Demonstration of the Use of NSGA-II for Optimization of Sparse Acoustic Arrays
Abstract
1. Introduction
2. Methodology
2.1. Array Design
2.1.1. Design Criteria
- Main lobe should be very thin to maximum resolution (i.e., minimize BW).
- Sidelobe amplitudes should be small to avoid spatial aliasing (i.e., minimize MSL).
- Main lobe should be circular to ensure equal resolution in all directions.
- Sidelobes should be kept out of the slowness domain of interest to avoid spatial aliasing.
2.1.2. Array Encoding
2.1.3. Reference Array Configurations
2.2. Optimization Algorithm
2.2.1. Overview of NSGA-II
2.2.2. Implementation of NSGA-II
3. Results
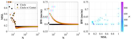
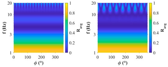
3.1. Baseline Array Performance
3.2. Optimization of 36-Element Array
3.3. Optimization of 9-Element Array
4. Discussion
5. Conclusions
Author Contributions
Funding
Data Availability Statement
Acknowledgments
Conflicts of Interest
References
- Lacoss, R.T.; Kelly, E.J.; Toksöz, M.N. Estimation of seismic noise structure using arrays. Geophysics 1969, 34, 21–38. [Google Scholar] [CrossRef]
- Mutschlecner, J.P.; Whitaker, R.W. Infrasound from earthquakes. J. Geophys. Res. 2005, 110, D01108. [Google Scholar] [CrossRef]
- Arrowsmith, S.J.; Johnson, J.B.; Drob, D.P.; Hedlin, M.A.H. The seismoacoustic wavefield: A new paradigm in studying geophysical phenomena. Rev. Geophys. 2010, 48, RG4003. [Google Scholar] [CrossRef]
- Shani-Kadmiel, S.; Averbuch, G.; Smets, P.; Assink, J.; Evers, L. The 2010 Haiti earthquake revisited: An acoustic intensity map from remote atmospheric infrasound observations. Earth Planet. Sci. Lett. 2021, 560, 116795. [Google Scholar] [CrossRef]
- Matoza, R.S.; Fee, D.; Assink, J.D.; Iezzi, A.M.; Green, D.N.; Kim, K.; Toney, L.; Lecocq, T.; Krishnamoorthy, S.; Lalande, J.-M.; et al. Atmospheric waves and global seismoacoustic observations of the January 2022 Hunga eruption, Tonga. Science 2022, 377, 95–100. [Google Scholar] [CrossRef]
- Assink, J.D.; Evers, L.G.; Holleman, I.; Paulssen, H. Characterization of infrasound from lightning. Geophys. Res. Lett. 2008, 35, L15802. [Google Scholar] [CrossRef]
- Frazier, W.G.; Talmadge, C.; Park, J.; Waxler, R.; Assink, J. Acoustic detection, tracking, and characterization of three tornadoes. J. Acoust. Soc. Am. 2014, 135, 1742–1751. [Google Scholar] [CrossRef]
- Elbing, B.R.; Petrin, C.E.; Van Den Broeke, M.S. Measurement and characterization of infrasound from a tornado producing storm. J. Acoust. Soc. Am. 2019, 146, 1528–1540. [Google Scholar] [CrossRef]
- Petrin, C.E.; Elbing, B.R. Infrasound emissions from tornadoes and severe storms compared to potential tornadic generation mechanisms. Proc. Meet. Acoust. 2019, 36, 045005. [Google Scholar] [CrossRef]
- Wilson, T.C.; Petrin, C.E.; Elbing, B.R. Infrasound and low-audible acoustic detections from a long-term microphone array deployment in Oklahoma. Remote Sens. 2023, 15, 1455. [Google Scholar] [CrossRef]
- Assink, J.D.; Averbuch, G.; Smets, P.S.M.; Evers, L.G. On the infrasound detected from the 2013 and 2016 DPRK’s underground nuclear tests. Geophys. Res. Lett. 2016, 43, 3526–3533. [Google Scholar] [CrossRef]
- Bowman, D.C.; Krishnamoorthy, S. Infrasound from a buried chemical explosion recorded on a balloon in the lower stratosphere. Geophys. Res. Lett. 2021, 48, e2021GL094861. [Google Scholar] [CrossRef]
