Three-Dimensionally Printed Temperature Sensors Based on Conductive PLA Materials
Abstract
1. Introduction
2. Materials and Methods
2.1. Materials
2.2. Methods
2.3. Experiments
2.4. Analysis of Results
- 1.
- Calculations of the normalized variation in resistance relative to the initial value are essential due to inherent differences among the samples. These variations may arise from inconsistencies in the manufacturing process, the dimensions of the silver tape (which can vary since it is cut by hand), and the positioning of the tape on the conductive PLA layer. Normalization of the resistance allows the identification of the general behaviour of the sensor and enables a reliable comparison between different tests, effectively evaluating the repeatability of the measurements. Resistance is normalized based on the voltage data acquired during the test using the following equation [42]:where is the instantaneous resistance, and is the initial resistance value measured after the printing and wire soldering phase, as indicated in Table 2;
- 2.
- Identification of individual temperature cycles within the data and plotting the corresponding resistance variations;
- 3.
- Exponential curve fitting for both the heating (ascending) and cooling (descending) phases in order to derive a model describing the correlation between resistance change and temperature [26];
- 4.
- Determination of a reference value to quantify the deviation between the experimental data and the fitted curve;
- 5.
- Estimation of the associated fitting error.
3. Results
3.1. Preliminary Test
3.2. Results of the Long Cycle
4. Conclusions
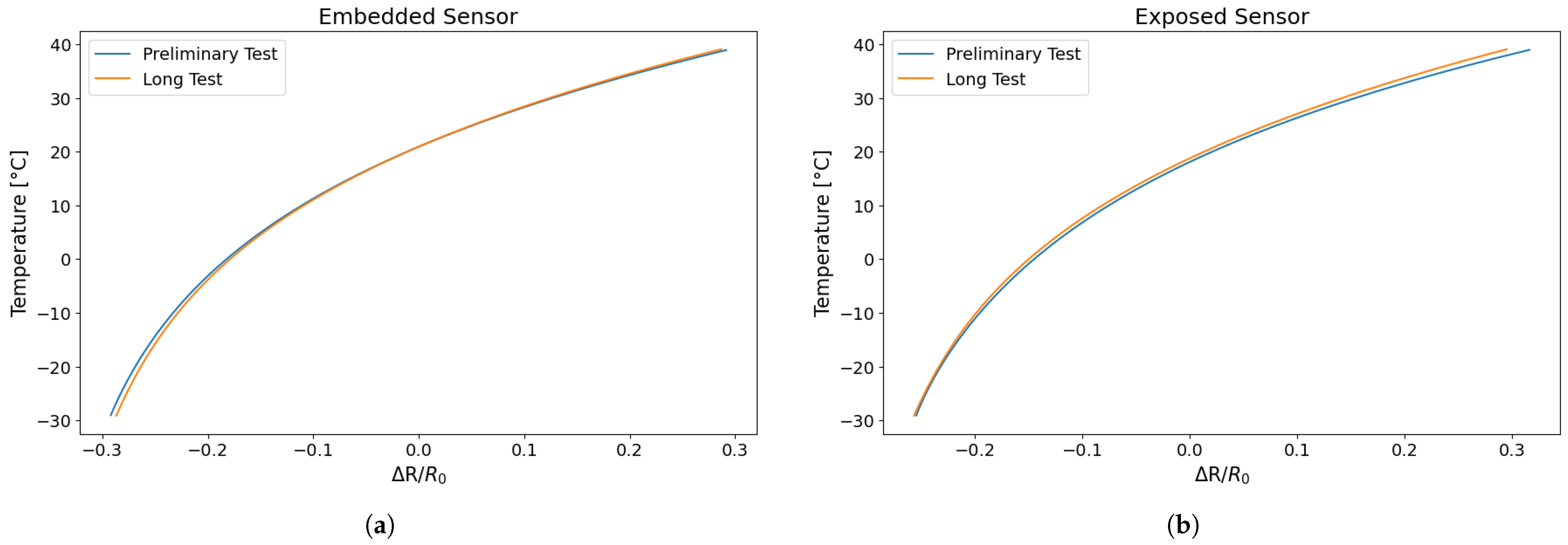
- The resistance of conductive PLA shows a clear and repeatable dependence on temperature. Although the material exhibits hysteresis during thermal cycling, its response remains stable and consistent across repeated loadings. A comparison between embedded and exposed sensors indicated that exposed sensors generally display lower variability and reduced hysteresis, resulting in smaller deviations in measured values.
