Time-Synchronized Convergence Control for n-DOF Robotic Manipulators with System Uncertainties
Abstract
1. Introduction
- (1)
- A multivariable disturbance observer (MDOB) is designed based on the super-twisting structure to precisely observe the value of system uncertainties and adapt to the framework of TS stability;
- (2)
- A TS control strategy is proposed for robotic manipulators to ensure simultaneous convergence of system states, which is different from the previous research and relaxes the construction of the TS error among joints.
- (3)
- The singularity issue is addressed, and an analytical method for evaluating TS convergence performance is introduced, employing a contradiction strategy.
2. Problem Formulation and Preliminaries
2.1. Preliminaries
- (1)
- There is a constant , satisfying , i.e., finite-time stability;
- (2)
- State x is ratio persistent.
2.2. Problem Formulation
3. Control Design
3.1. Disturbance Observer Design
3.2. Time-Synchronized Control Design
3.3. Performance Analysis
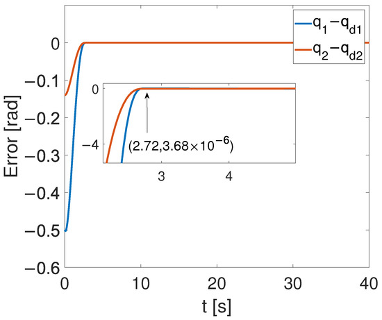
4. Simulation Results
4.1. Validation of the TS Control
4.2. Comparison with the Existing Work
5. Discussion
6. Conclusions
Author Contributions
Funding
Institutional Review Board Statement
Informed Consent Statement
Data Availability Statement
Conflicts of Interest
References
- Martínez-Prado, M.A.; Rodríguez-Reséndiz, J.; Gómez-Loenzo, R.A.; Herrera-Ruiz, G.; Franco-Gasca, L.A. An FPGA-Based Open Architecture Industrial Robot Controller. IEEE Access 2018, 6, 13407–13417. [Google Scholar] [CrossRef]
- Cabrera-Rufino, M.A.; Ramos-Arreguín, J.M.; Rodríguez-Reséndiz, J.; Gorrostieta-Hurtado, E.; Aceves-Fernandez, M.A. Implementation of ANN-Based Auto-Adjustable for a Pneumatic Servo System Embedded on FPGA. Micromachines 2022, 13, 890. [Google Scholar] [CrossRef] [PubMed]
- García-Martínez, J.R.; Cruz-Miguel, E.E.; Carrillo-Serrano, R.V.; Mendoza-Mondragón, F.; Toledano-Ayala, M.; Rodríguez-Reséndiz, J. A PID-type fuzzy logic controller-based approach for motion control applications. Sensors 2020, 20, 5323. [Google Scholar] [CrossRef] [PubMed]
- He, W.; Li, Z.; Chen, C.P. A survey of human-centered intelligent robots: Issues and challenges. IEEE CAA J. Autom. Sin. 2017, 4, 602–609. [Google Scholar] [CrossRef]
- Cao, Y.; Chen, X.; Zhang, M.; Huang, J. Adaptive Position Constrained Assist-as-Needed Control for Rehabilitation Robots. IEEE Trans. Ind. Electron. 2024, 71, 4059–4068. [Google Scholar] [CrossRef]
- Han, S.; Wang, H.; Yu, H. Human–Robot Interaction Evaluation-Based AAN Control for Upper Limb Rehabilitation Robots Driven by Series Elastic Actuators. IEEE Trans. Robot. 2023, 39, 3437–3451. [Google Scholar] [CrossRef]
- Liang, X.; Wang, H.; Zhang, Y. Adaptive nonsingular terminal sliding mode control for rehabilitation robots. Comput. Electr. Eng. 2022, 99, 107718. [Google Scholar] [CrossRef]
- Hou, H.; Yu, X.; Xu, L.; Rsetam, K.; Cao, Z. Finite-Time Continuous Terminal Sliding Mode Control of Servo Motor Systems. IEEE Trans. Ind. Electron. 2020, 67, 5647–5656. [Google Scholar] [CrossRef]
- Rsetam, K.; Cao, Z.; Man, Z. Design of Robust Terminal Sliding Mode Control for Underactuated Flexible Joint Robot. IEEE Trans. Syst. Man, Cybern. Syst. 2022, 52, 4272–4285. [Google Scholar] [CrossRef]
- Ali, K.; Cao, Z.; Rsetam, K.; Man, Z. Practical Adaptive Fast Terminal Sliding Mode Control for Servo Motors. Actuators 2023, 12, 433. [Google Scholar] [CrossRef]
