Enhanced Lung Cancer Classification Accuracy via Hybrid Sensor Integration and Optimized Fuzzy Logic-Based Electronic Nose
Abstract
Highlights
- A hybrid electronic nose system integrating 8 MOS and 14 QCM sensors effectively distinguished between lung cancer patients and healthy individuals through breath analysis.
- The fuzzy logic classifier optimized by a nature-inspired algorithm outperformed traditional methods, achieving 97.93% accuracy.
- Demonstrates the strong potential of noninvasive electronic nose technology in early lung cancer diagnosis.
- Offers a reliable alternative to conventional diagnostic tools by combining intelligent algorithms with multidimensional sensor data.
Abstract
1. Introduction
2. Materials and Methods
2.1. Experimental Setup
2.2. Collection of Breath Samples
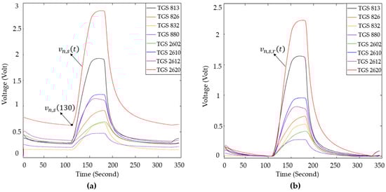
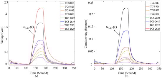
2.3. Analysis of Data and Extraction of Features


- The area between TGS826 and TGS832 sensor data in the interval of 130–170 s
- The area between TGS813 and TGS2620 sensor data in the interval of 130–170 s
- The area between TGS880 and TGS2610 sensor data in the interval of 130–170 s
- The slope of all sensor data in the interval of 130–145 s
- The slope of all sensor data in the interval of 145–170 s
- The slope of sensor data in the interval of 170–200 s
- The slope of all sensor data in the interval of 200–215 s
- The slope of sensor data in the interval of 200–230 s
- The area under all sensor data in the interval of 145–215 s

- The area between the QCM6 and QCM14 sensor data
- The area between the QCM2 and QCM11 sensor data
- The area between the QCM9 and QCM11 sensor data
- The area between the QCM14 and QCM7 sensor data
- The slope of the QCM11 sensor data between 100 and 140 s
- The slope of the QCM6 sensor data between 100 and 140 s
- The maximum value of the QCM5 sensor was used.
3. Data Classification and Results
3.1. Classification with Traditional Methods
3.2. Classification with Fuzzy Logic Method
4. Discussion
5. Conclusions
Author Contributions
Funding
Institutional Review Board Statement
Informed Consent Statement
Data Availability Statement
Acknowledgments
Conflicts of Interest
Abbreviations
| LC | Lung cancer |
| WHO | World Health Organization |
| VOC | Volatile organic molecules |
| GC-MS | Gas chromatography–mass spectrometry |
| e-nose | Electronic noses |
| QCM | Quartz crystal microbalance |
| MOS | Metal oxide semiconductor |
| TUBITAK | The Scientific and Technological Research Council of Turkey |
| FL | Fuzzy logic |
| AJCC | American Joint Committee on Cancer |
| LDA | Linear discriminant analysis |
| HnS | Healthy non-smokers |
| HS | Healthy smoker |
| DT | Decision tree |
| RF | Random forest |
| PCA | Principal component analysis |
| k-NN | k-nearest neighbor |
| SVM | Support vector machine |
| GA | Genetic algorithm |
| PSO | Particle swarm optimization |
| SA | Simulated annealing |
| IWO | Invasive weed optimization |
| AEO | Artificial ecosystem-based optimization |
References
- Thandra, K.C.; Barsouk, A.; Saginala, K.; Aluru, J.S.; Barsouk, A. Epidemiology of lung cancer. Contemp. Oncol. 2021, 25, 45–52. [Google Scholar]
