Wearable Devices and Digital Biomarkers for Optimizing Training Tolerances and Athlete Performance: A Case Study of a National Collegiate Athletic Association Division III Soccer Team over a One-Year Period
Abstract
1. Introduction
2. Materials and Methods
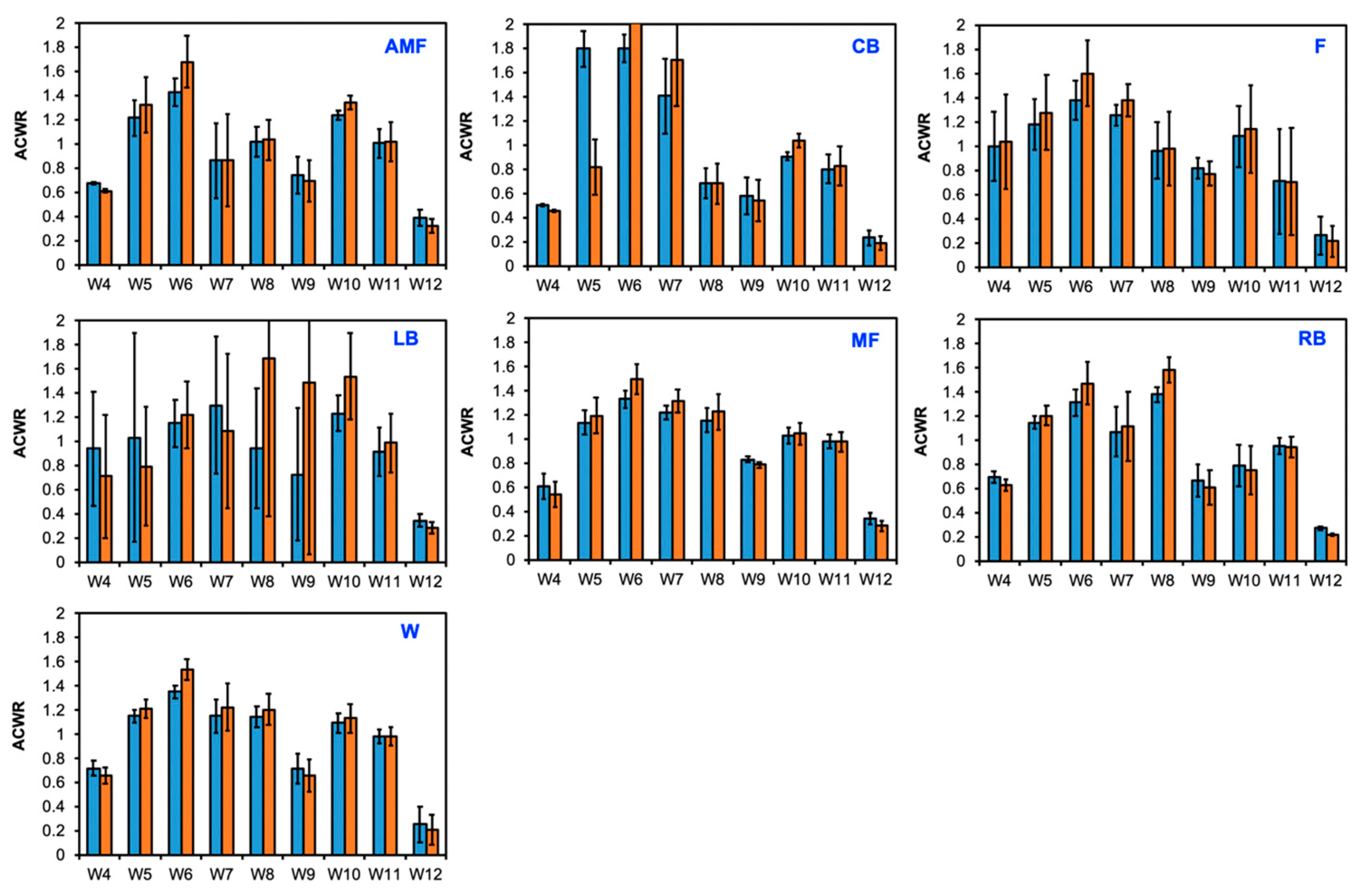
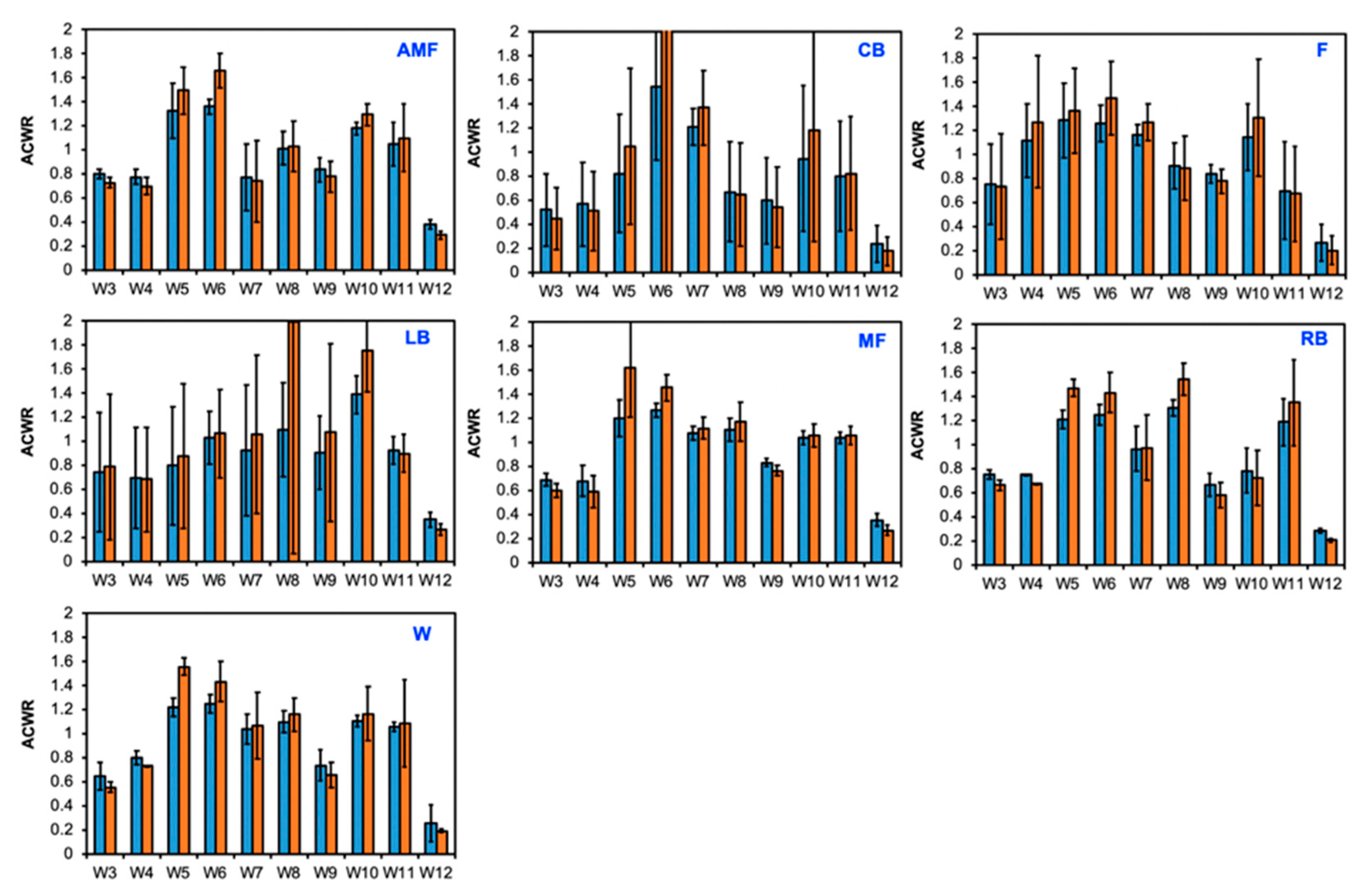
3. Results and Discussion
4. Conclusions
5. Future Work
Author Contributions
Funding
Institutional Review Board Statement
Informed Consent Statement
Data Availability Statement
Acknowledgments
Conflicts of Interest
References
- Forsythe, B.; Knapik, D.M.; Crawford, M.D.; Diaz, C.C.; Hardin, D.; Gallucci, J.; Silvers-Granelli, H.J.; Mandelbaum, B.R.; Lemak, L.; Putukian, M.; et al. Incidence of Injury for Professional Soccer Players in the United States: A 6-Year Prospective Study of Major League Soccer. Orthop. J. Sports Med. 2022, 10, 23259671211055136. [Google Scholar] [CrossRef] [PubMed]