- A functional relationship between resistance and temperature was identified through curve fitting. Within the scope of this feasibility study, the derived model showed deviations of about 3 °C between predicted and measured values. This margin should not be considered as a definitive sensor accuracy but rather as an indication of the potential of conductive PLA for temperature sensing. More complex models would allow for a better estimation of the temperature including also the hysteretic behaviour of the sensor.
- A distinctive contribution of this work lies in its extended characterization beyond the positive temperature ranges commonly investigated in the literature, including multiple heating and cooling cycles across both positive and sub-zero conditions. This novelty demonstrates the potential of conductive PLA sensors for applications in environments with fluctuating or harsh thermal conditions.
Author Contributions
Funding
Data Availability Statement
Acknowledgments
Conflicts of Interest
References
- Nath, S.D.; Nilufar, S. An overview of additive manufacturing of polymers and associated composites. Polymers 2020, 12, 2719. [Google Scholar] [CrossRef]
- Khosravani, M.R.; Reinicke, T. 3D-printed sensors: Current progress and future challenges. Sens. Actuators A 2020, 305, 111916. [Google Scholar] [CrossRef]
- Hossain, M.J.; Tabatabaei, B.T.; Kiki, M.; Choi, J.W. Additive manufacturing of sensors: A comprehensive review. Int. J. Precis. Eng. Manuf. Technol. 2025, 12, 277–300. [Google Scholar] [CrossRef]
- Mahale, R.S.; Vasanth, S.; Krishna, H.; Chikkegouda, S.P.; Rajendrachari, S.; Patil, A.; Rathod, B.S. Sensor-based additive manufacturing technologies. Biointerface Res. Appl. Chem. 2022, 12, 3513–3521. [Google Scholar]
- Singh, S.; Ramakrishna, S.; Berto, F. 3D Printing of polymer composites: A short review. Mater. Des. Process. Commun. 2020, 2, e97. [Google Scholar] [CrossRef]
- Raj, A.; Chandrakar, A.S.; Tyagi, B.; Jain, A.; Gupta, H.; Bhardwaj, L.; Goyal, A.; Layal, P.K.; Rajora, A.; Malik, G.; et al. Advancements in material extrusion based three-dimensional printing of sensors: A review. Int. J. Interact. Des. Manuf. 2024, 18, 627–648. [Google Scholar] [CrossRef]
- Yang, T.; Hu, J.; Wang, P.; Edeleva, M.; Cardon, L.; Zhang, J. Two-step approach based on fused filament fabrication for high performance graphene/thermoplastic polyurethane composite with segregated structure. Compos. Part A 2023, 174, 107719. [Google Scholar] [CrossRef]
- Sam-Daliri, O.; Kelly, C.; Walls, M.; Flanagan, T.; Finnegan, W.; Harrison, N.M.; Ghabezi, P. Carbon Nanotubes–Elium Nanocomposite Sensor for Structural Health Monitoring of Unidirectional Glass Fibre Reinforced Epoxy Composite. Compos. Commun. 2025, 58, 102503. [Google Scholar] [CrossRef]
- Zhou, X.; Wu, L.; Wang, J. Recent developments in conductive polymer composites for fused deposition modeling. Compos. Part A 2023, 174, 107739. [Google Scholar] [CrossRef]
- Hassan, M.S.; Zaman, S.; Dantzler, J.Z.; Leyva, D.H.; Mahmud, M.S.; Ramirez, J.M.; Gomez, S.G.; Lin, Y. 3D Printed Integrated Sensors: From Fabrication to Applications—A Review. Nanomaterials 2023, 13, 3148. [Google Scholar] [CrossRef]
