An Eye Movement Monitoring Tool: Towards a Non-Invasive Device for Amblyopia Treatment
Abstract
1. Introduction
2. Challenges and Constraints of Healthcare Tools and Therapies for Amblyopia
3. DRAM System Overview
3.1. Hardware Design
3.2. Software Design
3.3. DRAM Usage
- 1.
- Proper Positioning: The user should be seated in a comfortable and upright position, maintaining a distance of 40 to 50 cm from the device. The device height must be adjusted to enable precise pupil tracking, as illustrated in Figure 4.
- 2.
- Maze Completion: The user is required to navigate through the proposed mazes by controlling the on-screen circle with lateral and anteroposterior eye movements. To achieve accurate tracking, the user’s head must remain stationary, with only the eyes in motion.
- 3.
- Session Duration: The user should maintain their position until they have completed all the maze levels or feel fatigued. If unable to complete the session, the progress made up to the last level will be recorded in the database.
- 4.
- Progression and Duration: Therapy begins with a simple maze and gradually increases in complexity throughout the session. The total duration of the therapy is estimated to range between 6 and 8 minutes, encompassing all five levels programmed into the device. The frequency of therapy sessions is determined by a specialist based on the severity of the amblyopia.
3.4. Report Generation
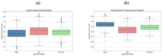
3.4.1. Lateral and Anteroposterior Displacement
3.4.2. Linear Regression
3.4.3. Data Tables
3.5. Population
- Two participants with myopia.
- One participant with astigmatism.
- Three participants with amblyopia:
- User ID 5 presented with strabismic amblyopia in the left eye.
- User IDs 15 and 8 exhibited amblyopia in the right eye.
- The remaining participants had no diagnosed ocular conditions.
3.6. Ethical and Safety Considerations
4. Results
4.1. Eye Movement and Maze Completion Time Report
4.1.1. Functional Test Results
4.1.2. Therapy Performance
4.1.3. Case Studies
User 5
User 15
4.2. Device Technical Features
4.3. Usability Tests
Perceptions and Opinions
5. Discussion
5.1. Comparative Analysis with Existing Visual Rehabilitation Approaches
5.2. System Performance and User Interaction
5.3. Technical Evaluation and Variability Analysis
5.4. Usability and User Feedback
5.5. Addressing Head Movement and Future Enhancements
6. Limitations and Future Work
6.1. Participant Sample and Clinical Validation
6.2. Usability, Ergonomics, and Pediatric Applicability
6.3. Visual Interface Design and Accessibility
6.4. Binocular Function and Stimuli Limitations
6.5. System Performance and Fatigue Assessment
6.6. Broader Applications and Societal Impact
6.7. Future Preliminary Clinical Validation of the Device
- Children with a history of recent surgery (less than three months prior to the start of the study).
- Presence of eye diseases unrelated to amblyopia, such as pathological nystagmus, congenital glaucoma, color blindness, severe retinopathy of prematurity, or retinal dystrophies.
- Neurological or developmental disorders that interfere with attention, comprehension, or use of the device (e.g., photosensitive epilepsy, severe intellectual disability, ADHD, or autism spectrum disorder at levels 2 or 3).
- Participation in other visual intervention protocols during the last month.
- Voluntary refusal by the child to use the device after the familiarization phase.
7. Conclusions
Author Contributions
Funding
Institutional Review Board Statement
Informed Consent Statement
Data Availability Statement
Conflicts of Interest
Abbreviations
| DRAM | Device for Recording and Analysis in Amblyopia Management |
| OLED | Organic light-emitting diode |
| SUS | System usability scale |
| 3D | Three-dimensional |
| I2C | Inter-integrated circuit |
| VA | Visual acuity |
| BCVA | Best corrected visual acuity |
| WHO | World health organization |
References