- Averbuch, G.; Ronac-Giannone, M.; Arrowsmith, S.; Anderson, J.F. Evidence for short temporal atmospheric variations observed by infrasonic signals: 1. The troposphere. Earth Space Sci. 2022, 9, e2021EA002036. [Google Scholar] [CrossRef]
- Silber, E.A.; Bowman, D.C.; Giannone, M.R. Detection of the large surface explosion coupling experiment by a sparse network of balloon-borne infrasound sensors. Remote Sens. 2023, 15, 542. [Google Scholar] [CrossRef]
- Sedunov, A.; Salloum, H.; Sutin, A.; Sedunov, N.; Tsyuryupa, S. UAV passive acoustic detection. In Proceedings of the 2018 IEEE International Symposium on Technologies for Homeland Security, Woburn, MA, USA, 23–24 October 2018; pp. 1–6. [Google Scholar] [CrossRef]
- Evers, L.G.; Haak, H.W. Listening to sounds from an exploding meteor and oceanic waves. Geophys. Res. Lett. 2001, 28, 41–44. [Google Scholar] [CrossRef]
- Arrowsmith, S.J.; Drob, D.P.; Hedlin, M.A.H.; Edwards, W. A joint seismic and acoustic study of the Washington State bolide: Observations and modeling. J. Geophys. Res. 2007, 112, D09304. [Google Scholar] [CrossRef]
- Brown, P.G.; Assink, J.D.; Astiz, L.; Blaauw, R.; Boslough, M.B.; Borovička, J.; Brachet, N.; Brown, D.; Campbell-Brown, M.; Ceranna, L.; et al. A 500-kiloton airburst over Chelyabinsk and an enhanced hazard from small impactors. Nature 2013, 503, 238–241. [Google Scholar] [CrossRef]
- Silber, E.A.; Bowman, D.C.; Carr, C.G.; Eisenberg, D.P.; Elbing, B.R.; Fernando, B.; Garcés, M.A.; Haaser, R.; Krishnamoorthy, S.; Langston, C.A.; et al. Geophysical observations of the 24 September 2023 OSIRIS-REx sample return capsule re-entry. Planet. Sci. J. 2024, 5, 213. [Google Scholar] [CrossRef]
- Wilson, T.C.; Silber, E.A.; Colston, T.A.; Elbing, B.R.; Edwards, T.R. Bolide infrasound signal morphology and yield estimates: A case study of two events detected by a dense sensor network. Astron. J. 2025, 169, 223. [Google Scholar] [CrossRef]
- KC, R.J.; Wilson, T.C.; Fox, D.; Spillman, K.B.; Garcés, M.A.; Elbing, B.R. Acoustic observations of the OSIRIS-REx sample return capsule re-entry from Wendover Airport. Seismol. Res. Lett. 2025, 96, 2753–2766. [Google Scholar] [CrossRef]
- Brissaud, Q.; Krishnamoorthy, S.; Jackson, J.M.; Bowman, D.C.; Komjathy, A.; Cutts, J.A.; Zhan, Z.; Pauken, M.T.; Izraelevitz, J.S.; Walsh, G.J. The first detection of an earthquake from a balloon using its acoustic signature. Geophys. Res. Lett. 2021, 48, e2021GL093013. [Google Scholar] [CrossRef]
- White, B.C.; Elbing, B.R.; Faruque, I. Infrasound measurement system for real-time in-situ tornado measurements. Atmos. Meas. Tech. 2022, 15, 2923–2938. [Google Scholar] [CrossRef]
- Van Veen, B.D.; Buckley, K.M. Beamforming: A versatile approach to spatial filtering. IEEE ASSP Mag. 1988, 5, 4–24. [Google Scholar] [CrossRef]
- Arrowsmith, S.J.; Whitaker, R.; Taylor, S.R.; Burlacu, R.; Stump, B.; Hedlin, M.; Randall, G.; Hayward, C.; ReVelle, D. Regional monitoring of infrasound events using multiple arrays: Application to Utah and Washington State. Geophys. J. Int. 2008, 175, 291–300. [Google Scholar] [CrossRef]
- Dowling, D.R.; Sabra, K.G. Acoustic remote sensing. Annu. Rev. Fluid Mech. 2015, 47, 221–243. [Google Scholar] [CrossRef]
