Geometric Parameter Identification of Large Bent Pipes Using a Single-View Vision System
Abstract
1. Introduction
1.1. List of Main Contributions
1.2. Related Works
2. Materials and Methods
2.1. Processing and Segmentation of Images
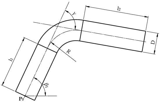
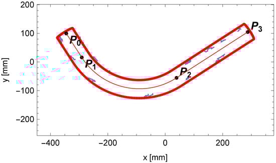
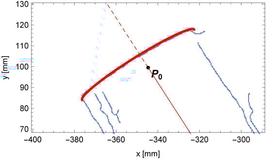
2.2. Determining Pipe Parameters
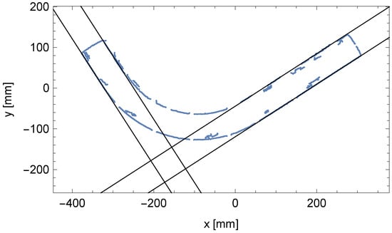
2.2.1. Modification of the Hough Transform
2.2.2. Determination of the Diameter and Bending Angle of the Pipe
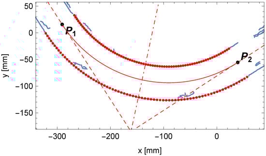
2.2.3. Identification of the Bending Radius of the Pipe
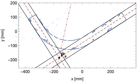
2.2.4. Identification of the Lengths of Pipe Segments
3. Results and Discussion
Author Contributions
Funding
Institutional Review Board Statement
Informed Consent Statement
Data Availability Statement
Acknowledgments
Conflicts of Interest
References
- Borkowski, K.; Janecki, D.; Zwierzchowski, J. Model of Perspective Distortions for a Vision Measuring System of Large-Diameter Bent Pipes. In Proceedings of the International Conference on Computational Science (ICCS 2023), Prague, Czech Republic, 3–5 July 2023; Springer: Berlin/Heidelberg, Germany, 2023; pp. 595–609. [Google Scholar] [CrossRef]
- Giancola, S.; Valenti, M.; Sala, R. A Survey on 3D Cameras: Metrological Comparison of Time-of-Flight, Structured-Light and Active Stereoscopy Technologies; Springer: Berlin/Heidelberg, Germany, 2018. [Google Scholar]
- Schwenke, H.; Neuschaefer-Rube, U.; Pfeifer, T.; Kunzmann, H. Optical methods for dimensional metrology in production engineering. CIrP Ann. 2002, 51, 685–699. [Google Scholar] [CrossRef]
- Ratajczyk, E.; Woźniak, A. Współrzędnościowe Systemy Pomiarowe; Oficyna Wydawnicza Politechniki Warszawskiej: Warszawa, Poland, 2016. [Google Scholar]
- Ratajczyk, E. Wyniki badań dokładności współrzędnościowych ramion pomiarowych. Pomiary Automatyka Robotyka 2017, 21, 57–62. [Google Scholar] [CrossRef]
- Li, W.; Hou, D.; Luo, Z.; Mao, X. 3D measurement system based on divergent multi-line structured light projection, its accuracy analysis. Optik 2021, 231, 166396. [Google Scholar] [CrossRef]
- Salvi, J.; Pages, J.; Batlle, J. Pattern codification strategies in structured light systems. Pattern Recognit. 2004, 37, 827–849. [Google Scholar] [CrossRef]
- Deng, H.X.; Wang, J.; Zhang, J.; Liang, C.J.; Ma, M.C.; Zhong, X.; Yu, L.D. A stereovision measurement for large deformation of light structures. Measurement 2019, 136, 387–394. [Google Scholar] [CrossRef]
- Yin, Z.; Xiong, J. Stereovision measurement of layer geometry in wire and arc additive manufacturing with various stereo matching algorithms. J. Manuf. Processes 2020, 56, 428–438. [Google Scholar] [CrossRef]
- Martini, M.G.; Beghi, M.G.; Genta, G. Measurement of Ovality in Pipes Using Structured Light. In Proceedings of the IMEKO TC14 Symposium on New Trends for Measurement and Instrumentation, Merida, Mexico, 21–24 November 2007; pp. 51–56. [Google Scholar]
- Wang, Y.; Zhang, X.; Su, Y.; Lei, Y. Polarization structured light 3D depth image sensor for scenes with reflective surfaces. Nat. Commun. 2023, 14, 7262. [Google Scholar] [CrossRef]
- Jin, P.; Liu, J.; Liu, S.; Wang, X. A new multi-vision-based reconstruction algorithm for tube inspection. Int. J. Adv. Manuf. Technol. 2017, 93, 2021–2035. [Google Scholar] [CrossRef]
- Liu, S.; Jin, P.; Liu, J.; Wang, X.; Sun, P. Accurate measurement method for tube’s endpoints based on machine vision. Chin. J. Mech. Eng. 2017, 30, 152–163. [Google Scholar] [CrossRef]
- Wang, X.; Liu, J.; Liu, S.; Jin, P.; Wu, T.; Wang, Z. Accurate radius measurement of multi-bend tubes based on stereo vision. Measurement 2018, 117, 326–338. [Google Scholar] [CrossRef]
- Sun, J.; Zhang, Y.; Cheng, X. A high precision 3D reconstruction method for bend tube axis based on binocular stereo vision. Opt. Express 2019, 27, 2292–2304. [Google Scholar] [CrossRef] [PubMed]
- Huang, H.; Liu, J.; Liu, S.; Jin, P.; Wu, T.; Zhang, T. Error analysis of a stereo-vision-based tube measurement system. Measurement 2020, 157, 107659. [Google Scholar] [CrossRef]
- Cheng, X.; Sun, J.; Zhou, F.; Xie, Y. Shape from apparent contours for bent pipes with constant diameter under perspective projection. Measurement 2021, 182, 109787. [Google Scholar] [CrossRef]
