Task Assignment and Path Planning Mechanism Based on Grade-Matching Degree and Task Similarity in Participatory Crowdsensing
Abstract
1. Introduction
- We propose the MTAPP, which defines the ratio of each user’s profit to the time needed for completing the task as the utility of the user in terms of task allocation and path planning. The goal of optimization is to maximize the utility of all users in task assignment.
- We propose a grade-matching degree pricing mechanism in the GSBM, where the degree of matching determines a portion of the expected reward.
- We establish a mathematical model based on similarity in the GSBM, delving into research on the impact of task similarity on user task completion.
- We adopt an improved ant colony algorithm (IACO) to maximize the utility of all users, in terms of task assignment; it efficiently assigns suitable tasks to the corresponding mobile users and plans optimal paths.
- We evaluate the performance of GSBM through extensive experiments. The experimental results demonstrate the promising efficiency of the proposed approaches in maximizing the assignment rationality.
2. Related Work
3. System Model and Problem Statement
4. Grade-Matching Degree and Similarity-Based Mechanism
- (1)
- Preprocessing phase: In this phase, the mobile crowdsensing platform divides the arriving tasks and users by region. At this stage, the mobile crowdsensing platform provides tasks to users according to region. Subsequently, the data are preprocessed, introducing the concepts of similarity and grade-matching degree. The grade-matching degree pricing mechanism is then introduced, where the matching degree determines a portion of the expected reward. Users can only obtain the full amount of the expected rewards by completing tasks corresponding to their grade. A mathematical model based on similarity is constructed to delve into the impact of task similarity on user task completion, thereby incentivizing users to engage more in those tasks matching their abilities.
- (2)
- Determining tasks phase: In this phase, to address the MTAPP problem, an improved ant colony optimization (IACO) algorithm is employed to maximize the overall utility of users during task execution.
4.1. Grade-Matching Degree Pricing
4.2. Task Similarity Model
4.3. IACO Algorithm
| Algorithm 1. IACO algorithm |
| Set parameters: (number of all ants), (number of iteration), , , , Input: , Output: best tasks path list Initialize heuristic information and pheromone matrices. 1. for do 2. for do 3. for do 4. Calculate the utility between users and tasks; 5. Calculate selection probability; 6. if 7. Select next task with the greatest utility 8. else 9. Select next task by roulette; 10. end if 11. Add the selected task into taboo list; 12. Leave the pheromone 13. end for 14. end for 15. end for 16. return taboo list |
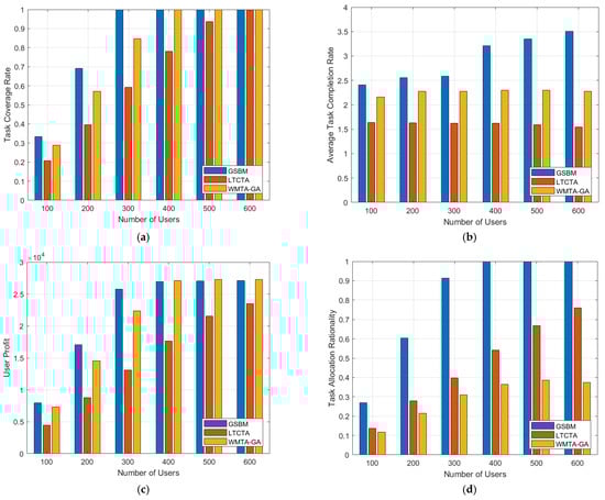
5. Evaluation
5.1. Experimental Settings
5.2. Performance Metric
- (1)
- Task coverage rate: This metric measures the ratio of completed tasks to the total number of tasks, whereby a higher coverage rate indicates the algorithm’s comprehensiveness and efficiency in terms of task assignment.
- (2)
- Average task completion rate: Calculated as the number of tasks completed within a unit of time, this metric reflects the efficiency and timeliness of task execution.
- (3)
- User profits: This metric assesses the impact of task assignment on user profits, ensuring that the algorithm considers the economic interests of users while optimizing task allocation.