- Pejak Simunec, D.; Sola, A. Emerging research in conductive materials for fused filament fabrication: A critical review. Adv. Eng. Mater. 2022, 24, 2101476. [Google Scholar] [CrossRef]
- KS, J.H.; Subramaniam, M.P.; KT, M.K.; Sreeram, P.; Parvathi, S.; PS, S.; Pullanchiyodan, A.; Mulhivill, D.M.; Raghavan, P. Fabrication and challenges of 3D printed sensors for biomedical applications-Comprehensive review. Results Eng. 2024, 21, 101867. [Google Scholar] [CrossRef]
- Morettini, G.; Zucca, G.; Braccesi, C.; Cianetti, F.; Dionigi, M. Cubesat spatial expedition: An overview from design to experimental verification. In Proceedings of the IOP Conference Series: Materials Science and Engineering, Genova, Italy, 2–5 September 2020; p. 012026. [Google Scholar]
- Ju, M.; Dou, Z.; Li, J.W.; Qiu, X.; Shen, B.; Zhang, D.; Yao, F.Z.; Gong, W.; Wang, K. Piezoelectric materials and sensors for structural health monitoring: Fundamental aspects, current status, and future perspectives. Sensors 2023, 23, 543. [Google Scholar] [CrossRef]
- Staffa, A.; Palmieri, M.; Morettini, G.; Zucca, G.; Crocetti, F.; Cianetti, F. Development and Validation of a Low-Cost Device for Real-Time Detection of Fatigue Damage of Structures Subjected to Vibrations. Sensors 2023, 23, 5143. [Google Scholar] [CrossRef]
- Palmieri, M.; Slavič, J.; Cianetti, F. Single-process 3D-printed structures with vibration durability self-awareness. Addit. Manuf. 2021, 47, 102303. [Google Scholar]
- Qian, F.; Jia, R.; Cheng, M.; Chaudhary, A.; Melhi, S.; Mekkey, S.D.; Zhu, N.; Wang, C.; Razak, F.; Xu, X.; et al. An overview of polylactic acid (PLA) nanocomposites for sensors. Adv. Compos. Hybrid Mater. 2024, 7, 75. [Google Scholar] [CrossRef]
- Chen, D.; Han, Z.; Zhang, J.; Xue, L.; Liu, S. Additive manufacturing provides infinite possibilities for self-sensing technology. Adv. Sci. 2024, 11, 2400816. [Google Scholar]
- Akmal, J.; Salmi, M. Additive manufacturing of self-sensing parts through material extrusion. Virtual Phys. Prototyp. 2024, 19, e2321200. [Google Scholar] [CrossRef]
- Staffa, A.; Palmieri, M.; Morettini, G.; Cianetti, F. Sensitivity Analysis of Integrated Sensors Created Through Additive Manufacturing for Monitoring Components Subject to Dynamic Loads. Eng. Proc. 2025, 85, 26. [Google Scholar]
- Košir, T.; Zupan, M.; Slavič, J. Self-aware active metamaterial cell 3D-printed in a single process. Int. J. Mech. Sci. 2024, 282, 109591. [Google Scholar] [CrossRef]
- Jeon, J.G.; Hong, G.W.; Park, H.G.; Lee, S.K.; Kim, J.H.; Kang, T.J. Resistance temperature detectors fabricated via dual fused deposition modeling of polylactic acid and polylactic acid/carbon black composites. Sensors 2021, 21, 1560. [Google Scholar] [CrossRef]
- Al-Rubaiai, M.; Pinto, T.; Torres, D.; Sepulveda, N.; Tan, X. Characterization of a 3d-printed conductive pla material with electrically controlled stiffness. In Proceedings of the Smart Materials, Adaptive Structures and Intelligent Systems, Snowbird, UT, USA, 18–20 September 2017; p. V001T01A003. [Google Scholar]