- Roos, K.G.; Wasserman, E.B.; Dalton, S.L.; Gray, A.; Djoko, A.; Dompier, T.P.; Kerr, Z.Y. Epidemiology of 3825 injuries sustained in six seasons of National Collegiate Athletic Association men’s and women’s soccer (2009/2010–2014/2015). Br. J. Sports Med. 2017, 51, 1029–1034. [Google Scholar] [CrossRef] [PubMed]
- Yang, J.; Tibbetts, A.S.; Covassin, T.; Cheng, G.; Nayar, S.; Heiden, E. Epidemiology of Overuse and Acute Injuries Among Competitive Collegiate Athletes. J. Athl. Train. 2012, 47, 198–204. [Google Scholar] [CrossRef] [PubMed]
- Magnusson, S.P.; Hansen, M.; Langberg, H.; Miller, B.; Haraldsson, B.; Kjoeller Westh, E.; Koskinen, S.; Aagaard, P.; Kjær, M. The adaptability of tendon to loading differs in men and women. Int. J. Exp. Pathol. 2007, 88, 237–240. [Google Scholar] [CrossRef] [PubMed]
- Wang, K.; Zhao, L. The Influence of Different Modes of Exercise on Healthy and Injured Tendons. Stem Cells Int. 2022, 2022, 3945210. [Google Scholar] [CrossRef] [PubMed]
- Finances. Available online: https://www.ncaa.org/sports/2021/5/4/finances.aspx (accessed on 2 February 2023).
- Powell, J.W.; Dompier, T.P. Analysis of Injury Rates and Treatment Patterns for Time-Loss and Non–Time-Loss Injuries Among Collegiate Student-Athletes. J. Athl. Train. 2004, 39, 56–70. [Google Scholar] [PubMed]
- Gallucci, A.R.; Petersen, J.C. The Size and Scope of Collegiate Athletic Training Facilities and Staffing. J. Athl. Train. 2017, 52, 785–794. [Google Scholar] [CrossRef]
- Zarro, M.; Silverson, O.; Soenksen, W.; Thein-Nissenbaum, J.; Cataldo Cirone, E.; Rowland, R.; Staker, J. Roles and Responsibilities of The Physical Therapist in Collegiate Athletics: Results Of A National Survey. Int. J. Sports Phys. Ther. 2022, 17, 1128–1135. [Google Scholar] [CrossRef]
- Bratsman, A.; Wassef, A.; Wassef, C.R.; Jayaram, P.; Mosely, J.B.; Shybut, T.B. Epidemiology of NCAA Bone Stress Injuries: A Comparison of Athletes in Divisions I, II, and III. 2021. Available online: https://journals.sagepub.com/doi/full/10.1177/23259671211014496 (accessed on 19 July 2022).
