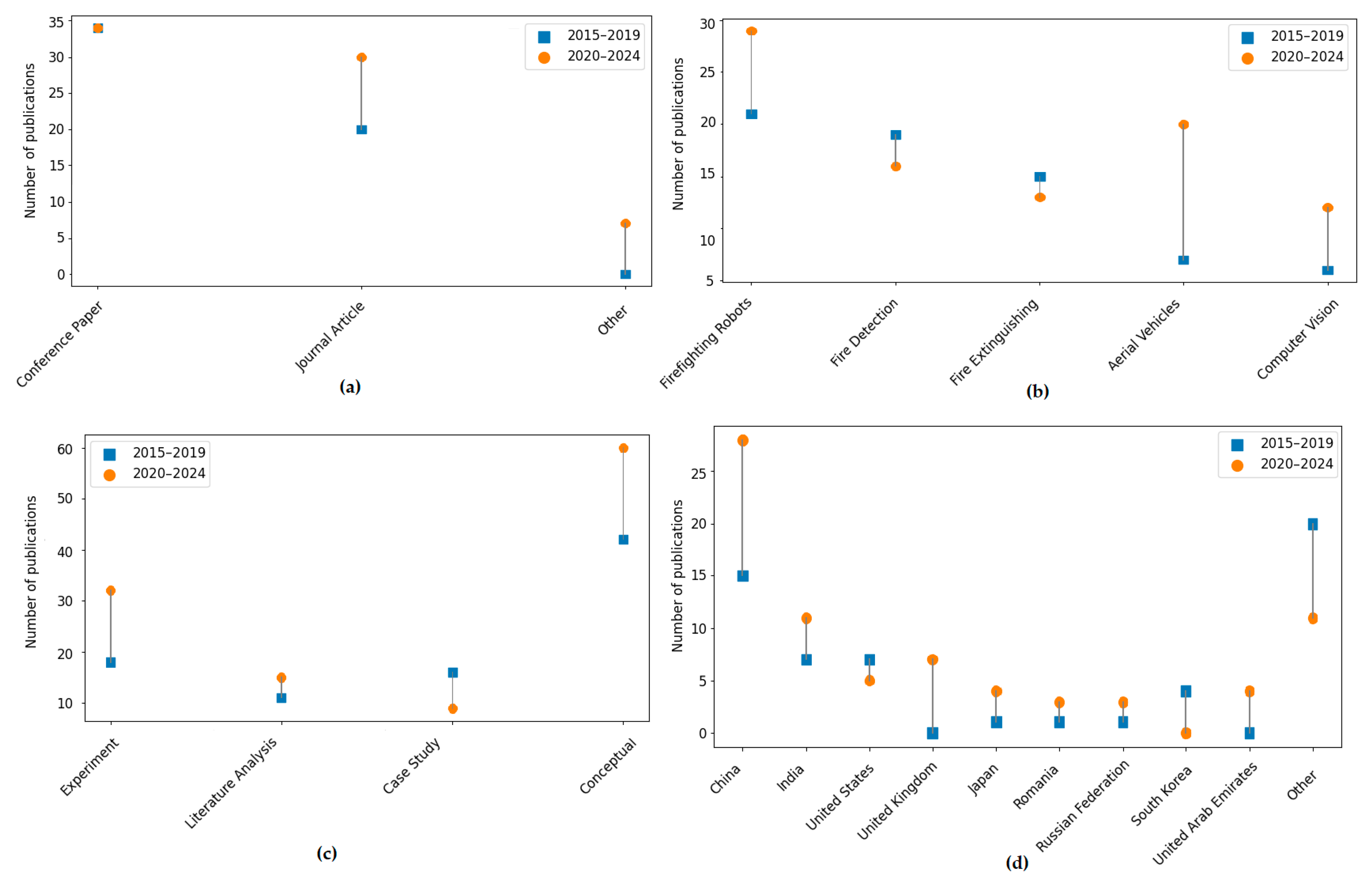
| Name | 2015–2019 | 2020–2024 | All Years | Share [%] | Chi-Square |
|---|---|---|---|---|---|
| Total | 54 | 71 | 125 | 100.0 | χ2 |
| Document Type | |||||
| Conference paper | 33 | 34 | 67 | 53.6 | χ2 = 4.28 (df = 2, p = 0.12) |
| Journal article | 20 | 30 | 50 | 40.0 | |
| Other a | 1 | 7 | 8 | 6.4 | |
| Firefighting Technology b | |||||
| Firefighting Robots | 21 | 29 | 50 | 40.0 | χ2 = 7.01 (df = 4, p = 0.14) |
| Fire Detection | 19 | 16 | 35 | 28.0 | |
| Fire Extinguishing | 15 | 13 | 28 | 22.4 | |
| Aerial Vehicles | 7 | 20 | 27 | 21.6 | |
| Computer Vision | 6 | 12 | 18 | 14.4 | |
| Research Methodology c | |||||
| Experiment | 18 | 32 | 50 | 40.0 | χ2 = 5.64 (df = 3, p = 0.13) |
| Literature Analysis | 11 | 15 | 26 | 20.8 | |
| Case Study | 16 | 9 | 25 | 20.0 | |
| Conceptual | 42 | 60 | 102 | 81.6 | |
| Name | 2015–2019 | 2020–2024 | All Years | Share [%] | Chi-Square |
|---|---|---|---|---|---|
| Total | 56 | 76 | 132 | 100.0 | χ2 |
| Country | |||||
| China | 15 | 28 | 43 | 0.33 | χ2 = 2.61 (df = 3, p = 0.46) |
| India | 7 | 11 | 18 | 0.14 | |
| USA | 7 | 5 | 12 | 0.09 | |
| Other a | 27 | 11 | 59 | 0.45 | |
| Name | Firefighting Robots | Fire Detection | Fire Extinguishing | Aerial Vehicles | Computer Vision | Total | Chi-Square |
|---|---|---|---|---|---|---|---|
| Total | 50 | 35 | 28 | 27 | 18 | 125 | χ2 |
| Research Methodology | |||||||
| Experiment | 23 | 14 | 9 | 13 | 9 | 50 | χ2 = 10.06 (df = 12, p = 0.61) |
| Literature Analysis | 9 | 3 | 9 | 6 | 2 | 26 | |
| Case Study | 10 | 9 | 7 | 5 | 2 | 25 | |
| Conceptual | 42 | 33 | 18 | 23 | 16 | 102 |
Disclaimer/Publisher’s Note: The statements, opinions and data contained in all publications are solely those of the individual author(s) and contributor(s) and not of MDPI and/or the editor(s). MDPI and/or the editor(s) disclaim responsibility for any injury to people or property resulting from any ideas, methods, instructions or products referred to in the content. |
