Direct Estimation of Electric Field Distribution in Circular ECT Sensors Using Graph Convolutional Networks
Abstract
1. Introduction
- A novel application of Graph Convolutional Networks is proposed to directly and accurately predict complete electric potential distributions within an eight-electrode Electrical Capacitance Tomography sensor. This approach bypasses traditional computationally intensive Finite Element Method simulations for the forward problem.
- The model leverages the Spline Convolutional (SplineConv) operator, which is specifically designed to incorporate and utilize multi-dimensional edge attributes. This enables the model to exploit electrode-related proximity information embedded in the graph structure, leading to rich and physically informed representations from FEM-generated graph data.
- A rigorous evaluation of the prediction fidelity is conducted through comprehensive comparisons. The GCN-predicted electric potential fields are quantitatively assessed against reference FEM-generated fields. Furthermore, the accuracy of simulated capacitance values derived from the predicted potentials is validated against FEM-calculated capacitances.
- This work provides a compelling proof-of-concept demonstrating that GCN-based surrogate models can effectively replace conventional FEM solvers for achieving near real-time forward modeling in ECT. This significantly reduces the computational overhead associated with the forward problem, paving the way for faster iterative reconstruction algorithms or online monitoring applications.
2. Background
3. Methodology
3.1. ECT Sensor Configuration and Forward Problem Definition
3.2. Dataset Generation Using FEM
- A circular domain discretized into 335 nodes and 604 triangular elements.
- A random permittivity distribution composed of 1 to 5 separate or overlapping inclusions with varying shapes and contrasts (in the range 1–4 of relative electrical permittivity).
- FEM-computed electric potential values at each of the 335 mesh nodes for all eight excitation patterns.