- Sen, S.; Singh, P.; Saxena, R. Management of amblyopia in pediatric patients: Current insights. Eye 2022, 36, 44–56. [Google Scholar] [CrossRef]
- Norashrafodin, S.F.; Vameghi, R.; Hatamizadeh, N.; Bakhshi, E.; Yaghmaei, F. Investigating the relationship of visual treatment and rehabilitation with the quality of life and visual status in children with diagnosed amblyopia. Iran. Rehabil. J. 2017, 15, 155–164. [Google Scholar] [CrossRef]
- Guimaraes, S.; Vieira, M.; Queirós, T.; Soares, A.; Costa, P.; Silva, E. New pediatric risk factors for amblyopia: Strabismic versus refractive. Eur. J. Ophthalmol. 2018, 28, 229–233. [Google Scholar] [CrossRef] [PubMed]
- World Health Organization Team (Ed.) World Report on Vision; WHO: Geneva, Switzerland, 2019; p. 1. [Google Scholar]
- Corrales, A.M.B.; Ramos, J.F.R.; Rodríguez, A.A.; Fuentes, S.S.; Hernández, S.J. Pesquisaje de afecciones oculares en niños de círculos infantiles. Estrategia de intervención. Rev. Ciencias Médicas 2014, 18, 86–99. [Google Scholar]
- Papageorgiou, E.; Asproudis, I.; Maconachie, G.; Tsironi, E.E.; Gottlob, I. The treatment of amblyopia: Current practice and emerging trends. Graefe’s Arch. Clin. Exp. Ophthalmol. 2019, 257, 1061–1078. [Google Scholar] [CrossRef] [PubMed]
- McConaghy, J.R.; McGuirk, R. Amblyopia: Detection and treatment. Am. Fam. Physician 2019, 100, 745–750. [Google Scholar] [PubMed]
- Elhusseiny, A.M.; Wu, C.; MacKinnon, S.; Hunter, D.G. Severe reverse amblyopia with atropine penalization. J. Am. Assoc. Pediatr. Ophthalmol. Strabismus 2020, 24, 106–108. [Google Scholar] [CrossRef]
- Herrera, M.C.; Díaz, A.G.M. Últimos Avances en el Tratamiento de la Ambliopía; Universidad Complutense de Madrid Facultad de Óptica Y Optometría: Madrid, Spain, 2020. [Google Scholar]
- Boyd, K. Amblyopia: What Is Lazy Eye? American Academy of Ophthalmology: San Francisco, CA, USA, 2022. [Google Scholar]
- Simon-Martinez, C.; Antoniou, M.P.; Bouthour, W.; Bavelier, D.; Levi, D.; Backus, B.T.; Dornbos, B.; Blaha, J.J.; Kropp, M.; Müller, H.; et al. Stereoptic serious games as a visual rehabilitation tool for individuals with a residual amblyopia (AMBER trial): A protocol for a crossover randomized controlled trial. BMC Ophthalmol. 2023, 23, 220. [Google Scholar] [CrossRef]
- Blair, K.; Cibis, G.; Gulani, A. Amblyopia; StatPearls Publishing: Treasure Island, FL, USA, 2023. [Google Scholar]
- Chung, Y.W.; Park, S.H.; Shin, S.Y. Distant stereoacuity in children with anisometropic amblyopia. Jpn. J. Ophthalmol. 2017, 61, 402–407. [Google Scholar] [CrossRef]
- Gupta, A.; Vaitheeswaran, K. Contemporary Perspectives on Ophthalmology; Elsevier Health Sciences: Chennai, India, 2019; Volume 10. [Google Scholar]
- Zhang, X.J.; Wong, P.P.Y.; Wong, E.S.; Kam, K.W.; Yip, B.H.K.; Zhang, Y.; Zhang, W.; Young, A.L.; Chen, L.J.; Ip, P.; et al. Delayed Diagnosis of Amblyopia in Children of Lower Socioeconomic Families: The Hong Kong Children Eye Study. Ophthalmic Epidemiol. 2022, 29, 621–628. [Google Scholar] [CrossRef]
- Kadhum, A.; Tan, E.T.; Levi, D.M.; Colpa, L.; Fronius, M.; Simonsz, H.J.; Loudon, S.E. Barriers to successful dichoptic treatment for amblyopia in young children. Graefe’s Arch. Clin. Exp. Ophthalmol. 2021, 259, 3149–3157. [Google Scholar] [CrossRef] [PubMed]
- Wu, C.; Reznick, L.G. Amblyopia. In Albert and Jakobiec’s Principles and Practice of Ophthalmology; Albert, D.M., Miller, J.W., Azar, D.T., Young, L.H., Eds.; Springer International Publishing: Cham, Switzerland, 2022; pp. 6575–6596. [Google Scholar] [CrossRef]
- Iwata, Y.; Handa, T.; Ishikawa, H. Comparison of Amblyopia Treatment Effect with Dichoptic Method Using Polarizing Film and Occlusion Therapy Using an Eye Patch. Children 2022, 9, 1285. [Google Scholar] [CrossRef]
- Salgado, C. Ambliopía y Estrabismo; Politécnica Universidad Católica de Chile: Santiago, Chile, 2005; pp. 1–6. [Google Scholar]