- (4)
- Rationality of task assignment: This metric evaluates whether the system can reasonably assign tasks to suitable users, considering the ratio of tasks completed by users with comparable abilities to the total tasks completed by all users. A higher ratio indicates better performance of the mechanism.
5.3. Baseline Approaches
5.4. Result Analysis
5.4.1. Algorithm Performance Analysis
5.4.2. Individual Rational Analysis
6. Conclusions
Author Contributions
Funding
Institutional Review Board Statement
Informed Consent Statement
Data Availability Statement
Conflicts of Interest
References
- Ipaye, A.A.; Chen, Z.; Asim, M.; Chelloug, S.A.; Guo, L.; Ibrahim, A.M.A.; Abd El-Latif, A.A. Location and Time Aware Multitask Allocation in Mobile Crowd-Sensing Based on Genetic Algorithm. Sensors 2022, 22, 3013. [Google Scholar] [CrossRef] [PubMed]
- Suhag, D.; Jha, V. A comprehensive survey on mobile crowdsensing systems. J. Syst. Archit. 2023, 142, 102952. [Google Scholar] [CrossRef]
- Yucel, F.; Bulut, E. Online stable task assignment in opportunistic mobile crowdsensing with uncertain trajectories. IEEE Internet Things J. 2021, 9, 9086–9101. [Google Scholar] [CrossRef]
- Bedogni, L.; Montori, F. Joint privacy and data quality aware reward in opportunistic Mobile Crowdsensing systems. J. Netw. Comput. Appl. 2023, 215, 103634. [Google Scholar] [CrossRef]
- Bhattacharjee, S.; Das, S.K. Information Integrity in Participatory Crowd-Sensing via Robust Trust Models. In Mobile Crowdsourcing: From Theory to Practice; Springer International Publishing: Cham, Switzerland, 2023; pp. 251–273. [Google Scholar]
- Krishna, M.B.; Lorenz, P. Collaborative participatory crowd sensing using reputation and reliability with expectation maximization for IoT networks. In Proceedings of the ICC 2021-IEEE International Conference on Communications, Montreal, QC, Canada, 14–23 June 2021; IEEE: Piscataway, NJ, USA, 2021; pp. 1–6. [Google Scholar]
- Bhattacharjee, S.; Das, S.K. Unifying Threats Against Information Integrity in Participatory Crowd Sensing. IEEE Pervasive Comput. 2023, 22, 66–75. [Google Scholar] [CrossRef]
- Han, L.; Yu, Z.; Yu, Z.; Wang, L.; Yin, H.; Guo, B. Online organizing large-scale heterogeneous tasks and multi-skilled participants in mobile crowdsensing. IEEE Trans. Mob. Comput. 2021, 22, 2892–2909. [Google Scholar] [CrossRef]
- Ray, A.; Chowdhury, C.; Bhattacharya, S.; Roy, S. A survey of mobile crowdsensing and crowdsourcing strategies for smart mobile device users. CCF Trans. Pervasive Comput. Interact. 2023, 5, 98–123. [Google Scholar] [CrossRef]
- Kong, X.; Cao, J.; Wu, H.; Hsu, C.H.R. Mobile crowdsourcing and pervasive computing for smart cities. Pervasive Mob. Comput. 2020, 61, 10111. [Google Scholar] [CrossRef]
- Singla, S.; Bansal, D.; Misra, A.; Raheja, G. Towards an integrated framework for air quality monitoring and exposure estimation—A review. Environ. Monit. Assess. 2018, 190, 562. [Google Scholar] [CrossRef]
- Li, Z.; Zhang, J.; Gao, X.; Chen, G. Maximum Profit Routing for Mobile Crowdsensing. In Proceedings of the 2022 21st ACM/IEEE International Conference on Information Processing in Sensor Networks (IPSN), Milano, Italy, 4–6 May 2022; IEEE: Piscataway, NJ, USA, 2022; pp. 441–450. [Google Scholar]
- Cheung, M.H.; Southwell, R.; Hou, F.; Huang, J. Distributed time-sensitive task selection in mobile crowdsensing. IEEE Trans. Mob. Comput. 2020, 20, 2172–2185. [Google Scholar] [CrossRef]