- Ferlay, J.; Colombet, M.; Soerjomataram, I.; Parkin, D.M.; Piñeros, M.; Znaor, A.; Bray, F. Cancer statistics for the year 2020: An overview. Int. J. Cancer 2021, 149, 778–789. [Google Scholar] [CrossRef] [PubMed]
- Bray, F.; Laversanne, M.; Sung, H.; Ferlay, J.; Siegel, R.L.; Soerjomataram, I.; Jemal, A. Global cancer statistics 2022: GLOBOCAN estimates of incidence and mortality worldwide for 36 cancers in 185 countries. CA Cancer J. Clin. 2024, 74, 229–263. [Google Scholar] [CrossRef]
- Leiter, A.; Veluswamy, R.R.; Wisnivesky, J.P. The global burden of lung cancer: Current status and future trends. Nat. Rev. Clin. Oncol. 2023, 20, 624–639. [Google Scholar] [CrossRef] [PubMed]
- Spigel, D.R.; Faivre-Finn, C.; Gray, J.E.; Vicente, D.; Planchard, D.; Paz-Ares, L.; Antonia, S.J. Five-year survival outcomes from the PACIFIC trial: Durvalumab after chemoradiotherapy in stage III non–small-cell lung cancer. J. Clin. Oncol. 2022, 40, 1301–1311. [Google Scholar] [CrossRef]
- VanderLaan, P.A.; Roy-Chowdhuri, S.; Griffith, C.C.; Weiss, V.L.; Booth, C.N. Molecular testing of cytology specimens: Overview of assay selection with focus on lung, salivary gland, and thyroid testing. J. Am. Soc. Cytopathol. 2022, 11, 403–414. [Google Scholar] [CrossRef] [PubMed]
- Morais, C.L.; Lima, K.M.; Dickinson, A.W.; Saba, T.; Bongers, T.; Singh, M.N.; Bury, D. Non-invasive diagnostic test for lung cancer using biospectroscopy and variable selection techniques in saliva samples. Analyst 2024, 149, 4851–4861. [Google Scholar] [CrossRef]
- Bano, A.; Yadav, P.; Sharma, M.; Verma, D.; Vats, R.; Chaudhry, D.; Bhardwaj, R. Extraction and characterization of exosomes from the exhaled breath condensate and sputum of lung cancer patients and vulnerable tobacco consumers—Potential noninvasive diagnostic biomarker source. J. Breath Res. 2024, 18, 046003. [Google Scholar] [CrossRef]
- Johnson, P.; Zhou, Q.; Dao, D.Y.; Lo, Y.D. Circulating biomarkers in the diagnosis and management of hepatocellular carcinoma. Nat. Rev. Gastroenterol. Hepatol. 2022, 19, 670–681. [Google Scholar] [CrossRef]
- Ma, L.; Muscat, J.E.; Sinha, R.; Sun, D.; Xiu, G. Proteomics of exhaled breath condensate in lung cancer and controls using data-independent acquisition (DIA): A pilot study. J. Breath Res. 2021, 15, 026002. [Google Scholar] [CrossRef]
- Nooreldeen, R.; Bach, H. Current and future development in lung cancer diagnosis. Int. J. Mol. Sci. 2021, 22, 8661. [Google Scholar] [CrossRef]
- Thakur, S.K.; Singh, D.P.; Choudhary, J. Lung cancer identification: A review on detection and classification. Cancer Metastasis Rev. 2020, 39, 989–998. [Google Scholar] [CrossRef]
- Quasar, S.R.; Sharma, R.; Mittal, A.; Sharma, M.; Agarwal, D.; de La Torre Díez, I. Ensemble methods for computed tomography scan images to improve lung cancer detection and classification. Multimed. Tools Appl. 2024, 83, 52867–52897. [Google Scholar] [CrossRef]
- Zhang, C.Y. Effectiveness of early cancer detection method: Magnetic resonance imaging and X-ray technique. In Proceedings of the International Conference on Modern Medicine and Global Health, Oxford, UK, 15 April 2023. [Google Scholar]
- Shimazaki, A.; Ueda, D.; Choppin, A.; Yamamoto, A.; Honjo, T.; Shimahara, Y.; Miki, Y. Deep learning-based algorithm for lung cancer detection on chest radiographs using the segmentation method. Sci. Rep. 2022, 12, 727. [Google Scholar] [CrossRef]