- Eight additional features extracted from the row of the FEM system matrix corresponding to a given sample: the corresponding eigenvalue, as well as the row-wise mean, standard deviation, minimum, maximum, range (max–min), sum, and variance, which capture structural and spatial patterns related to the electrode configuration and mesh topology.
3.3. GCN-Based Graph Model Architecture for Electric Potential Prediction
3.3.1. Input and Output Data Representation
3.3.2. Architecture Overview
3.3.3. Training Setup and Parameters
3.4. Post-Processing Using Predicted Potential: Capacitance Computation
3.5. Evaluation Metrics
- Qualitative visualization of predicted vs. reference electric potential distributions.
- Percentage MSE (pMSE) and MAE (pMAE) between CNN-based and FEM-based electric potential distributions over all nodes defined as follows:
4. Results
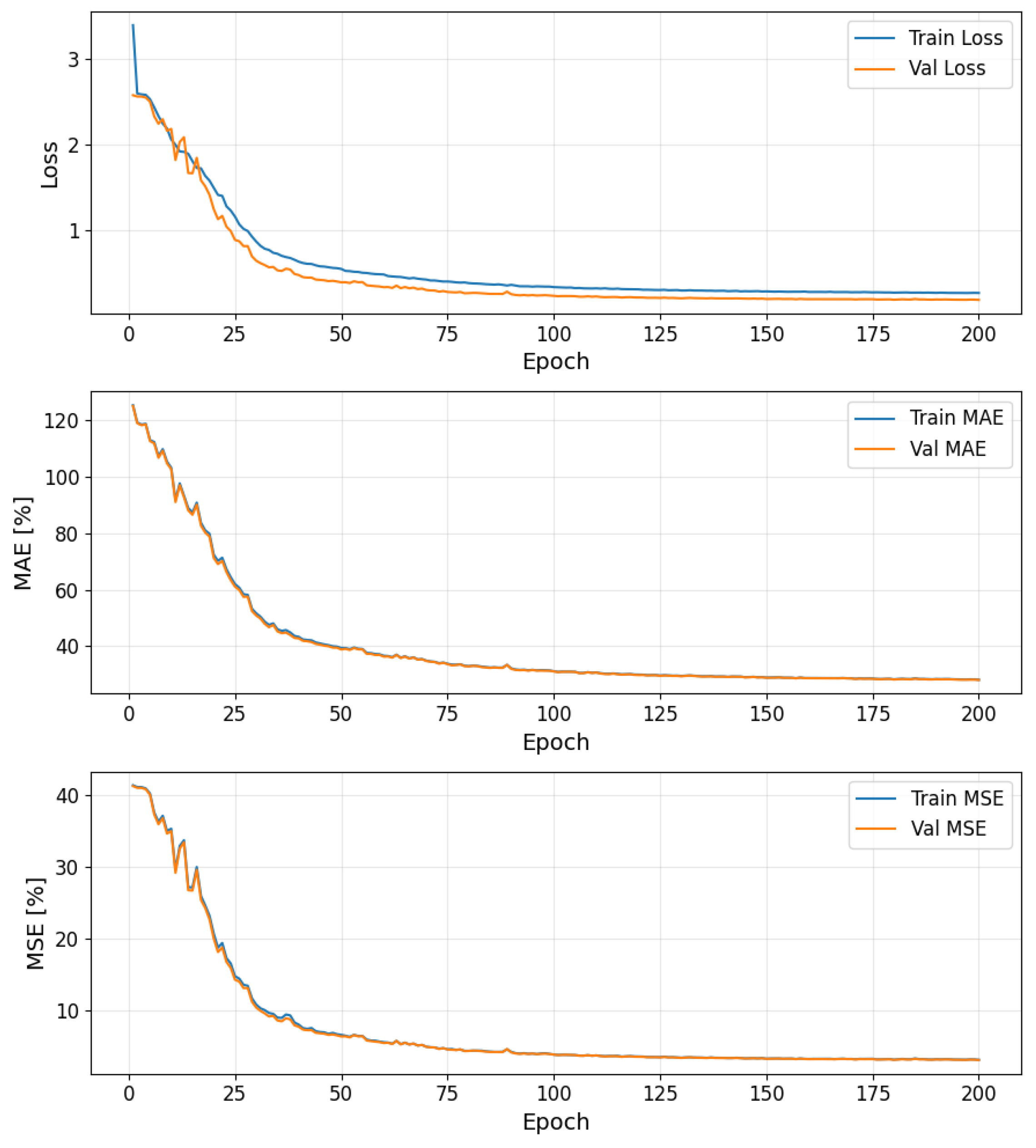
4.1. Global Statistical Evaluation
4.2. Electric Potential Prediction Accuracy
4.3. Capacitance Comparison
4.4. Computation Time and Inference Speed
5. Discussion
5.1. Model Performance
5.2. Error Analysis
5.3. Computational Efficiency
5.4. Limitations and Future Work
5.5. Key Contributing Factors
- Structured input representations, where permittivity maps allow GCNs to effectively capture spatial relationships and field gradients.
- Access to a rich FEM-generated training dataset, which enables the network to generalize well to unseen configurations.
- Validation through derived physical quantities, such as inter-electrode capacitances, confirming the physical consistency of the predictions.
6. Conclusions
Author Contributions
Funding
Institutional Review Board Statement
Informed Consent Statement
Data Availability Statement
Conflicts of Interest
Abbreviations
| ECT | Electrical Capacitance Tomography |
| FEM | Finite Element Method |
| GCN | Graph Convolutional Neural Network |
| MSE | Mean Squared Error |
| MAE | Mean Absolute Error |
| GPU | Graphics Processing Unit |
| CPU | Central Processing Unit |
| ReLU | Rectified Linear Unit |
References
- Plaskowski, A.; Beck, M.; Thorn, R.; Dyakowski, T. Imaging Industrial Flows: Applications of Electrical Process Tomography; Taylor & Francis: Abingdon, UK, 1995; Available online: https://books.google.pl/books?id=1p-G0rfJZI0C (accessed on 10 July 2025).