- Brown, S.M.; Brown, K.M. Should Your Wearables Be Shareable? The Ethics of Wearable Technology in Collegiate Athletics. Marq. Sports L. Rev. 2021, 32, 97. [Google Scholar]
- Gabbett, T.J.; Hulin, B.; Blanch, P.; Chapman, P.; Bailey, D. To Couple or not to Couple? For Acute: Chronic Workload Ratios and Injury Risk, does it Really Matter? Int. J. Sports Med. 2019, 40, 597–600. [Google Scholar] [CrossRef]
- Adesida, Y.; Papi, E.; McGregor, A.H. Exploring the Role of Wearable Technology in Sport Kinematics and Kinetics: A Systematic Review. Sensors 2019, 19, 1597. [Google Scholar] [CrossRef] [PubMed]
- Kim, J.; Kim, H.; Lee, J.; Lee, J.; Yoon, J.; Ko, S.-K. A Deep Learning Approach for Fatigue Prediction in Sports Using GPS Data and Rate of Perceived Exertion. IEEE Access 2022, 10, 103056–103064. [Google Scholar] [CrossRef]
- Kilby, E.; Wright, D.; Gdovin, J.; Williams, C.C. Examining sprint demands during the competitive season in collegiate mens soccer players. Int. J. Exerc. Sci. Conf. Proc. 2023, 16, 113. [Google Scholar]
- NZ Journal of Sports Medicine 2022; Vol 49-1|Sports Medicine. Available online: https://sportsmedicine.co.nz/journal/nz-journal-of-sports-medicine-2022-vol-49-1/ (accessed on 15 September 2023).
- Towner, R.; Larson, A.; Gao, Y.; Ransdell, L.B. Longitudinal monitoring of workloads in women’s division I (DI) collegiate basketball across four training periods. Front. Sports Act. Living 2023, 5, 1108965. [Google Scholar] [CrossRef] [PubMed]
- Li, R.T.; Salata, M.J.; Rambhia, S.; Sheehan, J.; Voos, J.E. Does Overexertion Correlate with Increased Injury? The Relationship Between Player Workload and Soft Tissue Injury in Professional American Football Players Using Wearable Technology. Sports Health 2019, 12, 66–73. [Google Scholar] [CrossRef]
- Athlete Workloads During Collegiate Women’s Soccer Practice: Implications for Return to Play Journal of Athletic Training. Available online: https://meridian.allenpress.com/jat/article/56/3/321/446972/Athlete-Workloads-During-Collegiate-Women-s-Soccer (accessed on 2 February 2023).
- Askow, A.T.; Lobato, A.L.; Arndts, D.J.; Jennings, W.; Kreutzer, A.; Erickson, J.L.; Esposito, P.E.; Oliver, J.M.; Foster, C.; Jagim, A.R. Session Rating of Perceived Exertion (sRPE) Load and Training Impulse Are Strongly Correlated to GPS-Derived Measures of External Load in NCAA Division I Women’s Soccer Athletes. J. Funct. Morphol. Kinesiol. 2021, 6, 90. [Google Scholar] [CrossRef] [PubMed]
- Sanders, G.J.; Roll, B.; Peacock, C.A.; Kollock, R.O. Maximum Movement Workloads and High-Intensity Workload Demands by Position in NCAA Division I Collegiate Football. J. Strength Cond. Res. 2020, 34, 1974. [Google Scholar] [CrossRef]
- Kilian, J.; Snyman, K.; Miyashita, T. Comparison of In-game External Load Metrics Among Positions and Between Halves for Division I Collegiate Women’s Lacrosse Athletes. Int. J. Strength Cond. 2022, 2, 1. [Google Scholar] [CrossRef]
- Prudholme, D.C.; Coburn, J.W.; Lynn, S.K.; Lockie, R.G. Relationships between Sprint, Acceleration, and Deceleration Metrics with Training Load in Division I Collegiate Women’s Soccer Players. J. Hum. Kinet. 2022, 85, 53–62. [Google Scholar] [CrossRef]
- Nobari, H.; Chen, Y.-S.; Kargarfard, M.; Clemente, F.M.; Carlos-Vivas, J.; Pérez-Gómez, J. Comparisons of accelerometer variables acute, chronic and acute/chronic workload ratio between starters and non-starters: A full-season study in professional soccer players. Sci. Sports 2022, 37, 149.e1–149.e2. [Google Scholar] [CrossRef]
- What Role Do Chronic Workloads Play in the Acute to Chronic Workload Ratio? Time to Dismiss ACWR and Its Underlying Theory|SpringerLink. Available online: https://link.springer.com/article/10.1007/s40279-020-01378-6 (accessed on 2 February 2023).