- Pai, W.; Liang, J.; Zhang, M.; Tang, Z.; Li, L. An advanced multi-camera system for automatic, high-precision and efficient tube profile measurement. Opt. Lasers Eng. 2022, 154, 106890. [Google Scholar] [CrossRef]
- Son, H.; Kim, C. Automatic segmentation and 3D modeling of pipelines into constituent parts from laser-scan data of the built environment. Autom. Constr. 2016, 68, 203–211. [Google Scholar] [CrossRef]
- Ha, T.; Ma, J.; Blindheim, J.; Welo, T.; Ringen, G.; Wang, J. In-line springback measurement for tube bending using a laser system. Procedia Manuf. 2020, 47, 766–773. [Google Scholar] [CrossRef]
- Criminisi, A.; Reid, I.D.; Zisserman, A. Single View Metrology. Int. J. Comput. Vis. 2000, 40, 123–148. [Google Scholar] [CrossRef]
- Fitzgibbon, A.W.; Pilu, M.; Fisher, R.B. Direct Least Squares Fitting of Ellipses. IEEE Trans. Pattern Anal. Mach. Intell. 1999, 21, 476–480. [Google Scholar] [CrossRef]
- Zins, M.; Simon, G.; Berger, M.O. Object-Based Visual Camera Pose Estimation From Ellipsoidal Model and 3D-Aware Ellipse Prediction. Int. J. Comput. Vis. 2022, 130, 3021–3045. [Google Scholar] [CrossRef]
- Yussuf, A.N.; Tran, M.D.; La, H.M.; James, D.E. Leveraging Deep Learning Techniques for Condition Assessment of Stormwater Pipe Network. J. Civ. Struct. Health Monit. 2024, 14, 565–584. [Google Scholar] [CrossRef]
- Tyystj"arvi, T.; Virkkunen, I.; Fridolf, P.; Rosell, A.; Barsoum, Z. Automated Defect Detection in Digital Radiography of Aerospace Welds Using Deep Learning. Weld. World 2022, 66, 789–799. [Google Scholar] [CrossRef]
- Cheng, H.D.; Shi, X. A simple and effective histogram equalization approach to image enhancement. Digit. Signal Process. 2004, 14, 158–170. [Google Scholar] [CrossRef]
- Benavent, X.; Dura, E.; Vegara, F.; Domingo, J. Mathematical morphology for color images: An image-dependent approach. Math. Probl. Eng. 2012. [Google Scholar] [CrossRef]
- Canny, J. A computational approach to edge detection. IEEE Trans. Pattern Anal. Mach. Intell. 1986, PAMI-8, 679–698. [Google Scholar] [CrossRef]
- Czechowicz, A.; Mikrut, S. Analiza przydatności algorytmów detekcji krawędzi w zastosowaniach fotogrametrii bliskiego zasięgu. Arch. Fotogram. Kartogr. Teledetekcji 2006, 16, 135–146. [Google Scholar]
- Hart, P.E.; Duda, R. Use of the Hough transformation to detect lines and curves in pictures. Commun. ACM 1972, 15, 11–15. [Google Scholar] [CrossRef]























| CMM Value | Average Value | Standard Deviation | Relative std. dev. | ||
|---|---|---|---|---|---|
| Pipe diameter | |||||
| Bending angle | |||||
| Bending radius | |||||
| Length of section 1 | |||||
| Length of section 2 | |||||
| Length of the pipe |
Disclaimer/Publisher’s Note: The statements, opinions and data contained in all publications are solely those of the individual author(s) and contributor(s) and not of MDPI and/or the editor(s). MDPI and/or the editor(s) disclaim responsibility for any injury to people or property resulting from any ideas, methods, instructions or products referred to in the content. |
© 2025 by the authors. Licensee MDPI, Basel, Switzerland. This article is an open access article distributed under the terms and conditions of the Creative Commons Attribution (CC BY) license (https://creativecommons.org/licenses/by/4.0/).
Share and Cite
Borkowski, K.; Janecki, D.; Zwierzchowski, J.; Pietrala, D.S. Geometric Parameter Identification of Large Bent Pipes Using a Single-View Vision System. Sensors 2025, 25, 5420. https://doi.org/10.3390/s25175420
Borkowski K, Janecki D, Zwierzchowski J, Pietrala DS. Geometric Parameter Identification of Large Bent Pipes Using a Single-View Vision System. Sensors. 2025; 25(17):5420. https://doi.org/10.3390/s25175420
Chicago/Turabian StyleBorkowski, Krzysztof, Dariusz Janecki, Jarosław Zwierzchowski, and Dawid Sebastian Pietrala. 2025. "Geometric Parameter Identification of Large Bent Pipes Using a Single-View Vision System" Sensors 25, no. 17: 5420. https://doi.org/10.3390/s25175420
APA StyleBorkowski, K., Janecki, D., Zwierzchowski, J., & Pietrala, D. S. (2025). Geometric Parameter Identification of Large Bent Pipes Using a Single-View Vision System. Sensors, 25(17), 5420. https://doi.org/10.3390/s25175420