- Haubrich, R.A. Array design. Bull. Seismol. Soc. Am. 1968, 58, 977–991. [Google Scholar] [CrossRef]
- Evers, L.G. The Inaudible Symphony: On the Detection and Source Identification of Atmospheric Infrasound. Ph.D. Thesis, Delft University of Technology, Delft, The Netherlands, 2008. [Google Scholar]
- Van Trees, H.L. Synthesis of linear arrays and apertures. In Optimum Array Processing; Wiley & Sons: New York, NY, USA, 2002; pp. 90–230. [Google Scholar]
- Bazzi, A.; Slock, D.T.M.; Meilhac, L. Detection of the Number of Superimposed Signals using Modified MDL Criterion: A Random Matrix Approach. In Proceedings of the 2016 IEEE International Conference on Acoustics, Speech and Signal Processing (ICASSP), Shanghai, China, 20–25 March 2016; pp. 4593–4597. [Google Scholar] [CrossRef]
- Bazzi, A.; Slock, D.T.M.; Meilhac, L. A Newton-type Forward Backward Greedy Method for Multi-Snapshot Compressed Sensing. In Proceedings of the 2017 51st Asilomar Conference on Signals, Systems, and Computers, Pacific Grove, CA, USA, 29 October–1 November 2017; pp. 1178–1182. [Google Scholar] [CrossRef]
- Christie, D.R.; Campus, P. The IMS Infrasound Network: Design and establishment of infrasound stations. In Infrasound Monitoring for Atmospheric Studies, 1st ed.; Le Pichon, A., Blanc, E., Hauchecorne, A., Eds.; Springer: New York, NY, USA, 2010; pp. 29–76. [Google Scholar]
- Brachet, N.; Brown, D.; Le Bras, R.; Cansi, Y.; Mialle, P.; Coyne, J. Monitoring the Earth’s atmosphere with the Global IMS Infrasound Network. In Infrasound Monitoring for Atmospheric Studies, 1st ed.; Le Pichon, A., Blanc, E., Hauchecorne, A., Eds.; Springer: New York, NY, USA, 2010; pp. 77–118. [Google Scholar]
- Marty, J. The IMS Infrasound Network: Current status and technological developments. In Infrasound Monitoring for Atmospheric Studies, 2nd ed.; Le Pichon, A., Blanc, E., Hauchecorne, A., Eds.; Springer: New York, NY, USA, 2019; pp. 3–62. [Google Scholar]
- Snelson, C.M.; Barker, D.L.; White, R.L.; Emmitt, R.F.; Townsend, M.J.; Graves, T.E.; Becker, S.A.; Teel, M.G.; Lee, P. The Nevada National Security Site—Source Physics Experiment (SPE-N): An overview. In Proceedings of the 2011 Monitoring Research Review: Ground-Based Nuclear Explosion Monitoring Technologies, Tucson, Arizona, 13–15 September 2011; pp. 578–581. [Google Scholar]
- Wilson, T.C.; Danneman Dugick, F.K.; Bowman, D.C.; Petrin, C.E.; Elbing, B.R. Seismoacoustic signatures observed during a long-term deployment of infrasound sensors at the Nevada National Security site. Bull. Seismol. Soc. Am. 2023, 113, 1493–1512. [Google Scholar] [CrossRef]
- Bjelić, M.; Stanojević, M.; Pavlović, D.Š.; Mijić, M. Microphone array geometry optimization for traffic noise analysis. J. Acoust. Soc. Am. 2017, 141, 3101–3104. [Google Scholar] [CrossRef]
- Van Trees, H.L. Arrays and spatial filters. In Optimum Array Processing; Wiley & Sons: New York, NY, USA, 2002; pp. 17–89. [Google Scholar]
- Denholm-Price, J.C.W.; Rees, J.M. Detecting waves using an array of sensors. Mon. Weather Rev. 1997, 127, 57–69. [Google Scholar] [CrossRef]
- Capon, J. High-resolution frequency-wavenumber spectrum analysis. Proc. IEEE 1969, 57, 1408–1416. [Google Scholar] [CrossRef]
- Gossard, E.E.; Hooke, W.H. Waves in the Atmosphere; Elsevier: New York, NY, USA, 1975. [Google Scholar]