- Oliveras, L.M. Ambliopia: Oclusión o Penalización: Nuevas Perspectivas de Tratamiento Basadas en la Evidencia; Universitat Politècnica de Catalunya: Barcelona, Spain, 2021. [Google Scholar]
- Kadhum, A.; Tan, E.T.; Fronius, M.; Baart, S.J.; Levi, D.M.; Joosse, M.V.; Simonsz, H.J.; Loudon, S.E. Supervised dichoptic gaming versus monitored occlusion therapy for childhood amblyopia: Effectiveness and efficiency. Acta Ophthalmol. 2024, 102, 38–48. [Google Scholar] [CrossRef]
- Grossman, D.C.; Curry, S.J.; Owens, D.K.; Barry, M.J.; Davidson, K.W.; Doubeni, C.A.; Epling, J.W.; Kemper, A.R.; Krist, A.H.; Kurth, A.E.; et al. Vision screening in children aged 6 months to 5 years: US preventive services task force recommendation statement. JAMA J. Am. Med Assoc. 2017, 318, 836–844. [Google Scholar] [CrossRef]
- Vega, L.L.; Piñero, D.P.; Rodríguez, C.J.H.; Martín, A.M.; Morales-Quezada, L.; Álvarez, A.I.V.; Lara, J.F.A.; Martín, M.B.C. Study protocol for a randomized controlled trial of the NEIVATECH virtual reality system to improve visual function in children with anisometropic amblyopia. BMC Ophthalmol. 2022, 22, 253. [Google Scholar] [CrossRef]
- Gibertoni, G.; Borghi, G.; Rovati, L. Vision-Based Eye Image Classification for Ophthalmic Measurement Systems. Sensors 2023, 23, 386. [Google Scholar] [CrossRef] [PubMed]
- Khan, W.; Hussain, A.; Kuru, K.; Al-Askar, H. Pupil localisation and eye centre estimation using machine learning and computer vision. Sensors 2020, 20, 3785. [Google Scholar] [CrossRef] [PubMed]
- Lugaresi, C.; Tang, J.; Nash, H.; McClanahan, C.; Uboweja, E.; Hays, M.; Zhang, F.; Chang, C.L.; Yong, M.G.; Lee, J.; et al. MediaPipe: A Framework for Building Perception Pipelines. arXiv 2019, arXiv:1906.08172. [Google Scholar]
- Lee, H.J.; Kim, S.J. Outcomes of using Bangerter foils for the treatment of residual amblyopia following patching therapy. Graefe’s Arch. Clin. Exp. Ophthalmol. 2021, 259, 3167–3174. [Google Scholar] [CrossRef]
- Mehmed, B.; Fronius, M.; Pohl, T.; Ackermann, H.; Schramm, C.; Spieth, B.; Hofmann, C.; Kohnen, T.; Wenner, Y. Electronically monitored occlusion therapy in amblyopia with eccentric fixation. Graefe’s Arch. Clin. Exp. Ophthalmol. 2022, 260, 1741–1753. [Google Scholar] [CrossRef]
- Žiak, P.; Holm, A.; Halička, J.; Mojžiš, P.; Piñero, D.P. Amblyopia treatment of adults with dichoptic training using the virtual reality oculus rift head mounted display: Preliminary results. BMC Ophthalmol. 2017, 17, 105. [Google Scholar] [CrossRef] [PubMed]
- Jiménez-Rodríguez, C.; Yélamos-Capel, L.; Salvestrini, P.; Pérez-Fernández, C.; Sánchez-Santed, F.; Nieto-Escámez, F. Rehabilitation of visual functions in adult amblyopic patients with a virtual reality videogame: A case series. Virtual Real. 2023, 27, 385–396. [Google Scholar] [CrossRef]
- Ciman, M.; Gaggi, O.; Sgaramella, T.M.; Nota, L.; Bortoluzzi, M.; Pinello, L. Serious Games to Support Cognitive Development in Children with Cerebral Visual Impairment. Mob. Netw. Appl. 2018, 23, 1703–1714. [Google Scholar] [CrossRef]
- Hernández-Rodríguez, C.J.; Ferrer-Soldevila, P.; Artola-Roig, A.; Piñero, D.P. Rehabilitation of amblyopia using a digital platform for visual training combined with patching in children: A prospective study. Graefe’s Arch. Clin. Exp. Ophthalmol. 2024, 262, 3007–3020. [Google Scholar] [CrossRef] [PubMed]
- Yan, Y.; Nie, X.; Dong, Y. P5G: A Patient-Centered Design Method of Virtual Reality Health Game System for Children’s Amblyopia Rehabilitation. In Proceedings of the 2024 IEEE International Conference on Artificial Intelligence and eXtended and Virtual Reality, AIxVR 2024, Los Angeles, CA, USA, 17–19 January 2024. [Google Scholar] [CrossRef]
- Zuluaga, J.D.R.; Torres, L.B.; Salazar, S.N.; Garavito, J.A.S.; Arciniegas, C.D.V. Pautas para el examen oftalmológico. Enfoque para el estudiante de medicina y el médico general. Univ. Médica 2017, 58. [Google Scholar] [CrossRef]