- Lancaster, H.L.; Heuvelmans, M.A.; Oudkerk, M. Low-dose computed tomography lung cancer screening: Clinical evidence and implementation research. J. Intern. Med. 2022, 292, 68–80. [Google Scholar] [CrossRef]
- Chen, T.; Liu, T.; Li, T.; Zhao, H.; Chen, Q. Exhaled breath analysis in disease detection. Clin. Chim. Acta 2021, 515, 61–72. [Google Scholar] [CrossRef]
- Issitt, T.; Wiggins, L.; Veysey, M.; Sweeney, S.T.; Brackenbury, W.J.; Redeker, K. Volatile compounds in human breath: Critical review and meta-analysis. J. Breath Res. 2022, 16, 024001. [Google Scholar] [CrossRef]
- Behera, B.; Joshi, R.; Vishnu, G.A.; Bhalerao, S.; Pandya, H.J. Electronic nose: A non-invasive technology for breath analysis of diabetes and lung cancer patients. J. Breath Res. 2019, 13, 024001. [Google Scholar] [CrossRef]
- Zaim, O.; Bouchikhi, B.; Motia, S.; Abelló, S.; Llobet, E.; El Bari, N. Discrimination of diabetes mellitus patients and healthy individuals based on volatile organic compounds (VOCs): Analysis of exhaled breath and urine samples by using e-nose and VE-tongue. Chemosensors 2023, 11, 350. [Google Scholar] [CrossRef]
- Chan, M.J.; Li, Y.J.; Wu, C.C.; Lee, Y.C.; Zan, H.W.; Meng, H.F.; Tian, Y.C. Breath ammonia is a useful biomarker predicting kidney function in chronic kidney disease patients. Biomedicines 2020, 8, 468. [Google Scholar] [CrossRef] [PubMed]
- Song, G.; Jiang, D.; Wu, J.; Sun, X.; Deng, M.; Wang, L.; Chen, M. An ultrasensitive fluorescent breath ammonia sensor for noninvasive diagnosis of chronic kidney disease and Helicobacter pylori infection. Chem. Eng. J. 2022, 440, 135979. [Google Scholar] [CrossRef]
- Peng, G.; Hakim, M.; Broza, Y.Y.; Billan, S.; Abdah-Bortnyak, R.; Kuten, A.; Haick, H. Detection of lung, breast, colorectal, and prostate cancers from exhaled breath using a single array of nanosensors. Br. J. Cancer 2010, 103, 542–551. [Google Scholar] [CrossRef]
- Poli, D.; Goldoni, M.; Corradi, M.; Acampa, O.; Carbognani, P.; Internullo, E.; Mutti, A. Determination of aldehydes in exhaled breath of patients with lung cancer by means of on-fiber-derivatisation SPME–GC/MS. J. Chromatogr. B 2010, 878, 2643–2651. [Google Scholar] [CrossRef]
- Jia, Z.; Patra, A.; Kutty, V.K.; Venkatesan, T. Critical review of volatile organic compound analysis in breath and in vitro cell culture for detection of lung cancer. Metabolites 2019, 9, 52. [Google Scholar] [CrossRef] [PubMed]
- Zhu, J.; Chen, L.; Ni, W.; Cheng, W.; Yang, Z.; Xu, S.; Xuan, F. NiO/ZnO nanocomposites for multimodal intelligent MEMS gas sensors. ACS Sensors 2025, 10, 2531–2541. [Google Scholar] [CrossRef] [PubMed]
- Shooshtari, M.; Salehi, A. An electronic nose based on carbon nanotube-titanium dioxide hybrid nanostructures for detection and discrimination of volatile organic compounds. Sens. Actuators B Chem. 2022, 357, 131418. [Google Scholar] [CrossRef]
- Tan, J.; Xu, J. Applications of electronic nose (e-nose) and electronic tongue (e-tongue) in food quality-related properties determination: A review. Artif. Intell. Agric. 2020, 4, 104–115. [Google Scholar] [CrossRef]