- Tirado-Garcia, I.; Garcia-Gonzalez, D.; Garzon-Hernandez, S.; Rusinek, A.; Robles, G.; Martinez-Tarifa, J.M.; Arias, A. Conductive 3D printed PLA composites: On the interplay of mechanical, electrical and thermal behaviours. Compos. Struct. 2021, 265, 113744. [Google Scholar] [CrossRef]
- Stopforth, R. Conductive polylactic acid filaments for 3D printed sensors: Experimental electrical and thermal characterization. Sci. Afr. 2021, 14, e01040. [Google Scholar] [CrossRef]
- Steckiewicz, A.; Konopka, K.; Choroszucho, A.; Stankiewicz, J.M. Temperature measurement at curved surfaces using 3D printed planar resistance temperature detectors. Electronics 2021, 10, 1100. [Google Scholar] [CrossRef]
- Stankevich, S.; Sevcenko, J.; Bulderberga, O.; Dutovs, A.; Erts, D.; Piskunovs, M.; Ivanovs, V.; Ivanov, V.; Aniskevich, A. Electrical resistivity of 3D-printed polymer elements. Polymers 2023, 15, 2988. [Google Scholar] [CrossRef]
- Daniel, F.; Patoary, N.H.; Moore, A.L.; Weiss, L.; Radadia, A.D. Temperature-dependent electrical resistance of conductive polylactic acid filament for fused deposition modeling. Int. J. Adv. Manuf. Technol. 2018, 99, 1215–1224. [Google Scholar] [CrossRef]
- Prusa 3D. Prusament PLA Gravity Grey 1 kg. Available online: https://www.prusa3d.com/it/prodotto/prusament-pla-gravity-grey-1kg-2/ (accessed on 7 October 2025).
- Dharaiya, D.P.; Jana, S.C.; Lyuksyutov, S.F. Production of electrically conductive networks in immiscible polymer blends by chaotic mixing. Polym. Eng. Sci. 2006, 46, 19–28. [Google Scholar] [CrossRef]
- Arockiam, A.J.; Subramanian, K.; Padmanabhan, R.; Selvaraj, R.; Bagal, D.K.; Rajesh, S. A review on PLA with different fillers used as a filament in 3D printing. Mater. Today Proc. 2022, 50, 2057–2064. [Google Scholar] [CrossRef]
- Protopasta. Electrically Conductive Composite PLA. Available online: https://proto-pasta.com/products/conductive-pla (accessed on 7 October 2025).
- Calabria, D.; Lazzarini, E.; Pace, A.; Trozzi, I.; Zangheri, M.; Cinti, S.; Difonzo, M.; Valenti, G.; Guardigli, M.; Paolucci, F.; et al. Smartphone-based 3D-printed electrochemiluminescence enzyme biosensor for reagentless glucose quantification in real matrices. Biosens. Bioelectron. 2023, 227, 115146. [Google Scholar] [CrossRef]
- Aloqalaa, Z. Electrically conductive fused deposition modeling filaments: Current status and medical applications. Crystals 2022, 12, 1055. [Google Scholar] [CrossRef]
- Horst, D.J.; de Andrade Junior, P.P. Evaluating the Electrical Conductivity and Resistivity of Carbon Nanostructures Embedded in the PLA Matrix. Lett. Appl. Nanobiosci. 2020, 9, 1141–1146. [Google Scholar]
- Schouten, M.; Wolterink, G.; Dijkshoorn, A.; Kosmas, D.; Stramigioli, S.; Krijnen, G. A review of extrusion-based 3D printing for the fabrication of electro-and biomechanical sensors. IEEE Sens. J. 2020, 21, 12900–12912. [Google Scholar] [CrossRef]
- Beniak, J.; Šooš, L.; Križan, P.; Matúš, M.; Ruprich, V. Resistance and strength of conductive PLA processed by FDM additive manufacturing. Polymers 2022, 14, 678. [Google Scholar] [CrossRef]
- Prusa 3D. Stampante 3D Original Prusa XL. Available online: https://www.prusa3d.com/it/prodotto/original-prusa-xl-5/ (accessed on 7 October 2025).