- Zhang, Y.; Meng, B.; Wu, H. Evaluating the Mechanism by Which the TNO Stereo Test Overestimates Stereo Thresholds. J. Ophthalmol. 2021, 2021, 6665638. [Google Scholar] [CrossRef]
- Lu, L.; Li, Q.; Zhang, L.; Tang, S.; Yang, X.; Liu, L.; Sweeney, J.A.; Gong, Q.; Huang, X. Altered cortical morphology of visual cortex in adults with monocular amblyopia. J. Magn. Reson. Imaging 2019, 50, 1405–1412. [Google Scholar] [CrossRef]
- Liang, M.; Xiao, H.; Xie, B.; Yin, X.; Wang, J.; Yang, H. Morphologic changes in the visual cortex of patients with anisometropic amblyopia: A surface-based morphometry study. BMC Neurosci. 2019, 20, 39. [Google Scholar] [CrossRef]
- Fan, Y.; Li, L.; Chu, P.; Wu, Q.; Wang, Y.; Cao, W.H.; Li, N. Clinical analysis of eye movement-based data in the medical diagnosis of amblyopia. Methods 2023, 213, 26–32. [Google Scholar] [CrossRef]
- Dulaney, C.S.; Murray, J.; Ghasia, F. Contrast sensitivity, optotype acuity and fixation eye movement abnormalities in amblyopia under binocular viewing. J. Neurol. Sci. 2023, 451, 120721. [Google Scholar] [CrossRef]
- Miladinović, A.; Quaia, C.; Ajčević, M.; Diplotti, L.; Michieletto, P.; Accardo, A.; Pensiero, S. Non-Invasive Recording of Ocular-Following Responses in Children: A Promising Tool for Stereo Deficiency Evaluation. J. Clin. Med. 2024, 13, 1596. [Google Scholar] [CrossRef] [PubMed]
- Fan, Y.; Zuo, H.; Chu, P.; Wu, Q.; Li, L.; Wang, Y.; Cao, W.; Zhou, Y.; Huang, L.; Li, N. Analyses of eye movement parameters in children with anisometropic amblyopia. BMC Ophthalmol. 2024, 24, 278. [Google Scholar] [CrossRef] [PubMed]
- Murray, J.; Gupta, P.; Dulaney, C.; Garg, K.; Shaikh, A.G.; Ghasia, F.F. Effect of Viewing Conditions on Fixation Eye Movements and Eye Alignment in Amblyopia. Investig. Ophthalmol. Vis. Sci. 2022, 63, 33. [Google Scholar] [CrossRef]
- Levi, D.M.; Chung, S.T. The impact of eye movements on amblyopic vision: A mini-review. Vis. Res. 2025, 230, 108588. [Google Scholar] [CrossRef]
- Martin, T.L.; Murray, J.; Garg, K.; Gallagher, C.; Shaikh, A.G.; Ghasia, F.F. Fixation eye movement abnormalities and stereopsis recovery following strabismus repair. Sci. Rep. 2021, 11, 14417. [Google Scholar] [CrossRef] [PubMed]
- Verghese, P.; Nyström, M.; Foulsham, T.; McGraw, P.V. Eye movements in visual impairment. Vision Res. 2023, 211, 108296. [Google Scholar] [CrossRef]
- Ghasia, F.; Wang, J. Amblyopia and fixation eye movements. J. Neurol. Sci. 2022, 441, 120373. [Google Scholar] [CrossRef]
- Kang, S.L.; Beylergil, S.B.; Shaikh, A.G.; Otero-Millan, J.; Ghasia, F.F. Fixational Eye Movement Waveforms in Amblyopia: Characteristics of Fast and Slow Eye Movements. J. Eye Mov. Res. 2019, 12, 22. [Google Scholar] [CrossRef]
- Fernández, M.E.T. Ambliopía Refractiva en Paciente Masculino de 7 Años de Edad; Universidad Técnica de Babahoyo: Babahoyo-Los Ríos, Ecuador, 2023; pp. 1–35. [Google Scholar]
- Icart, E.C. La Terapia Visual Activa Como Tratamiento Eficaz en Estrabismos y Ambliopías Funcionales; Universitat Politècnica de Catalunya Facultad de Óptica y Optometría de Terrassa: Barcelona, Spain, 2015. [Google Scholar]
- Milla, M.; Molina-Martín, A.; Piñero, D.P. Long-Term Efficacy of the Combination of Active Vision Therapy and Occlusion in Children with Strabismic and Anisometropic Amblyopia. Children 2022, 9, 1012. [Google Scholar] [CrossRef]
- Ali, S.G.; Wang, X.; Li, P.; Jung, Y.; Bi, L.; Kim, J.; Chen, Y.; Feng, D.D.; Thalmann, N.M.; Wang, J.; et al. A systematic review: Virtual-reality-based techniques for human exercises and health improvement. Front. Public Health 2023, 11, 1143947. [Google Scholar] [CrossRef]
- IEC 60825-1:2014; VL53L0X Time-of-Flight Ranging Sensor Datasheet, 3rd ed. STMicroelectronics: Plan-les-Ouates, Switzerland, 2022.
- Gao, J. R-Squared (R 2)—How much variation is explained? Res. Methods Med. Health Sci. 2024, 5. [Google Scholar] [CrossRef]