- Binson, V.A.; Subramoniam, M.; Mathew, L. Discrimination of COPD and lung cancer from controls through breath analysis using a self-developed e-nose. J. Breath Res. 2021, 15, 046003. [Google Scholar] [CrossRef]
- Marzorati, D.; Mainardi, L.; Sedda, G.; Gasparri, R.; Spaggiari, L.; Cerveri, P. A metal oxide gas sensors array for lung cancer diagnosis through exhaled breath analysis. In Proceedings of the 2019 41st Annual International Conference of the IEEE Engineering in Medicine and Biology Society, Berlin, Germany, 23–27 July 2019; Volume 2019, pp. 1584–1587. [Google Scholar]
- Kort, S.; Brusse-Keizer, M.; Schouwink, H.; Citgez, E.; de Jongh, F.H.; van Putten, J.W.; van der Palen, J. Diagnosing non-small cell lung cancer by exhaled breath profiling using an electronic nose: A multicenter validation study. Chest 2023, 163, 697–706. [Google Scholar] [CrossRef]
- Di Natale, C.; Macagnano, A.; Martinelli, E.; Paolesse, R.; D’Arcangelo, G.; Roscioni, C.; D’Amico, A. Lung cancer identification by the analysis of breath by means of an array of non-selective gas sensors. Biosens. Bioelectron. 2003, 18, 1209–1218. [Google Scholar] [CrossRef]
- Gasparri, R.; Santonico, M.; Valentini, C.; Sedda, G.; Borri, A.; Petrella, F.; Spaggiari, L. Volatile signature for the early diagnosis of lung cancer. J. Breath Res. 2016, 10, 016007. [Google Scholar] [CrossRef]
- D’Amico, A.; Di Natale, C.; Paolesse, R.; Macagnano, A.; Martinelli, E.; Roscioni, C.; Bono, R.; Spinelle, R.; Manes, M. Olfactory systems for medical applications. Sens. Actuators B Chem. 2008, 130, 458–465. [Google Scholar] [CrossRef]
- Gasparri, R.; Sedda, G.; Spaggiari, L. The electronic nose’s emerging role in respiratory medicine. Sensors 2018, 18, 3029. [Google Scholar] [CrossRef] [PubMed]
- Wilson, A.D.; Baietto, M. Advances in Electronic-Nose Technologies Developed for Biomedical Applications. Sensors 2011, 11, 1105–1176. [Google Scholar] [CrossRef] [PubMed]
- Lu, B.; Fu, L.; Nie, B.; Peng, Z.; Liu, H. A Novel Framework with High Diagnostic Sensitivity for Lung Cancer Detection by Electronic Nose. Sensors 2019, 19, 5333. [Google Scholar] [CrossRef]
- Tyagi, H.; Daulton, E.; Bannaga, A.S.; Arasaradnam, R.P.; Covington, J.A. Non-Invasive Detection and Staging of Colorectal Cancer Using a Portable Electronic Nose. Sensors 2021, 21, 5440. [Google Scholar] [CrossRef]
- Vadala, R.; Pattnaik, B.; Bangaru, S.; Rai, D.; Tak, J.; Kashyap, S.; Verma, U.; Yadav, G.; Dhaliwal, R.S.; Mittal, S.; et al. A review on electronic nose for diagnosis and monitoring treatment response in lung cancer. J. Breath Res. 2023, 17, 024002. [Google Scholar] [CrossRef]
- Baldini, C.; Billeci, L.; Sansone, F.; Conte, R.; Domenici, C.; Tonacci, A. Electronic nose as a novel method for diagnosing cancer: A systematic review. Biosensors 2020, 10, 84. [Google Scholar] [CrossRef]
- Scheepers, M.H.; Al-Difaie, Z.; Brandts, L.; Peeters, A.; van Grinsven, B.; Bouvy, N.D. Diagnostic performance of electronic noses in cancer diagnoses using exhaled breath: A systematic review and meta-analysis. JAMA Netw. Open 2022, 5, e2219372. [Google Scholar] [CrossRef]
- Harbeck, M.; Şen, Z.; Gümüş, G.; Gürol, I.; Musluoğlu, E.; Öztürk, Z.Z.; Ahsen, V. Customized vic-dioximes and their metal complexes for enhanced chemical sensing of polar organic molecules. Sens. Actuators B Chem. 2013, 188, 1004–1011. [Google Scholar] [CrossRef]