- Jaworski, A.; Dyakowski, T. Application of electrical capacitance tomography for measurement of gas-solids flow characteristics in a pneumatic conveying system. Meas. Sci. Technol. 2001, 12, 1109. [Google Scholar] [CrossRef]
- Dyakowski, T.; Jaworski, A. Non-invasive process imaging—Principles and applications of industrial process tomography. Chem. Eng. Technol. 2003, 26, 697–706. [Google Scholar] [CrossRef]
- Ahmad, T.; Jin, L.; Zhang, X.; Lai, S.; Tang, G.; Lin, L. Graph Convolutional Neural Network for Human Action Recognition: A Comprehensive Survey. IEEE Trans. Artif. Intell. 2021, 2, 128–145. [Google Scholar] [CrossRef]
- Wang, Y.; Peng, Y.; Han, M.; Liu, X.; Niu, H.; Cheng, J.; Chang, S.; Liu., T. GCTNet: A graph convolutional transformer network for major depressive disorder detection based on EEG signals. J. Neural Eng. 2024, 21, 036042. [Google Scholar] [CrossRef] [PubMed]
- Fabijanska, A.; Banasiak, R. Graph convolutional networks for enhanced resolution 3D Electrical Capacitance Tomography image reconstruction. Appl. Soft Comput. 2021, 110, 107608. [Google Scholar] [CrossRef]
- Soleimani, M.; Lionheart, W. Nonlinear image reconstruction for electrical capacitance tomography using experimental data. Meas. Sci. Technol. 2005, 16, 1987. [Google Scholar] [CrossRef]
- Peng, L.; Lu, G.; Yang, W. Image reconstruction algorithms for electrical capacitance tomography: State of the art. Qinghua Daxue Xuebao/J. Tsinghua Univ. 2004, 44, 478–484. [Google Scholar]
- Cui, Z.; Wang, Q.; Xue, Q.; Fan, W.; Zhang, L.; Cao, Z.; Sun, B.; Wang, H.; Yang, W. A review on image reconstruction algorithms for electrical capacitance/resistance tomography. Sens. Rev. 2016, 36, 429–445. [Google Scholar] [CrossRef]
- Warsito, W.; Fan, L.S. Measurement of real-time flow structures in gas-liquid and gas-liquid-solid flow systems using electrical capacitance tomography (ect). Chem. Eng. Sci. 2001, 56, 6455–6462. [Google Scholar] [CrossRef]
- Raghavan, R.; Senior, P.; Wang, H.; Yang, W.; Duncan, S. Modelling, measurement and analysis of fluidised bed dryer using an ect sensor. In Proceedings of the 5th World Congress in Industrial Process Tomography, Bergen, Norway, 3–6 September 2007; pp. 334–341. [Google Scholar]
- Banasiak, R.; Wajman, R.; Sankowski, D.; Soleimani, M. Three-dimensional nonlinear inversion of electrical capacitance tomography data using a complete sensor model. Prog. Electromagn. Res. 2010, 100, 219–234. [Google Scholar] [CrossRef]
- Marashdeh, Q.; Warsito, W.; Fan, L.-S.; Teixeira, F.L. Nonlinear forward problem solution for electrical capacitance tomography using feed-forward neural network. IEEE Sens. J. 2006, 6, 441–449. [Google Scholar] [CrossRef]
- Abdelrahman, M.A.; Gupta, A.; Deabes, W.A. A Feature-Based Solution to Forward Problem in Electrical Capacitance Tomography of Conductive Materials. IEEE Trans. Instrum. Meas. 2011, 60, 430–441. [Google Scholar] [CrossRef]
- Ma, H.; Yue, S.; Lu, J.; Yem, S.; Wang, H. Convolutional Neural Network for Determining Sensitivity Matrix in ETI. In Proceedings of the 2020 39th Chinese Control Conference (CCC), Shenyang, China, 27–29 July 2020; pp. 7112–7117. [Google Scholar]
- Shi, D.; Zheng, W.; Guo, D.; Liu, H. Conditional Diffusion Model for Electrical Impedance Tomography. IEEE Trans. Instrum. Meas. 2025, 74, 4504513. [Google Scholar] [CrossRef]
- Isola, P.; Zhu, J.-Y.; Zhou, T.; Efros, A.A. Image-to-Image Translation with Conditional Adversarial Networks. In Proceedings of the 2017 IEEE Conference on Computer Vision and Pattern Recognition (CVPR), Honolulu, HI, USA, 21–26 July 2017; pp. 5967–5976. [Google Scholar] [CrossRef]