- Ballve, L.P.M.D. El valor p: Un concepto estadístico-metodológico omnipresente en la investigación biomédica. ¿Lo interpretamos correctamente? Argent. J. Respir. Phys. Ther. 2020, 2, 4. [Google Scholar] [CrossRef]
- Ai-Thinker Technology. ESP32-CAM Specification; Ai-Thinker Technology: Shenzen, China, 2017. [Google Scholar]
- Putnam, C.; Puthenmadom, M.; Cuerdo, M.A.; Wang, W.; Paul, N. Adaptation of the system usability scale for user testing with children. In Proceedings of the Conference on Human Factors in Computing Systems, Honolulu, HI, USA, 25–30 April 2020. [Google Scholar] [CrossRef]
- Gronier, G.; Baudet, A. Psychometric Evaluation of the F-SUS: Creation and Validation of the French Version of the System Usability Scale. Int. J. Hum.-Comput. Interact. 2021, 37, 1571–1582. [Google Scholar] [CrossRef]
- Ávila, M.N. Desarrollo de Prototipo de Juego Serio Para Ejercitación Ocular Basado en Tracking de Mirada; Universidad Militar Nueva Granada Facultad de Ingeniería: Bogotá, Colombia, 2014. [Google Scholar]
- Picotti, C.; Irigaray, L.F.; Rivero, A.D.; Fariñalas, M.; Piñero, D.P. Treatment of Anisometropic Amblyopia with a Dichoptic Digital Platform in Argentinian Children and Adults. Semin. Ophthalmol. 2024, 39, 89–95. [Google Scholar] [CrossRef]
- Larrazabal, A.J.; Cena, C.E.G.; Martínez, C.E. Video-oculography eye tracking towards clinical applications: A review. Comput. Biol. Med. 2019, 108, 57–66. [Google Scholar] [CrossRef]
- Piñero, D.P.; Gil-Casas, A.; Hurtado-Ceña, F.J.; Molina-Martin, A. Visual Performance of Children with Amblyopia after 6 Weeks of Home-Based Dichoptic Visual Training. Children 2024, 11, 1007. [Google Scholar] [CrossRef]














| Study Title | Implemented Therapy | Results |
|---|---|---|
| Outcomes of using Bangerter foils for the treatment of residual amblyopia following patching therapy | Occlusive Therapy This study included a total of 74 patients: 25 patients with strabismic amblyopia, 20 patients with anisometropic amblyopia, and 29 patients with combined amblyopia | The BF treatment led to significant improvements in the visual acuity (VA) of the amblyopic eye without causing reverse amblyopia in any patients. In addition to the improvement in VA, an enhancement in stereoacuity was also observed. Of the 19 patients who initially lacked binocularity, 68% developed it after the treatment. Furthermore, among the patients with poor stereopsis before treatment, 18% showed improvements [27] |
| Electronically monitored occlusion therapy in amblyopia with eccentric fixation | Occlusive Therapy The study included 12 participants with strabismic and combined amblyopia aged between 2.9 and 12.4 years (mean 6.5). The median occlusion prescription was 7.7 h/day (range 6.6–9.9) and the median daily occlusion received was 5.2 h/day (range 0.7–9.7) | The mean initial acuity of the amblyopic eyes was 1.4 ± 0.4 logMAR (range 0.9–2.0) and that of the contralateral eyes was 0.3 ± 0.3 logMAR (range −0.1–0.8). There was a trend towards better initial amblyopic eye acuity with increasing age, but it did not reach significance (Spearman rank correlation, rho = −0.56, p = 0.06). Fellow eyes showed significantly better visual acuity with increasing age [28] |
| Amblyopia treatment of adults with dichoptic training using the virtual reality Oculus Rift head-mounted display: preliminary results | Dichoptic Therapy A total of 17 subjects (10 males, 7 females) with a mean age of 31.2 years (range, 17–69 years) and anisometropic amblyopia were recruited. Changes in best-corrected visual acuity (BCVA) and stereoacuity were assessed after eight sessions | Mean BCVA in the amblyopic eye improved significantly from a logMAR value of 0.58 ± 0.35 pre-training to a post-training value of 0.43 ± 0.38 (p < 0.01). In total, 47% of participants achieved a BCVA of 20/40 or better after training, compared to 30% before training [29] |