- Bertschy, M.; Howard, J.T.; Oyama, S.; Cheever, K. Reduced Injury Prevalence in Soccer Athletes Following GPS Guided Acclimatization. Int. J. Exerc. Sci. 2021, 14, 1070. [Google Scholar] [PubMed]
- Jagim, A.R.; Askow, A.T.; Carvalho, V.; Murphy, J.; Luedke, J.A.; Erickson, J.L. Seasonal Accumulated Workloads in Collegiate Women’s Soccer: A Comparison of Starters and Reserves. J. Funct. Morphol. Kinesiol. 2022, 7, 11. [Google Scholar] [CrossRef] [PubMed]
- Zimmerman, T. Individual Variation in Physiological Training Load during a Division III Soccer Season. Available online: https://digitalcommons.csbsju.edu/ur_cscday/13/ (accessed on 2 February 2023).
- Hanson, A.; Peachey, J.W. Athletic Fundraising: An In-depth Analysis of the Challenges Faced and Strategies Utilized in the NCAA Division II Athletic Landscape. J. Intercoll. Sport. 2022, 15, 101–124. [Google Scholar] [CrossRef]
- Neeld, K.; Peterson, B.; Dietz, C.; Cappaert, T.; Alvar, B. Differences in External Workload Demand between Session Types and Positions in Collegiate Men’s Ice Hockey. Int. J. Kinesiol. Sports Sci. 2021, 9, 36–44. [Google Scholar] [CrossRef]
- Rentz, L.; Hornsby, G.; Gawel, W.; Rawls, B.; Ramadan, J.; Galster, S. Contextual Variation in External and Internal Workloads across the Competitive Season of a Collegiate Women’s Soccer Team. Sports 2021, 9, 165. [Google Scholar] [CrossRef] [PubMed]
- Di Salvo, V.; Baron, R.; Tschan, H.; Calderon Montero, F.; Bachl, N.; Pigozzi, F. Performance Characteristics According to Playing Position in Elite Soccer. Int. J. Sports Med. 2007, 28, 222–227. [Google Scholar] [CrossRef]













| Company | Device Name | Product Functionality | Sports | Unit Cost | Total Cost * |
|---|---|---|---|---|---|
| Catapult | Catapult Vector S7 | Live tracking, heart rate, distance, inertial movements, sport specific analysis | Soccer, football, basketball, lacrosse | $1500 | $37,500 |
| PlayerTEK | Live tracking, heart rate, distance, work ratio, acceleration/deceleration count | $219 | $5475 | ||
| Catapult ONE | Distance, work-recovery ratio, impacts, metabolic power | $155 | $3875 | ||
| Fieldwiz | GPS FieldWiz V2 18Hz Fc | Distance, heart rate, acceleration and deceleration | Soccer, rugby | ~$483.20 | ~$12,079.40 |
| GPS FieldWiz V2 18Hz | Distance, acceleration and deceleration | ~340.70 | ~$8517.80 | ||
| Gpexe | Gpexe pro2 | Live tracking, distance, inertial movements | Soccer, rugby | $1260 | $31,500 |
| Gpexe lt | Distance (position and velocity) | $630.75 | $15,678.75 | ||
| Inmotio | Inmotio GPS | Distance, velocity, acceleration and deceleration | Soccer, Football | N/A | |
| McLloyd | STv4 GPS Offline Data | Distance, velocity, acceleration, impact, biomechanics | Soccer, football | $40/month | $1000 |
| STv4 GPS + HR Offline Data | Distance, heart rate, velocity, acceleration, impact, biomechanics, | $50/month | $1250 | ||
| STv4 GPS Live Data | Live tracking, distance, velocity, acceleration, impact, biomechanics | $60/month | $1500 | ||
| STv4 GPS + HR Live Data | Live tracking, heart rate, distance, velocity, acceleration, impact, biomechanics | $70/month | $1750 | ||
| Polar | Polar Team Pro | Distance, heart rate, top velocity, number of sprints, speed zones | Soccer, football | N/A | N/A |