- Pritchard, R.L. Maximum directivity index of a linear point array. J. Acoust. Soc. Am. 1954, 26, 1034–1039. [Google Scholar] [CrossRef]
- Kogan, L. Optimizing a large array configuration to minimize the sidelobes. IEEE Trans. Antennas Propag. 2000, 48, 1075–1078. [Google Scholar] [CrossRef]
- Arcondoulis, E.J.G.; Doolan, C.J.; Zander, A.C.; Brooks, L.A. Design and calibration of a small aeroacoustic beamformer. In Proceedings of the 20th International Congress on Acoustics, Sydney, Australia, 23–27 August 2010. [Google Scholar]
- Underbrink, J.R. Circularly Symmetric, Zero Redundancy, Planar Array Having Broad Frequency Range Applications. U.S. Patent 6,205,224, 20 March 2001. [Google Scholar]
- Underbrink, J.R. Aeroacoustic phased array testing in low wind speed tunnels. In Aeroacoustic Measurements; Mueller, T.J., Ed.; Springer: Berlin/Heidelberg, Germany, 2002; Chapter 3. [Google Scholar] [CrossRef]
- Van Trees, H.L. Planar arrays and apertures. In Optimum Array Processing; Wiley & Sons: New York, NY, USA, 2002; pp. 231–331. [Google Scholar]
- Prime, Z.; Doolan, C. A comparison of popular beamforming arrays. In Proceedings of the ACOUSTICS, Victor Harbor, Australia, 17–20 November 2013. [Google Scholar]
- Pappula, L.; Ghosh, D. Sparse antenna array synthesis using multi-objective optimization. In Proceedings of the 2013 IEEE Applied Electromagnetics Conference, Bhubaneswar, India, 18–20 December 2013. [Google Scholar] [CrossRef]
- Li, J.; Sun, G.; Wang, A.; Zheng, X.; Chen, Z.; Liang, S.; Liu, Y. Multi-objective sparse synthesis optimization of concentric circular antenna array via hybrid evolutionary computation approach. Expert Syst. Appl. 2023, 231, 120771. [Google Scholar] [CrossRef]
- Deb, K.; Agrawal, S.; Pratap, A.; Meyarivan, T. A fast and elitist multiobjective genetic algorithm: NSGA-II. IEEE Trans. Evol. Comput. 2002, 6, 182–197. [Google Scholar] [CrossRef]
- Verma, S.; Pant, M.; Snasel, V. A comprehensive review on NSGA-II for multi-objective combinatorial optimization problems. IEEE Access 2021, 9, 57758–57791. [Google Scholar] [CrossRef]
- Brindle, A. Genetic Algorithms for Function Optimization. Ph.D. Thesis, University of Alberta, Edmonton, AB, Canada, 1980. [Google Scholar]
- Deb, K.; Agrawal, S. Simulated binary crossover for continuous search space. Complex Syst. 1995, 9, 115–148. [Google Scholar]
- Deb, K.; Agrawal, S. A niched-penalty approach for constraint handling in genetic algorithms. In Artificial Neural Nets and Genetic Algorithms; Springer: Vienna, Austria, 1999; pp. 235–243. [Google Scholar] [CrossRef]
- Zitzler, E.; Thiele, L. Multiobjective optimization using evolutionary algorithms—A comparative case study. In Parallel Problem Solving from Nature; Eiben, A.E., Bäck, T., Schoenauer, M., Schwefel, H.P., Eds.; Springer: Berlin/Heidelberg, Germany, 1998; Volume 1498, pp. 292–301. [Google Scholar] [CrossRef]
- Zitzler, E.; Thiele, L. Multiobjective evolutionary algorithms: A comparative case study and the strength Pareto approach. IEEE Trans. Evol. Comput. 1999, 3, 257–271. [Google Scholar] [CrossRef]
- Riquelme, N.; Von Lücken, C.; Barán, B. Performance metrics in multi-objective optimization. In Proceedings of the IEEE 2015 Latin American Computing Conference, Arequipa, Peru, 23–29 October 2015. [Google Scholar] [CrossRef]