| Rehabilitation of visual functions in adult amblyopic patients with a virtual reality video game: a case series | Dichoptic Therapy A minimum visual acuity difference of 0.2 logMAR (Sloan ETDRS letters) between the two eyes was considered the criterion for amblyopia. Exclusion criteria were the presence of ocular pathologies, such as strabismus and macular or optic nerve disorders, and the use of drugs. The results of one patient will be shown | The participant showed a VA difference of 0.22 logMAR between the contralateral (left) eye and the amblyopic (right) eye at her initial assessment. Initial CS was poor, with only 2 stimuli (out of 8) detected in the low frequency range (3 c/deg). No stimuli were detected at higher frequencies. The stereopsis score showed a value of 160 arc seconds [30] |
| Serious Games to Support Cognitive Development in Children with Cerebral Visual Impairment | Dichoptic Therapy This study involved children aged between 4 and 9, of whom 13 were girls and 5 were boys. All of these children presented with CVI (Cerebral Visual Impairment), which can lead to the development of amblyopia. | The games developed in this study were very helpful in describing the children’s ability to track moving objects. The system offers various levels of complexity, as it includes different tasks characterized by diverse content. In one of the semantic games, one of the girls achieved 77% correct responses but demonstrated correct performance in her second execution of the task [31] |
| Rehabilitation of amblyopia using a digital platform for visual training combined with patching in children: a prospective study | Dichoptic Therapy This study included 52 children with amblyopia, of whom 20 improved their VA by combining glasses with patching. In the remaining 32, changes in VA were monitored over a 6-month period. | The study found an improvement in VA of 0.18 ± 0.16 logMAR for the glasses combined with patching group (PG) and an improvement of 0.31 ± 0.35 logMAR for the other visual treatment group (VT). The Wilcoxon effect size was slightly higher in the latter group at 6 months (0.48 vs. 0.54) [32] |
| P5G: A Patient-Centered Design Method of Virtual Reality Health Game System for Children’s Amblyopia Rehabilitation | Dichoptic Therapy This study presents a P5 eHealth framework applied to health games, through which it develops a VR system for amblyopia rehabilitation in children. | This study does not yet present evaluation results; it proposes two methods for future evaluation: treatment efficacy, where VA will be assessed, and treatment adherence, where usability and playability will be evaluated using the Heuristics Evaluation for Playability (HEP) [33] |
| ID | LD Max | AD Max | LI Max | AI Max | LB Max | AB Max | LD Min | AD Min | LI Min | AI Min | LB Min | AB Min | Operation |
|---|---|---|---|---|---|---|---|---|---|---|---|---|---|
| 1 | 0.71 | −0.29 | 0.90 | −0.38 | 0.81 | −0.33 | 0.03 | −0.60 | 0.29 | −0.67 | 0.20 | −0.62 | Bin |
| 2 | 0.70 | −0.40 | 0.79 | −0.34 | 0.75 | −0.38 | 0.12 | −0.92 | 0.29 | −0.70 | 0.21 | −0.74 | Bin |
| 3 | 0.76 | −0.33 | 0.85 | −0.33 | 0.76 | −0.37 | 0.18 | −0.64 | 0.24 | −0.79 | 0.24 | −0.70 | Bin |
| 4 | 0.73 | −0.36 | 0.81 | −0.26 | 0.79 | −0.31 | 0.18 | −0.82 | 0.24 | −0.71 | 0.23 | −0.75 | Bin |
| 5 | 0.74 | −0.24 | 0.86 | −0.32 | 0.79 | −0.29 | 0.17 | −0.59 | 0.25 | −0.75 | 0.23 | −0.65 | Bin |
| 5 | - | - | 0.85 | −0.40 | - | - | - | - | 0.27 | −0.78 | - | - | Mon-Izq |
| 6 | 0.72 | −0.28 | 0.78 | −0.44 | 0.74 | −0.36 | 0.16 | −0.88 | 0.19 | −0.76 | 0.22 | −0.76 | Bin |
| 7 | 0.69 | −0.36 | 0.77 | −0.37 | 0.72 | −0.37 | 0.16 | −0.62 | 0.23 | −0.63 | 0.20 | −0.60 | Bin |
| 8 | 0.70 | −0.27 | 0.72 | −0.33 | 0.71 | −0.32 | 0.15 | −1.00 | 0.25 | −0.71 | 0.23 | −0.79 | Bin |
| 9 | 0.77 | −0.33 | 0.86 | −0.43 | 0.78 | −0.39 | 0.24 | −0.63 | 0.26 | −0.79 | 0.27 | −0.70 | Bin |
| 10 | 0.74 | −0.24 | 0.74 | −0.32 | 0.72 | −0.30 | 0.19 | −0.66 | 0.24 | −0.76 | 0.24 | −0.67 | Bin |
| 11 | 0.72 | −0.34 | 0.86 | −0.39 | 0.77 | −0.38 | 0.07 | −0.74 | 0.33 | −0.73 | 0.21 | −0.70 | Bin |