- Rsetam, K.; Al-Rawi, M.; Al-Jumaily, A.M.; Cao, Z. Finite Time Disturbance Observer Based on Air Conditioning System Control Scheme. Energies 2023, 16, 5337. [Google Scholar] [CrossRef]
- He, W.; Xue, C.; Yu, X.; Li, Z.; Yang, C. Admittance-based controller design for physical human–robot interaction in the constrained task space. IEEE Trans. Autom. Sci. Eng. 2020, 17, 1937–1949. [Google Scholar] [CrossRef]
- Yang, C.; Jiang, Y.; He, W.; Na, J.; Li, Z.; Xu, B. Adaptive parameter estimation and control design for robot manipulators with finite-time convergence. IEEE Trans. Ind. Electron. 2018, 65, 8112–8123. [Google Scholar] [CrossRef]
- Su, Y.; Zheng, C.; Mercorelli, P. Robust approximate fixed-time tracking control for uncertain robot manipulators. Mech. Syst. Signal Process. 2020, 135, 106379. [Google Scholar] [CrossRef]
- Cao, S.; Sun, L.; Jiang, J.; Zuo, Z. Reinforcement learning-based fixed-time trajectory tracking control for uncertain robotic manipulators with input saturation. IEEE Trans. Neural Netw. Learn. Syst. 2021, 34, 4584–4595. [Google Scholar] [CrossRef]
- Chen, Q.; Gao, M.; Tao, L.; Nan, Y. Adaptive fixed time parameter estimation and synchronization control for multiple robotic manipulators. Int. J. Control. Autom. Syst. 2019, 17, 2375–2387. [Google Scholar] [CrossRef]
- Wu, Y.; Niu, W.; Kong, L.; Yu, X.; He, W. Fixed-time neural network control of a robotic manipulator with input deadzone. ISA Trans. 2023, 135, 449–461. [Google Scholar] [CrossRef]
- Pan, Y.; Du, P.; Xue, H.; Lam, H.K. Singularity-free fixed-time fuzzy control for robotic systems with user-defined performance. IEEE Trans. Fuzzy Syst. 2020, 29, 2388–2398. [Google Scholar] [CrossRef]
- Van, M.; Sun, Y.; Mcllvanna, S.; Nguyen, M.N.; Khyam, M.O.; Ceglarek, D. Adaptive Fuzzy Fault Tolerant Control for Robot Manipulators With Fixed-Time Convergence. IEEE Trans. Fuzzy Syst. 2023, 31, 3210–3219. [Google Scholar] [CrossRef]
- Rsetam, K.; Cao, Z.; Wang, L.; Al-Rawi, M.; Man, Z. Practically Robust Fixed-Time Convergent Sliding Mode Control for Underactuated Aerial Flexible JointRobots Manipulators. Drones 2022, 6, 428. [Google Scholar] [CrossRef]
- Yu, T.; Cao, J.; Rutkowski, L.; Luo, Y.P. Finite-Time Synchronization of Complex-Valued Memristive-Based Neural Networks via Hybrid Control. IEEE Trans. Neural Netw. Learn. Syst. 2022, 33, 3938–3947. [Google Scholar] [CrossRef] [PubMed]
- Guo, S.; Liu, Z.; Yu, J.; Huang, P.; Ma, Z. Adaptive Practical Fixed-Time Synchronization Control for Bilateral Teleoperation System With Prescribed Performance. IEEE Trans. Circuits Syst. II Express Briefs 2022, 69, 1243–1247. [Google Scholar] [CrossRef]
- Xu, G.H.; Qi, F.; Lai, Q.; Iu, H.H.C. Fixed time synchronization control for bilateral teleoperation mobile manipulator with nonholonomic constraint and time delay. IEEE Trans. Circuits Syst. II Express Briefs 2020, 67, 3452–3456. [Google Scholar] [CrossRef]
- Li, D.; Ge, S.S.; Lee, T.H. Simultaneous arrival to origin convergence: Sliding-mode control through the norm-normalized sign function. IEEE Trans. Autom. Control. 2021, 67, 1966–1972. [Google Scholar] [CrossRef]
- Li, D.; Ge, S.S.; Lee, T.H.; Li, D.; Ge, S.S.; Lee, T.H. Time-synchronized control for disturbed systems. In Time-Synchronized Control: Analysis and Design; Springer: Berlin/Heidelberg, Germany, 2022; pp. 61–99. [Google Scholar]