- Cieślik, M.; Rodak, A.; Susik, A.; Wójcik, N.; Szociński, M.; Ryl, J.; Formela, K. Multiple reprocessing of conductive PLA 3D-printing filament: Rheology, morphology, thermal and electrochemical properties assessment. Materials 2023, 16, 1307. [Google Scholar] [CrossRef] [PubMed]
- Slavković, V.; Hanželič, B.; Plesec, V.; Milenković, S.; Harih, G. Thermo-mechanical behavior and strain rate sensitivity of 3D-printed polylactic acid (PLA) below glass transition temperature (Tg). Polymers 2024, 16, 1526. [Google Scholar] [CrossRef] [PubMed]
- Krivic, G.; Slavič, J. Simultaneous non-contact identification of the elastic modulus, damping and coefficient of thermal expansion in 3D-printed structures. Polym. Test. 2023, 125, 108131. [Google Scholar] [CrossRef]
- Fraden, J. Handbook of Modern Sensors: Physics, Designs, and Applications, 4th ed.; Springer: New York, NY, USA, 2004. [Google Scholar]


















| Parameters | Prusament PLA | Conductive PLA (Protopasta) |
|---|---|---|
| Layer height [mm] | 0.2 | |
| Infill density | 100% | |
| Fill angle [°] | 0 | |
| Infill pattern | Rectilinear | |
| Infill layer thickness [mm] | 0.2 | |
| Nozzle printing temperature [°C] | 220 | |
| Bed printing temperature [°C] | 60 | |
| Infill extrusion width [mm] | 0.45 | 0.42 |
| Bottom solid layers [num] | 3 | 0 |
| Perimeters [num] | 2 | 0 |
| Top solid layers [num] | 5 | 0 |
| Printing speed [mm/s] | 170 | 120 |
| Preliminary Test | Long Test | ||
|---|---|---|---|
| DATA | TEST 1 EMBEDDED | TEST 2 EXPOSED | TEST 3 |
| Resistance Sensor 0 | 600 | 431 | 410 (Exposed) |
| Resistance Sensor 1 | 630 | 446 | 630 (Embedded) |
| Resistance Sensor 2 | 550 | 435 | 470 (Exposed) |
| Resistance Sensor 3 | 575 | 410 | 650 (Embedded) |
| Number cycles | 4 | 4 | 12 |
| Number Cycle | Embedded Sensor | Exposed Sensor | |||||||
|---|---|---|---|---|---|---|---|---|---|
| Number Sensor | Cycle I | Cycle II | Cycle III | Cycle IV | Cycle I | Cycle II | Cycle III | Cycle IV | |
| Sensor 0 | 3.89 | 2.99 | 2.81 | 2.76 | 3.16 | 2.55 | 2.32 | 2.32 | |
| Sensor 1 | 3.49 | 2.72 | 2.55 | 2.55 | 3.20 | 2.56 | 2.36 | 2.35 | |
| Sensor 2 | 3.86 | 2.95 | 2.72 | 2.71 | 3.33 | 2.46 | 2.29 | 2.32 | |
| Sensor 3 | 3.93 | 3.01 | 2.88 | 2.83 | 3.43 | 2.69 | 2.47 | 2.47 | |
| Mean | 3.79 | 2.92 | 2.74 | 2.71 | 3.28 | 2.57 | 2.36 | 2.37 | |
| Standard Deviation | 0.17 | 0.12 | 0.12 | 0.10 | 0.17 | 0.11 | 0.12 | 0.10 | |
| Cycle | I | II | III | IV | V | VI | VII | VIII | IX | X | XI | XII | |