| 12 | 0.73 | −0.33 | 0.80 | −0.42 | 0.75 | −0.38 | 0.24 | −0.63 | 0.27 | −0.75 | 0.27 | −0.69 | Bin |
| 13 | 0.72 | −0.37 | 0.79 | −0.33 | 0.76 | −0.36 | 0.19 | −0.80 | 0.27 | −0.69 | 0.25 | −0.73 | Bin |
| 14 | 0.70 | −0.31 | 0.84 | −0.40 | 0.74 | −0.37 | 0.18 | −0.84 | 0.28 | −0.78 | 0.23 | −0.76 | Bin |
| 15 | 0.74 | −0.35 | 0.84 | −0.41 | 0.78 | −0.40 | 0.19 | −0.79 | 0.26 | −0.69 | 0.25 | −0.70 | Bin |
| 15 | 0.76 | −0.31 | - | - | - | - | 0.24 | −0.93 | - | - | - | - | Mon-Der 1 |
| ID | Level | Time-CHKP-1 (ms) | Time-CHKP-2 (ms) | Total Time (ms) | Errors | Performance Ratio (ms/E) |
|---|---|---|---|---|---|---|
| 1 | 2 | 29,288.28 | 54,748.03 | 79,828.34 | 80 | 997.84 |
| 2 | 2 | 24,905.60 | 52,536.68 | 94,997.36 | 34 | 2794.04 |
| 3 | 2 | 32,797.24 | 57,092.38 | 78,803.16 | 43 | 1832.62 |
| 4 | 2 | 27,144.63 | 54,854.24 | 78,771.96 | 45 | 1750.49 |
| 5 | 2 | 25,418.80 | 122,261.47 | 147,652.17 | 35 | 4218.62 |
| 5 | 2 | 25,599.37 | 53,875.00 | 82,635.54 | 43 | 1921.76 |
| 6 | 2 | 89,477.95 | 141,704.12 | 176,117.06 | 26 | 6773.72 |
| 7 | 2 | 30,138.57 | 55,496.31 | 81,729.00 | 34 | 2403.78 |
| 8 | 2 | 27,028.62 | 51,896.15 | 76,994.55 | 64 | 1203.04 |
| 9 | 2 | 29,031.57 | 59,622.15 | 89,168.22 | 5 | 17,833.63 |
| 10 | 2 | 32,637.31 | 55,022.04 | 78,409.00 | 56 | 1400.16 |
| 11 | 2 | 30,819.88 | 59,929.77 | 87,561.94 | 33 | 2653.38 |
| 12 | 2 | 29,025.76 | 58,571.12 | 86,799.60 | 4 | 21,699.89 |
| 13 | 2 | 29,824.20 | 70,036.41 | 96,069.72 | 55 | 1746.71 |
| 14 | 2 | 32,495.59 | 64,573.82 | 91,083.19 | 11 | 8280.29 |
| 15 | 2 | 28,782.37 | 65,735.45 | 93,404.82 | 2 | 46,702.41 |
| 15 | 2 | 26,546.87 | 50,923.96 | 75,681.78 | 36 1 | 2102.26 |
| ID | HD_ML_D | HD_AP_D | HD_ML_I | HD_AP_I | HI_ML_D | HI_AP_D | HI_ML_I | HI_AP_I |
|---|---|---|---|---|---|---|---|---|
| 2 | 0.32 ± 0.11 | −0.57 ± 0.04 | 0.42 ± 0.08 | −0.48 ± 0.03 | 0.55 ± 0.05 | −0.52 ± 0.03 | 0.64 ± 0.06 | −0.49 ± 0.04 |
| 4 | 0.30 ± 0.08 | −0.61 ± 0.38 | 0.33 ± 0.07 | −0.52 ± 0.03 | 0.62 ± 0.06 | −0.54 ± 0.04 | 0.68 ± 0.09 | −0.51 ± 0.05 |
| 5 1 | 0.00 ± 0.00 | 0.00 ± 0.00 | 0.36 ± 0.07 | −0.50 ± 0.02 | 0.00 ± 0.00 | 0.00 ± 0.00 | 0.70 ± 0.10 | −0.51 ± 0.03 |
| 5 | 0.26 ± 0.06 | −0.41 ± 0.03 | 0.33 ± 0.06 | −0.48 ± 0.27 | 0.65 ± 0.08 | −0.40 ± 0.19 | 0.76 ± 0.09 | −0.56 ± 0.04 |
| 15 1 | 0.32 ± 0.05 | −0.51 ± 0.03 | 0.00 ± 0.00 | 0.00 ± 0.00 | 0.69 ± 0.06 | −0.47 ± 0.03 | 0.00 ± 0.00 | 0.00 ± 0.00 |
| 15 | 0.32 ± 0.05 | −0.51 ± 0.01 | 0.36 ± 0.07 | −0.57 ± 0.01 | 0.58 ± 0.12 | −0.47 ± 0.02 | 0.67 ± 0.11 | −0.60 ± 0.30 |
| ID | V_ML_D | V_AP_D | V_ML_I | V_AP_I |
|---|---|---|---|---|
| 2 | 0.47 ± 0.02 | −0.50 ± 0.05 | 0.54 ± 0.02 | −0.45 ± 0.05 |
| 4 | 0.49 ± 0.2 | −0.49 ± 0.03 | 0.53 ± 0.02 | −0.45 ± 0.03 |
| 5 1 | 0.00 ± 0.00 | 0.00 ± 0.00 | 0.49 ± 0.07 | −0.48 ± 0.04 |
| 5 | 0.39 ± 0.10 | −0.39 ± 0.03 | 0.47 ± 0.11 | −0.48 ± 0.04 |
| 15 1 | 0.45 ± 0.01 | −0.45 ± 0.06 | 0.00 ± 0.00 | 0.00 ± 0.00 |
| 15 | 0.44 ± 0.04 | −0.45 ± 0.04 | 0.51 ± 0.04 | −0.53 ± 0.05 |
| Item | Description | Value |
|---|---|---|
| ESP32-CAM Camera (Ai-Thinker, CN) | Viewing Angle | 66° |
| VL53L0X Laser Sensor | Operating Range | 0–1200 mm |
| PowerPack (Power supply) | Battery Amperage | 3800 mAh |
| DRAM Device | Power Consumption | 1055 mW |
| DRAM Device | Operating Voltage | 5 V |
| DRAM Device | Approximate Operating Time | 18 h 1 |
| User | Variable | Mean ± STD | CV (%) |
|---|---|---|---|
| 16 | ratio_right | 0.4223 ± 0.0267 | 6.37 |
| 16 | ratio_V_right | −0.5960 ± 0.0340 | 5.78 |
| 16 | ratio_left | 0.5186 ± 0.0235 | 4.54 |
| 16 | ratio_V_left | −0.5741 ± 0.0280 | 4.95 |
| 17 | ratio_right | 0.4615 ± 0.0211 | 4.57 |
| 17 | ratio_V_right | −0.5718 ± 0.0419 | 7.66 |
| 17 | ratio_left | 0.5200 ± 0.0203 | 3.92 |
| 17 | ratio_V_left | −0.5420 ± 0.0394 | 7.55 |
| 18 | ratio_right | 0.4639 ± 0.0201 | 4.33 |
| 18 | ratio_V_right | −0.5027 ± 0.0366 | 7.39 |
| 18 | ratio_left | 0.4745 ± 0.0245 | 5.17 |