- Öztürk, S.; Kösemen, A.; Şen, Z.; Kılınç, N.; Harbeck, M. Poly (3-methylthiophene) thin films deposited electrochemically on QCMs for the sensing of volatile organic compounds. Sensors 2016, 16, 423. [Google Scholar] [CrossRef]
- Şen, Z.; Tarakci, D.K.; Gürol, I.; Ahsen, V.; Harbeck, M. Governing the sorption and sensing properties of titanium phthalocyanines by means of axial ligands. Sens. Actuators B Chem. 2016, 229, 581–586. [Google Scholar] [CrossRef]
- Öztürk, S.; Kösemen, A.; Şen, Z.; Tuna, S.; Bayazit, S.S.; Kılınç, N. Highly sensitive and selective detection of dimethyl methyl phosphonate with copolymer-based QCM sensors. Macromol. Mater. Eng. 2024, 309, 2300346. [Google Scholar] [CrossRef]
- Pan, Y.; Li, Q.; Liang, H.; Lam, H.K. A novel mixed control approach for fuzzy systems via membership functions online learning policy. IEEE Trans. Fuzzy Syst. 2021, 30, 3812–3822. [Google Scholar] [CrossRef]
- Antczak, T. Optimality conditions for invex nonsmooth optimization problems with fuzzy objective functions. Fuzzy Optim. Decis. Mak. 2023, 22, 1–21. [Google Scholar] [CrossRef]
- Dong, J.; Wan, S.; Chen, S.M. Fuzzy best-worst method based on triangular fuzzy numbers for multi-criteria decision-making. Inf. Sci. 2021, 547, 1080–1104. [Google Scholar] [CrossRef]
- Zhang, C.; Wang, W.; Pan, Y. Enhancing Electronic Nose Performance by Feature Selection Using an Improved Grey Wolf Optimization Based Algorithm. Sensors 2020, 20, 4065. [Google Scholar] [CrossRef]
- Zhai, Z.; Liu, Y.; Li, C.; Wang, D.; Wu, H. Electronic Noses: From Gas-Sensitive Components and Practical Applications to Data Processing. Sensors 2024, 24, 4806. [Google Scholar] [CrossRef]
- Kumar, A.; Nadeem, M.; Banka, H. Nature inspired optimization algorithms: A comprehensive overview. Evol. Syst. 2023, 14, 141–156. [Google Scholar] [CrossRef]
- Wen, K.; Zhao, T. Interpretable and robust online self-organizing granule-based fuzzy rule classification for data stream. Int. J. Fuzzy Syst. 2025. [Google Scholar] [CrossRef]
- Zhang, X.; Xu, X.; Sun, S.; Zhong, Q.; He, H.; Brunauer, G.; Steyskal, F. An improved adaptive particle swarm optimization based on belief rule base. Int. J. Fuzzy Syst. 2025. [Google Scholar] [CrossRef]





























| TGS8xx | TGS2xxx | |
|---|---|---|
| 24 V | 5 V | |
| 5 V | 5 V |
| TGS 813 | TGS 816 | TGS 826 | TGS 832 | TGS 2602 | TGS 2610 | TGS 2612 | TGS 2620 |
|---|---|---|---|---|---|---|---|
| 6 kΩ | 1 kΩ | 2 kΩ | 3 kΩ | 1 kΩ | 4.7 kΩ | 2 kΩ | 2 kΩ |
| Sensor Name | Target Gases | Cross-Sensitivity | Sensitivity Range | Sensor Resistance |
|---|---|---|---|---|
| TGS 813 | Methanol, Propane, Ethanol, Hydrogen, Isobutane, | Carbon Monoxide | 500–10,000 ppm | 5–15 kΩ |
| TGS 816 | Methane, Ethane, Hydrogen, Isobutane, Propane | Carbon Monoxide, Hydrogen peroxide | 500–10,000 ppm | 5–15 kΩ |
| TGS 826 | Hydrogen, Isobutane Ethanol, Ammonia, | - | 30–300 ppm | 20–100 kΩ |
| TGS 832 | R-12, Ethanol, R-22 | Forane R134a | 100–3000 ppm | 4–40 kΩ |
| TGS 2602 | Ammonia, Ethanol, Hydrogen Sulfide, Toluene | Hydrogen | 1–30 ppm | 10–100 kΩ |