|---|---|---|---|---|---|---|---|---|---|---|---|---|---|
| Sersor | |||||||||||||
| Embedded | |||||||||||||
| Sensor 1 | 3.79 | 2.93 | 2.68 | 2.68 | 2.48 | 2.48 | 2.47 | 2.40 | 2.40 | 2.45 | 2.41 | 2.32 | |
| Sensor 3 | 4.38 | 3.35 | 3.13 | 3.04 | 2.99 | 2.93 | 2.89 | 2.84 | 2.83 | 2.82 | 2.79 | 2.76 | |
| Mean | 4.08 | 3.15 | 2.90 | 2.86 | 2.74 | 2.71 | 2.68 | 2.62 | 2.61 | 2.64 | 2.60 | 2.54 | |
| Standard Deviation | 0.29 | 0.21 | 0.22 | 0.17 | 0.26 | 0.22 | 0.22 | 0.22 | 0.21 | 0.18 | 0.19 | 0.22 | |
| Exposed | |||||||||||||
| Sensor 0 | 3.16 | 2.59 | 2.45 | 2.37 | 2.32 | 2.33 | 2.31 | 2.25 | 2.28 | 2.27 | 2.25 | 2.24 | |
| Sensor 2 | 3.05 | 2.45 | 2.30 | 2.28 | 2.24 | 2.19 | 2.19 | 2.13 | 2.15 | 2.13 | 2.12 | 2.12 | |
| Mean | 3.11 | 2.52 | 2.38 | 2.32 | 2.28 | 2.26 | 2.25 | 2.19 | 2.21 | 2.20 | 2.19 | 2.18 | |
| Standard Deviation | 0.056 | 0.066 | 0.07 | 0.043 | 0.038 | 0.068 | 0.056 | 0.064 | 0.065 | 0.065 | 0.068 | 0.061 | |
Disclaimer/Publisher’s Note: The statements, opinions and data contained in all publications are solely those of the individual author(s) and contributor(s) and not of MDPI and/or the editor(s). MDPI and/or the editor(s) disclaim responsibility for any injury to people or property resulting from any ideas, methods, instructions or products referred to in the content. |
© 2025 by the authors. Licensee MDPI, Basel, Switzerland. This article is an open access article distributed under the terms and conditions of the Creative Commons Attribution (CC BY) license (https://creativecommons.org/licenses/by/4.0/).
Share and Cite
Staffa, A.; Krivic, G.; Tocci, M.; Palmieri, M.; Cianetti, F.; Slavič, J. Three-Dimensionally Printed Temperature Sensors Based on Conductive PLA Materials. Sensors 2025, 25, 6348. https://doi.org/10.3390/s25206348
Staffa A, Krivic G, Tocci M, Palmieri M, Cianetti F, Slavič J. Three-Dimensionally Printed Temperature Sensors Based on Conductive PLA Materials. Sensors. 2025; 25(20):6348. https://doi.org/10.3390/s25206348
Chicago/Turabian StyleStaffa, Agnese, Gašper Krivic, Mariachiara Tocci, Massimiliano Palmieri, Filippo Cianetti, and Janko Slavič. 2025. "Three-Dimensionally Printed Temperature Sensors Based on Conductive PLA Materials" Sensors 25, no. 20: 6348. https://doi.org/10.3390/s25206348
APA StyleStaffa, A., Krivic, G., Tocci, M., Palmieri, M., Cianetti, F., & Slavič, J. (2025). Three-Dimensionally Printed Temperature Sensors Based on Conductive PLA Materials. Sensors, 25(20), 6348. https://doi.org/10.3390/s25206348