- Audet, C.; Bigeon, J.; Cartier, D.; Le Digabel, S.; Salomon, L. Performance indicators in multiobjective optimization. Eur. J. Oper. Res. 2021, 292, 397–422. [Google Scholar] [CrossRef]
- Cao, Y. Hypervolume Indicator. MATLAB Central File Exchange. Version 1.0.0.0; Retrieved 20 October 2023. MathWorks, Inc.: Natick, MA, USA, 2008. [Google Scholar]














| N | S | Center | Elements/Segment |
|---|---|---|---|
| 9 | 3 | No | 3 |
| 9 | 4 | Yes | 2 |
| 36 | 6 | No | 6 |
| 36 | 7 | Yes | 5 |
| 36 | 5 | Yes | 7 |
| Marker | Configuration | 9-Element | 36-Element | Inputs |
|---|---|---|---|---|
| ■ | Uniform Grid | ![]() | ![]() | none |
| ● | Uniformly spaced circle | ![]() | ![]() | none |
![]() | Uniformly spaced circle with center | ![]() | ![]() | none |
| ♦ | Uniformly spaced concentric circle | ![]() | ![]() | Inner circle diameter is half the outer diameter (aperture) |
| ◀ | Arcondoulis spiral | ![]() | ![]() | = 0.1, = 1, /2 |
| ▲ | Log-based multispiral | ![]() | ![]() | = 0.1 /16 3 or 6 arms |
| ▼ | Underbrink multispiral | ![]() | ![]() | = 0.1 /16 3 or 6 arms |
| ★ | VDCP (inner) | ![]() | ![]() | 9-element: 5 inner, 3 outer 36-element: 22 inner, 13 outer |
![]() | VDCP (outer) | ![]() | ![]() | 9-element: 3 inner, 5 outer 36-element: 13 inner, 22 outer |
| Signal | Species | -Factor | |||
|---|---|---|---|---|---|
| Center | Synthesized | Baseline | |||
| 8 Hz | 36 | no | 6 | 73.6 ± 0.1% | 69.6 ± 0.1% |
| yes | 7 | 72.6 ± 0.1% | |||
| yes | 5 | 73.0 ± 0.1% | |||
| 9 | no | 3 | 73.5 ± 0.1% | 73.7 ± 0.1% | |
| yes | 4 | 71.0 ± 0.1% | |||
| Multi | 36 | no | 6 | 69.4 ± 0.1% | 65.5 ± 0.1% |
| yes | 7 | 68.6 ± 0.2% | |||
| yes | 5 | 68.6 ± 0.1% | |||
| 9 | no | 3 | 66.0 ± 0.2% | 43.3 ± 0.2% | |
| yes | 4 | 60.7 ± 0.2% | |||
Disclaimer/Publisher’s Note: The statements, opinions and data contained in all publications are solely those of the individual author(s) and contributor(s) and not of MDPI and/or the editor(s). MDPI and/or the editor(s) disclaim responsibility for any injury to people or property resulting from any ideas, methods, instructions or products referred to in the content. |
© 2025 by the authors. Licensee MDPI, Basel, Switzerland. This article is an open access article distributed under the terms and conditions of the Creative Commons Attribution (CC BY) license (https://creativecommons.org/licenses/by/4.0/).
Share and Cite
Petrin, C.E.; Wilson, T.C.; Alexander, A.S.; Elbing, B.R. Demonstration of the Use of NSGA-II for Optimization of Sparse Acoustic Arrays. Sensors 2025, 25, 5882. https://doi.org/10.3390/s25185882
Petrin CE, Wilson TC, Alexander AS, Elbing BR. Demonstration of the Use of NSGA-II for Optimization of Sparse Acoustic Arrays. Sensors. 2025; 25(18):5882. https://doi.org/10.3390/s25185882
Chicago/Turabian StylePetrin, Christopher E., Trevor C. Wilson, Aaron S. Alexander, and Brian R. Elbing. 2025. "Demonstration of the Use of NSGA-II for Optimization of Sparse Acoustic Arrays" Sensors 25, no. 18: 5882. https://doi.org/10.3390/s25185882
APA StylePetrin, C. E., Wilson, T. C., Alexander, A. S., & Elbing, B. R. (2025). Demonstration of the Use of NSGA-II for Optimization of Sparse Acoustic Arrays. Sensors, 25(18), 5882. https://doi.org/10.3390/s25185882





