- Lou, K.; Yang, Y.; Yang, F.; Zhang, X. Maximum-Profit Advertising Profit Advertising Strategy Using Crowdsensing Trajectory Data. ZTE Commun. 2021, 19, 15. [Google Scholar]
- Ding, Y.; Zhang, L.; Guo, L. Dynamic Delayed-Decision Task Assignment Under Spatial-Temporal Constraints in Mobile Crowdsensing. IEEE Trans. Netw. Sci. Eng. 2022, 9, 2418–2431. [Google Scholar] [CrossRef]
- Chow, T.E. A crowdsourcing–geocomputational framework of mobile crowd simulation and estimation. Cartogr. Geogr. Inf. Sci. 2019, 46, 2–20. [Google Scholar] [CrossRef]
- Lu, A.; Zhu, J. Worker recruitment with cost and time constraints in mobile crowd sensing. Future Gener. Comput. Syst. 2020, 112, 819–831. [Google Scholar] [CrossRef]
- Li, L.; Shi, D.; Zhang, X.; Hou, R.; Yue, H.; Li, H.; Pan, M. Privacy preserving participant recruitment for coverage maximization in location aware mobile crowdsensing. IEEE Trans. Mob. Comput. 2021, 21, 3250–3262. [Google Scholar] [CrossRef]
- Song, S.; Liu, Z.; Li, Z.; Xing, T.; Fang, D. Coverage-oriented task assignment for mobile crowdsensing. IEEE Internet Things J. 2020, 7, 7407–7418. [Google Scholar] [CrossRef]
- Liu, Y.; Chen, N.; Zhang, X.; Liu, X.; Yi, Y.; Zhao, N. Research on multi-task assignment model based on task similarity in crowdsensing. In Proceedings of the 2021 IEEE/CIC International Conference on Communications in China (ICCC), Xiamen, China, 28–30 July 2021; IEEE: Piscataway, NJ, USA, 2021; pp. 523–528. [Google Scholar]
- Li, Q.; Cao, H.; Wang, S.; Zhao, X. A reputation-based multi-user task selection incentive mechanism for crowdsensing. IEEE Access 2020, 8, 74887–74900. [Google Scholar] [CrossRef]
- Lin, S.; Zhang, J.; Ying, L. Crowdsensing for spectrum discovery: A waze-inspired design via smartphone sensing. IEEE/ACM Trans. Netw. 2020, 28, 750–763. [Google Scholar] [CrossRef]
- Huang, Y.; Chen, H.; Ma, G.; Lin, K.; Ni, Z.; Yan, N.; Wang, Z. OPAT: Optimized allocation of time-dependent tasks for mobile crowdsensing. IEEE Trans. Ind. Inform. 2021, 18, 2476–2485. [Google Scholar] [CrossRef]
- Sleem, R.; Mekky, N.; El-Sappagh, S.; Alarabi, L.; Hikal, N.A.; Elmogy, M. Enhancing Task Assignment in Crowdsensing Systems Based on Sensing Intervals and Location. CMC-Comput. Mater. Contin. 2022, 71, 5619–5638. [Google Scholar] [CrossRef]
- Xia, Y.; Zhao, B.; Tang, S.; Wu, H.T. Repot: Real-time and privacy-preserving online task assignment for mobile crowdsensing. Trans. Emerg. Telecommun. Technol. 2021, 32, e4035. [Google Scholar] [CrossRef]
- Miao, X.; Kang, Y.; Ma, Q.; Liu, K.; Chen, L. Quality-aware online task assignment in mobile crowdsourcing. ACM Trans. Sens. Netw. TOSN 2020, 16, 1–21. [Google Scholar] [CrossRef]
- Lai, C.; Zhang, X. Duration-sensitive task allocation for mobile crowd sensing. IEEE Syst. J. 2020, 14, 4430–4441. [Google Scholar] [CrossRef]
- Yin, H.; Yu, Z.; Wang, L.; Wang, J.; Han, L.; Guo, B. ISIATasker: Task Allocation for Instant-SensingߝInstant-Actuation Mobile Crowdsensing. IEEE Internet Things J. 2021, 9, 3158–3173. [Google Scholar] [CrossRef]
- Wei, W.; Chen, H.; Liu, X.; Ma, G.; Liu, Y.; Liu, X. Towards time-constrained task allocation in semi-opportunistic mobile crowdsensing. Ad Hoc Netw. 2023, 150, 103282. [Google Scholar] [CrossRef]