| TGS 2610 | Hydrogen, Iso-Propane Methane, Iso-Butane | Ethanol | 300–10,000 ppm | 0.68–6.8 kΩ |
| TGS 2612 | Methane, Iso-Butane | Ethanol | 500–12,500 ppm | 0.68–6.8 kΩ |
| TGS 2620 | Carbon Monoxide, Ethanol Iso-Butane, Hydrogen | Methane | 50–500 ppm | 1–5 kΩ |
| LC Patient (60 Person) | Healthy Volunteer (40 Person) | |
|---|---|---|
| Age (Mean/St. deviation) | 60.7/8 | 48.2/9 |
| Gender (Female/Male) | 13/47 | 10/30 |
| Smokers/Non-smokers | 0/60 | 20/20 |
| Ex-smokers/Non-smokers | 45/60 | 0/40 |
| Types of Features | Classification Algorithms | |||||
|---|---|---|---|---|---|---|
| DT | L-SVM | Q-SVM | C-SVM | k-NN | RF | |
| MOS | 75.34 77.83-72.85-1.90 | 75.52 77-74.6-1.08 | 81.12 82.1-79.3-1.17 | 81.28 82-79.3-1.12 | 74.38 79.9-71.3-3.30 | 81.54 82.8-79.9-1.09 |
| PCA(MOS) | 85.20 86.16-84.35-0.67 | 67.86 70.22-64.93-2.17 | 67.66 70.25-64.94-2.11 | 85.76 86.47-84.96-0.62 | 81.06 81.97-79.65-0.90 | 87.16 88.13-86.18-0.88 |
| LDA(MOS) | 88.80 90.14-87.38-1.11 | 93.20 93.11-91.36-0.78 | 92.60 92.96-91.72-0.45 | 91.56 92.84-90.25-1.06 | 90.10 90.81-89.47-0.51 | 90.04 90.87-89.16-0.80 |
| QCM | 66.82 70.75-64.22-2.70 | 64.32 64.83-64-0.43 | 71.96 74.07-70.15-1.46 | 69.66 73.45-66.56-2.51 | 70.50 72.28-68.92-1.33 | 73.18 75.14-70.75-1.77 |
| PCA(QCM) | 74.96 76.92-73.75-1.25 | 67.86 70.27-64.91-2.17 | 67.66 70.23-64.96-2.11 | 82.22 84.33-79.37-1.93 | 85.96 87-84.95-0.89 | 80.20 81-79-0.87 |
| LDA(QCM) | 67.30 68.61-65.72-1.30 | 67.86 70.24-64.95-2.17 | 67.66 70.28-64.96-2.11 | 68.92 70.12-68-0.78 | 66.76 70.45-63.36-2.95 | 70.58 71.27-69.94-0.56 |
| MOS + QCM | 76.06 77.85-74-1.43 | 76.84 77.82-75.44-0.96 | 85.26 86.46-83.72-1.05 | 85.18 86.11-84.16-0.79 | 75.38 76-74.93-0.48 | 82.24 82.92-81.45-0.58 |
| PCA (MOS + QCM) | 84.24 84.92-83.43-0.60 | 67.86 70.62-64.91-2.17 | 67.66 70.27-64.91-2.11 | 81.46 82.25-80.88-0.63 | 80.36 85.83-75.46-4.18 | 87.56 88.13-87.25-0.35 |
| LDA (MOS + QCM) | 94.40 94.75-93.89-0.36 | 94.52 94.75-94.47-0.16 | 93.80 94.73-92.92-0.73 | 92.90 94.12-91.61-0.97 | 92.30 93.86-91.47-0.95 | 94.58 95.61-94.17-0.62 |
| PCA(MOS) + PCA(QCM) | 83.40 85.26-82.08-1.33 | 67.86 70.25-64.92-2.17 | 70.02 70.75-69.270.56 | 83.10 83.74-82.28-0.60 | 88.56 88.83-88.26-0.25 | 87.14 88.25-86.11-0.77 |
| LDA(MOS) + LDA(QCM) | 89.80 90.57-88.95-0.65 | 93.08 93.81-92-0.75 | 92.60 93.81-92-0.73 | 90.74 91.47-89.65-0.80 | 90.60 90.57-89.6-0.35 | 90.92 91.4-90.2-0.54 |
| LD1 | ||||||||
| LD2 | ||||||||
| Membership Function | Graph and Equation of Membership Function |
| Gaussian membership function | ![]() |
| Generalized bell-shaped membership function | ![]() |
| Triangular membership function | ![]() |
| Trapezoidal membership function | ![]() |
| Pi-shaped membership function | ![]() |
| Algorithm | Tuning Parameters | Operators |
|---|---|---|
| GA | Crossover rate | Selection crossover rate, crossover mutation |
| PSO | Social acceleration coefficient, inertia weight, cognitive acceleration coefficient | Particle velocity update, particle position update |
| SA | Temperature | Annealing process |
| AEO | Energy transfer mechanism | Production, consumption, decomposition, reproduction |
| IWO | Invasive weed spread | Spectral spread, competitive deprivation |
| Membership Functions | Optimization Algorithms | ||||