© 2025 by the authors. Licensee MDPI, Basel, Switzerland. This article is an open access article distributed under the terms and conditions of the Creative Commons Attribution (CC BY) license (https://creativecommons.org/licenses/by/4.0/).
Share and Cite
Loboichenko, V.; Wilk-Jakubowski, G.; Pawlik, L.; Wilk-Jakubowski, J.L.; Shevchenko, R.; Shevchenko, O.; Harabin, R.; Kuchcinski, A.; Fedorchuk-Moroz, V.; Khmyrova, A.; et al. Review of Advances in Fire Extinguishing Based on Computer Vision Applications: Methods, Challenges, and Future Directions. Sensors 2025, 25, 6399. https://doi.org/10.3390/s25206399
Loboichenko V, Wilk-Jakubowski G, Pawlik L, Wilk-Jakubowski JL, Shevchenko R, Shevchenko O, Harabin R, Kuchcinski A, Fedorchuk-Moroz V, Khmyrova A, et al. Review of Advances in Fire Extinguishing Based on Computer Vision Applications: Methods, Challenges, and Future Directions. Sensors. 2025; 25(20):6399. https://doi.org/10.3390/s25206399
Chicago/Turabian StyleLoboichenko, Valentyna, Grzegorz Wilk-Jakubowski, Lukasz Pawlik, Jacek Lukasz Wilk-Jakubowski, Roman Shevchenko, Olga Shevchenko, Radoslaw Harabin, Artur Kuchcinski, Valentyna Fedorchuk-Moroz, Anastasiia Khmyrova, and et al. 2025. "Review of Advances in Fire Extinguishing Based on Computer Vision Applications: Methods, Challenges, and Future Directions" Sensors 25, no. 20: 6399. https://doi.org/10.3390/s25206399
APA StyleLoboichenko, V., Wilk-Jakubowski, G., Pawlik, L., Wilk-Jakubowski, J. L., Shevchenko, R., Shevchenko, O., Harabin, R., Kuchcinski, A., Fedorchuk-Moroz, V., Khmyrova, A., & Rushchak, I. (2025). Review of Advances in Fire Extinguishing Based on Computer Vision Applications: Methods, Challenges, and Future Directions. Sensors, 25(20), 6399. https://doi.org/10.3390/s25206399