- Peng, S.; Zhang, B.; Yan, Y.; Li, C. Time window-based online task assignment for mobile crowdsensing. In Proceedings of the ICC 2021-IEEE International Conference on Communications, Montreal, QC, Canada, 14–23 June 2021; IEEE: Piscataway, NJ, USA, 2021; pp. 1–6. [Google Scholar]
- Zhen, Y.; Wang, Y.; He, P.; Cui, Y.; Wang, R.; Wu, D. Location-Dependent Task Bundling for Mobile Crowdsensing. In Proceedings of the 2022 IEEE 96th Vehicular Technology Conference (VTC2022-Fall), London, UK, 26–29 September 2022; IEEE: Piscataway, NJ, USA, 2022; pp. 1–5. [Google Scholar]
- Zhao, B.; Tang, S.; Liu, X.; Zhang, X. PACE: Privacy-preserving and quality-aware incentive mechanism for mobile crowdsensing. IEEE Trans. Mob. Comput. 2020, 20, 1924–1939. [Google Scholar] [CrossRef]
- Luo, Z.; Xu, J.; Zhao, P.; Yang, D.; Xu, L.; Luo, J. Towards high quality mobile crowdsensing: Incentive mechanism design based on fine-grained ability reputation. Comput. Commun. 2021, 180, 197–209. [Google Scholar] [CrossRef]
- Wu, F.; Yang, S.; Zheng, Z.; Tang, S.; Chen, G. Fine-grained user profiling for personalized task matching in mobile crowdsensing. IEEE Trans. Mob. Comput. 2020, 20, 2961–2976. [Google Scholar] [CrossRef]
- Hu, C.L.; Lin, K.Y.; Chang, C.K. Incentive mechanism for mobile crowdsensing with two-stage stackelberg game. IEEE Trans. Serv. Comput. 2022, 16, 1904–1918. [Google Scholar] [CrossRef]
- Ji, G.; Yao, Z.; Zhang, B.; Li, C. Quality-driven online task-bundling-based incentive mechanism for mobile crowdsensing. IEEE Trans. Veh. Technol. 2022, 71, 7876–7889. [Google Scholar] [CrossRef]
- Viering, T.; Loog, M. The shape of learning curves: A review. IEEE Trans. Pattern Anal. Mach. Intell. 2022, 45, 7799–7819. [Google Scholar] [CrossRef] [PubMed]
- Zou, S.; Xi, J.; Xu, G.; Zhang, M.; Lu, Y. Crowdhb: A decentralized location privacy-preserving crowdsensing system based on a hybrid blockchain network. IEEE Internet Things J. 2021, 9, 14803–14817. [Google Scholar] [CrossRef]
- Yin, B.; Li, J.; Wei, X. Rational task assignment and path planning based on location and task characteristics in mobile crowdsensing. IEEE Trans. Comput. Soc. Syst. 2021, 9, 781–793. [Google Scholar] [CrossRef]




| Comparison Table | |
|---|---|
| [24] | minimize aggregate sensing time and maximize total task quality |
| [25] | maximize the total task quality and minimize the total perceived time |
| [26] | optimize task quality, based on location |
| [27] | maximize the number of completed tasks under the constraints of sensing duration and task capacity of each worker |
| [28] | maximize the overall sensing type matching degree and POI coverage |
| [29] | maximize the sensing value under the time constraint |
| [30] | maximize the total profit in the whole sensing period within the time window |
| [31] | improve the platform utility through a task bundling reorganized mechanism (TBRM) |
| [32] | motivate the participation of task participants by providing appropriate monetary rewards |
| [33] | maximize the social cost to satisfy the fine-grained ability requirement |
| [34] | propose a personalized task recommender system that jointly takes each user’s preference and reliability into consideration |
| [35] | improve the reliability and quality of sensing data by the Incentive-G mechanism |
| [36] | maximize social welfare while maximally satisfying the task quality requirements |