- Xu, Z.; Li, J.; Chen, R.; Liu, X.; Tan, Y.; Tian, W. DCGAN-based image enhancement in electrical capacitance tomography. In Proceedings of the 2023 IEEE International Conference on Imaging Systems and Techniques (IST), Copenhagen, Denmark, 13–15 November 2023; pp. 1–6. [Google Scholar] [CrossRef]
- Zheng, J.; Ma, H.; Peng, L. A CNN-Based Image Reconstruction for Electrical Capacitance Tomography. In Proceedings of the 2019 IEEE International Conference on Imaging Systems and Techniques (IST), Abu Dhabi, United Arab Emirates, 9–11 December 2019; pp. 1–6. [Google Scholar] [CrossRef]
- Adler, J.; Öktem, O. Learned Primal-Dual Reconstruction. IEEE Trans. Med. Imaging 2018, 37, 1322–1332. [Google Scholar] [CrossRef] [PubMed]
- Herzberg, W.; Rowe, D.B.; Hauptmann, A.; Hamilton, S.J. Graph Convolutional Networks for Model-Based Learning in Nonlinear Inverse Problems. IEEE Trans. Comput. Imaging 2021, 7, 1341–1353. [Google Scholar] [CrossRef] [PubMed]
- Kryszyn, J.; Smolik, W. Toolbox for 3d modelling and image reconstruction in electrical capacitance tomography. Inform. Autom. Pomiary W Gospod. I Ochr. Środowiska 2017, 7, 137–145. [Google Scholar] [CrossRef]
- Wanta, D.; Smolik, W.T.; Kryszyn, J.; Wróblewski, P.; Midura, M. Finite Volume Method using a Quadtree Non-Uniform Structured Mesh for Modeling in Electrical Capacitance Tomography. Proc. Natl. Acad. Sci. India Sect. A Phys. Sci. 2022, 92, 443–452. [Google Scholar] [CrossRef]
- Ivanenko, M.; Smolik, W.T.; Wanta, D.; Midura, M.; Wróblewski, P.; Hou, X.; Yan, X. Image Reconstruction Using Supervised Learning in Wearable Electrical Impedance Tomography of the Thorax. Sensors 2023, 23, 7774. [Google Scholar] [CrossRef] [PubMed]





















| Sample Index | pMSE [%] | pMAE [V] |
|---|---|---|
| 5096 | 0.110843 | 0.024506 |
| 9392 | 0.098940 | 0.027721 |
| 20257 | 0.119838 | 0.026305 |
| 39644 | 0.089179 | 0.019808 |
| 42126 | 0.056943 | 0.018794 |
| Sample | cMSE [%] | cMAE [pF] |
|---|---|---|
| 5096 | 15.1324 | 2.7429 |
| 9392 | 0.7782 | 0.7261 |
| 20257 | 47.9526 | 5.0307 |
| 39644 | 65.9216 | 5.4097 |
| 42126 | 5.9615 | 1.9664 |
Disclaimer/Publisher’s Note: The statements, opinions and data contained in all publications are solely those of the individual author(s) and contributor(s) and not of MDPI and/or the editor(s). MDPI and/or the editor(s) disclaim responsibility for any injury to people or property resulting from any ideas, methods, instructions or products referred to in the content. |
© 2025 by the authors. Licensee MDPI, Basel, Switzerland. This article is an open access article distributed under the terms and conditions of the Creative Commons Attribution (CC BY) license (https://creativecommons.org/licenses/by/4.0/).
Share and Cite
Banasiak, R.; Stawska, Z.; Fabijańska, A. Direct Estimation of Electric Field Distribution in Circular ECT Sensors Using Graph Convolutional Networks. Sensors 2025, 25, 6371. https://doi.org/10.3390/s25206371
Banasiak R, Stawska Z, Fabijańska A. Direct Estimation of Electric Field Distribution in Circular ECT Sensors Using Graph Convolutional Networks. Sensors. 2025; 25(20):6371. https://doi.org/10.3390/s25206371
Chicago/Turabian StyleBanasiak, Robert, Zofia Stawska, and Anna Fabijańska. 2025. "Direct Estimation of Electric Field Distribution in Circular ECT Sensors Using Graph Convolutional Networks" Sensors 25, no. 20: 6371. https://doi.org/10.3390/s25206371
APA StyleBanasiak, R., Stawska, Z., & Fabijańska, A. (2025). Direct Estimation of Electric Field Distribution in Circular ECT Sensors Using Graph Convolutional Networks. Sensors, 25(20), 6371. https://doi.org/10.3390/s25206371