- Jiang, W.; Ge, S.S.; Li, D. Fixed-time-synchronized control: A system-dimension-categorized approach. Sci. China Inf. Sci. 2023, 66, 172203. [Google Scholar] [CrossRef]
- Ouyang, Y.; Liu, J.; Sun, C. Time-Synchronized Control for an Uncertain Marine Vessel System With External Disturbance. IEEE Trans. Circuits Syst. II Express Briefs 2023, 70, 2929–2933. [Google Scholar] [CrossRef]
- Zhang, Y.; Liang, X.; Li, D.; Ge, S.S.; Gao, B.; Chen, H.; Lee, T.H. Reinforcement Learning Based Time-Synchronized Optimized Control for Affine Systems. IEEE Trans. Artif. Intell. 2024, 1–15. [Google Scholar] [CrossRef]
- Wang, D.; Ge, S.S.; Liang, X.; Li, D. Time-Synchronized Formation Control of Unmanned Surface Vehicles. IEEE Trans. Intell. Veh. 2024, 1–9. [Google Scholar] [CrossRef]
- He, W.; Ge, S.S.; Li, Y.; Chew, E.; Ng, Y.S. Neural network control of a rehabilitation robot by state and output feedback. J. Intell. Robot. Syst. 2015, 80, 15–31. [Google Scholar] [CrossRef]
- Chen, M.; Shao, S.Y.; Jiang, B. Adaptive Neural Control of Uncertain Nonlinear Systems Using Disturbance Observer. IEEE Trans. Cybern. 2017, 47, 3110–3123. [Google Scholar] [CrossRef]
- Ji, R.; Ge, S.S. Event-Triggered Tunnel Prescribed Control for Nonlinear Systems. IEEE Trans. Fuzzy Syst. 2024, 32, 90–101. [Google Scholar] [CrossRef]
- Nagesh, I.; Edwards, C. A multivariable super-twisting sliding mode approach. Automatica 2014, 50, 984–988. [Google Scholar] [CrossRef]
- Li, D.; Yu, H.; Tee, K.P.; Wu, Y.; Ge, S.S.; Lee, T.H. On time-synchronized stability and control. IEEE Trans. Syst. Man, Cybern. Syst. 2021, 52, 2450–2463. [Google Scholar] [CrossRef]
- Bao, D.; Liang, X.; Ge, S.S.; Hou, B. Adaptive Neural Trajectory Tracking Control for n-DOF Robotic Manipulators With State Constraints. IEEE Trans. Ind. Inform. 2023, 19, 8039–8048. [Google Scholar] [CrossRef]












Disclaimer/Publisher’s Note: The statements, opinions and data contained in all publications are solely those of the individual author(s) and contributor(s) and not of MDPI and/or the editor(s). MDPI and/or the editor(s) disclaim responsibility for any injury to people or property resulting from any ideas, methods, instructions or products referred to in the content. |
© 2024 by the authors. Licensee MDPI, Basel, Switzerland. This article is an open access article distributed under the terms and conditions of the Creative Commons Attribution (CC BY) license (https://creativecommons.org/licenses/by/4.0/).
Share and Cite
Wang, D.; Zhang, G.; Zhang, T.; Zhang, J.; Chen, R. Time-Synchronized Convergence Control for n-DOF Robotic Manipulators with System Uncertainties. Sensors 2024, 24, 5986. https://doi.org/10.3390/s24185986
Wang D, Zhang G, Zhang T, Zhang J, Chen R. Time-Synchronized Convergence Control for n-DOF Robotic Manipulators with System Uncertainties. Sensors. 2024; 24(18):5986. https://doi.org/10.3390/s24185986
Chicago/Turabian StyleWang, Duansong, Gang Zhang, Tan Zhang, Jinzhong Zhang, and Rui Chen. 2024. "Time-Synchronized Convergence Control for n-DOF Robotic Manipulators with System Uncertainties" Sensors 24, no. 18: 5986. https://doi.org/10.3390/s24185986
APA StyleWang, D., Zhang, G., Zhang, T., Zhang, J., & Chen, R. (2024). Time-Synchronized Convergence Control for n-DOF Robotic Manipulators with System Uncertainties. Sensors, 24(18), 5986. https://doi.org/10.3390/s24185986