| System Model Parameter | |
|---|---|
| Task Parameter | |
| Set of all tasks | |
| Number of tasks | |
| Task | |
| Task profile of task | |
| Execution costs of task | |
| Expected rewards of task | |
| Geographical position of task | |
| Grade of task | |
| Characteristic set of task | |
| The -th characteristics of task | |
| User Parameter | |
| Set of all users | |
| Number of users | |
| User | |
| User specification of user | |
| Time budget of task | |
| Current position of task | |
| Grade of task | |
| Travel rate of task | |
| Learning rate of task | |
| Skill set of task | |
| The -th skill of task | |
| The assignment and path list of a user: | |
| Users-Task Group | |
| The assignment of a user to carry a task | |
| Total time of a user to carry a task | |
| Profit of a user to carry a task | |
| Utility of a user to carry a task | |
| Execution time of a user to carry a task | |
| Journey time of a user to carry a task | |
| Journey costs of a user to carry a task | |
| Rewards of a user to carry a task | |
| Execution costs of a user to carry a task | |
| Distance of a user to carry a task | |
| Grade-matching degree between a user and a task | |
| Task similarity between a task and a task | |
| Parameter | Value | Description |
|---|---|---|
| 3 | Grades of users and tasks | |
| 0.3, 0.3, 0.4 | Weight of the attributes | |
| 0.3, 0.3, 0.4 | Weight of the skills | |
| 3 | Linear factor of toll | |
| 800 | Execution time factor | |
| 25 | Speed of users | |
| 0.5 | Learning rate of user | |
| 150 | Ant population | |
| 100 | Maximum number of iterations | |
| 1 | Pheromone weighting factor | |
| 5 | Heuristic function weighting factor | |
| 1 | Constant coefficient | |
| 0.2 | Pheromone volatilization factor |
Disclaimer/Publisher’s Note: The statements, opinions and data contained in all publications are solely those of the individual author(s) and contributor(s) and not of MDPI and/or the editor(s). MDPI and/or the editor(s) disclaim responsibility for any injury to people or property resulting from any ideas, methods, instructions or products referred to in the content. |
© 2024 by the authors. Licensee MDPI, Basel, Switzerland. This article is an open access article distributed under the terms and conditions of the Creative Commons Attribution (CC BY) license (https://creativecommons.org/licenses/by/4.0/).
Share and Cite
He, X.; Wang, Y.; Zhao, X.; Huang, T.; Yu, Y. Task Assignment and Path Planning Mechanism Based on Grade-Matching Degree and Task Similarity in Participatory Crowdsensing. Sensors 2024, 24, 651. https://doi.org/10.3390/s24020651
He X, Wang Y, Zhao X, Huang T, Yu Y. Task Assignment and Path Planning Mechanism Based on Grade-Matching Degree and Task Similarity in Participatory Crowdsensing. Sensors. 2024; 24(2):651. https://doi.org/10.3390/s24020651
Chicago/Turabian StyleHe, Xiaoxue, Yubo Wang, Xu Zhao, Tiancong Huang, and Yantao Yu. 2024. "Task Assignment and Path Planning Mechanism Based on Grade-Matching Degree and Task Similarity in Participatory Crowdsensing" Sensors 24, no. 2: 651. https://doi.org/10.3390/s24020651
APA StyleHe, X., Wang, Y., Zhao, X., Huang, T., & Yu, Y. (2024). Task Assignment and Path Planning Mechanism Based on Grade-Matching Degree and Task Similarity in Participatory Crowdsensing. Sensors, 24(2), 651. https://doi.org/10.3390/s24020651