| Soccerbee | BEE | Distance, top velocity, number of sprints, game replay | Soccer | $168.99 | $4224.75 |
| BEE Lite | Distance, top velocity, number of sprints | $128.99 | $3224.75 | ||
| SPT | SPT2 Pack | Heart Rate, distance, work rate, intensity | Soccer, football, lacrosse, rugby | $260 | $6500 |
| Stat Sport | Apex Athlete Series | Distance, maximum velocity, intensity and strain levels | Soccer, football, rugby | $299.99 | $74,999.75 |
| Apex Team Series | Live tracking, distance, maximum speeds, intensity and strain levels, target thresholds | N/A | |||
| Titan Sport | Titan 1+ | Distance | Soccer, football | $150 | $3750 |
| Titan 2 | Live tracking of distance and inertial movements | $250 | $6250 | ||
| Titan 2+ | Live tracking of distance and inertial movements, 25 Hz sampling rate | $650 | $16,250 | ||
| Vx Sports | Vx Log | Live tracking, distance, work-recovery ratio, body force detection | Soccer, basketball | $349 | $8725 |
| WIMU | WIMU Pro Elite Tracking System | Distance, high metabolic load distance, maximum velocity, number of sprints, accelerations and deceleration, number of impacts | Soccer, rugby | N/A | N/A |
| Zebra | MotionWorks | Uses RFID; distance, velocity, orientation, acceleration | Football | N/A | N/A |
Disclaimer/Publisher’s Note: The statements, opinions and data contained in all publications are solely those of the individual author(s) and contributor(s) and not of MDPI and/or the editor(s). MDPI and/or the editor(s) disclaim responsibility for any injury to people or property resulting from any ideas, methods, instructions or products referred to in the content. |
© 2024 by the authors. Licensee MDPI, Basel, Switzerland. This article is an open access article distributed under the terms and conditions of the Creative Commons Attribution (CC BY) license (https://creativecommons.org/licenses/by/4.0/).
Share and Cite
Seshadri, D.R.; VanBibber, H.D.; Sethi, M.P.; Harlow, E.R.; Voos, J.E. Wearable Devices and Digital Biomarkers for Optimizing Training Tolerances and Athlete Performance: A Case Study of a National Collegiate Athletic Association Division III Soccer Team over a One-Year Period. Sensors 2024, 24, 1463. https://doi.org/10.3390/s24051463
Seshadri DR, VanBibber HD, Sethi MP, Harlow ER, Voos JE. Wearable Devices and Digital Biomarkers for Optimizing Training Tolerances and Athlete Performance: A Case Study of a National Collegiate Athletic Association Division III Soccer Team over a One-Year Period. Sensors. 2024; 24(5):1463. https://doi.org/10.3390/s24051463
Chicago/Turabian StyleSeshadri, Dhruv R., Helina D. VanBibber, Maia P. Sethi, Ethan R. Harlow, and James E. Voos. 2024. "Wearable Devices and Digital Biomarkers for Optimizing Training Tolerances and Athlete Performance: A Case Study of a National Collegiate Athletic Association Division III Soccer Team over a One-Year Period" Sensors 24, no. 5: 1463. https://doi.org/10.3390/s24051463
APA StyleSeshadri, D. R., VanBibber, H. D., Sethi, M. P., Harlow, E. R., & Voos, J. E. (2024). Wearable Devices and Digital Biomarkers for Optimizing Training Tolerances and Athlete Performance: A Case Study of a National Collegiate Athletic Association Division III Soccer Team over a One-Year Period. Sensors, 24(5), 1463. https://doi.org/10.3390/s24051463