| 18 | ratio_V_left | −0.4910 ± 0.0369 | 7.59 |
| 19 | ratio_right | 0.4696 ± 0.0148 | 3.16 |
| 19 | ratio_V_right | −0.5349 ± 0.0244 | 4.58 |
| 19 | ratio_left | 0.5270 ± 0.0157 | 3.00 |
| 19 | ratio_V_left | −0.5451 ± 0.0228 | 4.18 1 |
| User | Variable | Mean ± STD | CV (%) |
|---|---|---|---|
| 16 | ratio_right | 0.4154 ± 0.0510 | 16.88 |
| 16 | ratio_V_right | −0.5934 ± 0.0288 | 4.85 |
| 16 | ratio_left | 0.5336 ± 0.0465 | 9.64 |
| 16 | ratio_V_left | −0.5884 ± 0.0278 | 4.78 |
| 17 | ratio_right | 0.4570 ± 0.0396 | 8.85 |
| 17 | ratio_V_right | −0.5681 ± 0.0405 | 7.14 |
| 17 | ratio_left | 0.5027 ± 0.0452 | 9.36 |
| 17 | ratio_V_left | −0.5482 ± 0.0344 | 6.30 |
| 18 | ratio_right | 0.4750 ± 0.0469 | 9.94 |
| 18 | ratio_V_right | −0.4477 ± 0.0409 | 9.12 |
| 18 | ratio_left | 0.4429 ± 0.0579 | 16.46 |
| 18 | ratio_V_left | −0.4476 ± 0.0466 | 10.42 |
| 19 | ratio_right | 0.4419 ± 0.0314 | 7.21 |
| 19 | ratio_V_right | −0.5390 ± 0.0209 | 3.91 |
| 19 | ratio_left | 0.5150 ± 0.0281 | 5.79 |
| 19 | ratio_V_left | −0.5385 ± 0.0203 | 3.77 1 |
| Variable | F(User) | p(User) | F(Mov) | p(Mov) | F(User-Mov) | p(User-Mov) |
|---|---|---|---|---|---|---|
| ratio_right | 0.27 | 0.844 | 0.03 | 0.871 | 0.04 | 0.991 |
| ratio_V_right | 3.07 | 0.058 | 0.24 | 0.634 | 0.22 | 0.884 |
| ratio_left | 0.43 | 0.732 | 0.06 | 0.810 | 0.04 | 0.988 |
| ratio_V_left | 2.77 | 0.075 | 0.07 | 0.796 | 0.21 | 0.891 1 |
| Id | Age | Sex | Visual Condition | Score |
|---|---|---|---|---|
| 1 | 24 | Male | No pathology | 69 1 |
| 2 | 24 | Male | No pathology | 75 |
| 3 | 22 | Male | Myopia | 75 |
| 4 | 22 | Male | No pathology | 65 |
| 5 | 22 | Male | Left Eye Amblyopia | 72.5 |
| 6 | 21 | Female | No pathology | 72.5 |
| 7 | 27 | Male | Astigmatism, Myopia | 77.5 |
| 8 | 22 | Male | Right Eye Amblyopia | 90 |
| 9 | 18 | Female | No pathology | 87.5 |
| 10 | 22 | Male | No pathology | 70 |
| 11 | 19 | Male | No pathology | 90 |
| 12 | 25 | Female | No pathology | 82.5 |
| 13 | 21 | Female | No pathology | 72.5 |
| 14 | 19 | Male | No pathology | 57.5 |
| 15 | 24 | Male | Right Eye Amblyopia | 77.5 |
Disclaimer/Publisher’s Note: The statements, opinions and data contained in all publications are solely those of the individual author(s) and contributor(s) and not of MDPI and/or the editor(s). MDPI and/or the editor(s) disclaim responsibility for any injury to people or property resulting from any ideas, methods, instructions or products referred to in the content. |
© 2025 by the authors. Licensee MDPI, Basel, Switzerland. This article is an open access article distributed under the terms and conditions of the Creative Commons Attribution (CC BY) license (https://creativecommons.org/licenses/by/4.0/).
Share and Cite
Castro-Rizo, J.C.; Moreno-Garzón, J.P.; Narváez Delgado, C.A.; Valencia-Jimenéz, N.; Castillo García, J.F.; Ocampo-Gonzalez, A.A. An Eye Movement Monitoring Tool: Towards a Non-Invasive Device for Amblyopia Treatment. Sensors 2025, 25, 4823. https://doi.org/10.3390/s25154823
Castro-Rizo JC, Moreno-Garzón JP, Narváez Delgado CA, Valencia-Jimenéz N, Castillo García JF, Ocampo-Gonzalez AA. An Eye Movement Monitoring Tool: Towards a Non-Invasive Device for Amblyopia Treatment. Sensors. 2025; 25(15):4823. https://doi.org/10.3390/s25154823
Chicago/Turabian StyleCastro-Rizo, Juan Camilo, Juan Pablo Moreno-Garzón, Carlos Arturo Narváez Delgado, Nicolas Valencia-Jimenéz, Javier Ferney Castillo García, and Alvaro Alexander Ocampo-Gonzalez. 2025. "An Eye Movement Monitoring Tool: Towards a Non-Invasive Device for Amblyopia Treatment" Sensors 25, no. 15: 4823. https://doi.org/10.3390/s25154823
APA StyleCastro-Rizo, J. C., Moreno-Garzón, J. P., Narváez Delgado, C. A., Valencia-Jimenéz, N., Castillo García, J. F., & Ocampo-Gonzalez, A. A. (2025). An Eye Movement Monitoring Tool: Towards a Non-Invasive Device for Amblyopia Treatment. Sensors, 25(15), 4823. https://doi.org/10.3390/s25154823