|---|---|---|---|---|---|
| PSO | GA | SA | IWO | AEO | |
| Gaussian | 95.69 98.07-92.80-2.41 | 94.81 97.95-92.07-2.27 | 92.95 97.36-87.22-3.77 | 97.27 98.81-94.71-1.66 | 93.82 97.06-91.18-2.18 |
| Generalized Bell-Shaped | 97.27 99.26-95.30-1.72 | 97.93 100-95.89-1.75 | 95.7 99.11-92.62-2.29 | 97.44 98.56-95.59-1.49 | 97.56 98.56-95.59-1.37 |
| Pi | 92.98 97.06-91.18-2.33 | 92.79 97.06-91.18-2.43 | 92.94 97.06-91.18-2.39 | 93.23 97.06-91.18-2.23 | 92.65 97.06-91.05-2.54 |
| Trapezoidal | 91.74 97.06-88.41-3.35 | 92.01 97.06-89.56-3.07 | 90.79 97.06-86.67-3.79 | 89.95 97.06-86.68-4.22 | 90.3 97.06-86.77-3.95 |
| Triangular | 92.3 95.59-89.55-2.22 | 94.81 95.59-92.07-2.27 | 91.62 95.59-89.71-2.51 | 92.7 97.06-9.71-2.77 | 91.47 95.59-89.56-2.63 |
| Algorithm | Population Size | Max. Iterations | Other Parameters |
|---|---|---|---|
| PSO | 50 | 250 | Inertia weight w = 0.7 (linearly decreasing 0.9 → 0.4), cognitive c1 = 1.5, social c2 = 1.5, velocity clamping = ±(range/2) |
| GA | 60 | 250 | Mutation rate = 0.05, Crossover rate = 0.8 (single/two-point), Selection = Tournament (size = 3), Elitism = 2 individuals |
| SA | - | 250 | Initial temperature T0 chosen s.t. initial acceptance ≈ 0.8; Cooling: geometric α with α = 0.995; Neighbor perturbation = Gaussian step, σ_initial = 0.1 × variable_range, σ_final = 1 × 10−4 × range |
| IWO | 50 (Initial seeds) | 250 | Min seeds = 2; Max seeds = 6; σ_initial = 3.0; σ_final = 0.01; Reproduction rule: seeds ∝ fitness (linear) |
| AEO | 50 | 250 | Producer ratio = 0.5; Consumer ratio = 0.3; Decomposer prob. = 0.2; Migration rate = 0.1; Environmental Factor (EF) = 0.5 |
Disclaimer/Publisher’s Note: The statements, opinions and data contained in all publications are solely those of the individual author(s) and contributor(s) and not of MDPI and/or the editor(s). MDPI and/or the editor(s) disclaim responsibility for any injury to people or property resulting from any ideas, methods, instructions or products referred to in the content. |
© 2025 by the authors. Licensee MDPI, Basel, Switzerland. This article is an open access article distributed under the terms and conditions of the Creative Commons Attribution (CC BY) license (https://creativecommons.org/licenses/by/4.0/).
Share and Cite
Ozsandikcioglu, U.; Atasoy, A.; Guney, S. Enhanced Lung Cancer Classification Accuracy via Hybrid Sensor Integration and Optimized Fuzzy Logic-Based Electronic Nose. Sensors 2025, 25, 5271. https://doi.org/10.3390/s25175271
Ozsandikcioglu U, Atasoy A, Guney S. Enhanced Lung Cancer Classification Accuracy via Hybrid Sensor Integration and Optimized Fuzzy Logic-Based Electronic Nose. Sensors. 2025; 25(17):5271. https://doi.org/10.3390/s25175271
Chicago/Turabian StyleOzsandikcioglu, Umit, Ayten Atasoy, and Selda Guney. 2025. "Enhanced Lung Cancer Classification Accuracy via Hybrid Sensor Integration and Optimized Fuzzy Logic-Based Electronic Nose" Sensors 25, no. 17: 5271. https://doi.org/10.3390/s25175271
APA StyleOzsandikcioglu, U., Atasoy, A., & Guney, S. (2025). Enhanced Lung Cancer Classification Accuracy via Hybrid Sensor Integration and Optimized Fuzzy Logic-Based Electronic Nose. Sensors, 25(17), 5271. https://doi.org/10.3390/s25175271






