Salient Object Detection Based on Optimization of Feature Computation by Neutrosophic Set Theory
Abstract
:1. Introduction
- We show that the selection of features should be focused on their uniqueness rather than their quantity. Prior object knowledge is constructed using the foreground and background models, integrating pixel-wise and super-pixel cues. In this way, we effectively obtain the main information about the object.
- We provide a new mathematical definition of neutrosophic set theory, redefining the formulas for its three subsets: True (T), Indeterminacy (I), and False (F).
- A new fusion update method is applied to highlight object features and achieve salient object detection, significantly improving the saliency map’s overall quality and accuracy.
2. Related Works
3. Proposed Algorithm
3.1. Saliency Object Detection
3.1.1. Feature Extraction and Selection
- Color features: Because the L*a*b* color space is based on human perception of color and includes all perceptible colors, its color gamut exceeds that of the red, green, and blue (RGB) color spaces, making it appropriate for image processing. Its three components, as well as its color volume, are tetra-chromatic features. The color volume is defined in [13] as:
- Image local information entropy: Image entropy is a statistical form of feature that represents the average amount of information in an image. The local entropy of the image is defined according to the order of the gray distribution of the pixels, which reflects the richness of the image information. The greater the entropy, the clearer the image details [25,26].
- Guided image filtering [27]: As the name implies, a guided filter is required to have a guide to filter, and different guided images can be selected depending on their different functions. We chose to utilize it to extract edge features in this study, so its input is the image itself.
- Gradient [28]: Gradient images are images with directional variations in grayscale intensity or color. The mathematical definition of the gradient is a vector, indicating that the directional derivative of a function at that location takes the largest value along that direction. As a result, the image can be viewed as a two-dimensional discrete function, and its grayscale gradient is the derivation of this two-dimensional discrete function. The difference can be used instead of the differential to derive the image’s grayscale gradient. Then, we obtained different features by setting the gradient operator.
3.1.2. The Prior Object Knowledge
3.1.3. Feature Computation
3.1.4. The Rule of Features Fusion
3.2. Saliency Optimization
4. Experiments
4.1. Experiment Fundamentals
4.1.1. Benchmark Datasets
4.1.2. Salient Object Detection Methods
4.1.3. Evaluation Metrics
4.1.4. Parameter Settings
4.2. Experimental Results and Analysis
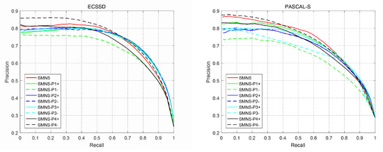
4.2.1. Performance of the SMNS Model with Some Feature Combinations
4.2.2. Comparison of Low-Rank Matrix Decomposition with or without Tree Structure
4.2.3. Saliency Optimization of NS Theory
4.2.4. Validation of the Proposed Algorithm
4.2.5. Parameters Analysis
5. Conclusions
Author Contributions
Funding
Institutional Review Board Statement
Informed Consent Statement
Data Availability Statement
Conflicts of Interest
References
- Palmer, S.E. Vision Science: Photons to Phenomenology; MIT Press: Cambridge, UK, 1999. [Google Scholar]
- Borji, A.; Itti, L. Exploiting local and global patch rarities for saliency detection. In Proceedings of the 2012 IEEE Conference on Computer Vision and Pattern Recognition, Providence, RI, USA, 16–21 June 2012; IEEE: Piscataway, NJ, USA, 2012; pp. 478–485. [Google Scholar]
- Lang, C.; Liu, G.; Yu, J.; Yan, S. Saliency detection by multitask sparsity pursuit. IEEE Trans. Image Process. 2011, 21, 1327–1338. [Google Scholar] [CrossRef] [PubMed]
- Goferman, S.; Zelnik-Manor, L.; Tal, A. Context-aware saliency detection. IEEE Trans. Pattern Anal. Mach. Intell. 2011, 34, 1915–1926. [Google Scholar] [CrossRef] [PubMed]
- Jiang, H.; Wang, J.; Yuan, Z.; Liu, T.; Zheng, N.; Li, S. Automatic salient object segmentation based on context and shape prior. In Proceedings of the BMVC, Dundee, UK, 29 August–2 September 2011; Volume 6, p. 9. [Google Scholar]
- Wei, Y.; Wen, F.; Zhu, W.; Sun, J. Geodesic saliency using background priors. In Proceedings of the European Conference on Computer Vision, Florence, Italy, 7–13 October 2012; Springer: Berlin/Heidelberg, Germany, 2012; pp. 29–42. [Google Scholar]
- Perazzi, F.; Krähenbühl, P.; Pritch, Y.; Hornung, A. Saliency filters: Contrast based filtering for salient region detection. In Proceedings of the 2012 IEEE Conference on Computer Vision and Pattern Recognition, Providence, RI, USA, 16–21 June 2012; IEEE: Piscataway, NJ, USA, 2012; pp. 733–740. [Google Scholar]
- Zhu, W.; Liang, S.; Wei, Y.; Sun, J. Saliency optimization from robust background detection. In Proceedings of the IEEE Conference on Computer Vision and Pattern Recognition, Columbus, OH, USA, 23–28 June 2014; pp. 2814–2821. [Google Scholar]
- Zhang, J.; Sclaroff, S.; Lin, Z.; Shen, X.; Price, B.; Mech, R. Minimum barrier salient object detection at 80 fps. In Proceedings of the IEEE International Conference on Computer Vision, Santiago, Chile, 7–13 December 2015; pp. 1404–1412. [Google Scholar]
- Yang, C.; Zhang, L.; Lu, H.; Ruan, X.; Yang, M.H. Saliency detection via graph-based manifold ranking. In Proceedings of the IEEE Conference on Computer Vision and Pattern Recognition, Portland, OR, USA, 23–28 June 2013; pp. 3166–3173. [Google Scholar]
- Zhang, L.; Yang, C.; Lu, H.; Ruan, X.; Yang, M.H. Ranking saliency. IEEE Trans. Pattern Anal. Mach. Intell. 2016, 39, 1892–1904. [Google Scholar] [CrossRef]
- Yuan, Y.; Li, C.; Kim, J.; Cai, W.; Feng, D.D. Reversion correction and regularized random walk ranking for saliency detection. IEEE Trans. Image Process. 2017, 27, 1311–1322. [Google Scholar] [CrossRef]
- Liu, G.H.; Yang, J.Y. Exploiting color volume and color difference for salient region detection. IEEE Trans. Image Process. 2018, 28, 6–16. [Google Scholar] [CrossRef] [PubMed]
- Kim, J.; Han, D.; Tai, Y.W.; Kim, J. Salient region detection via high-dimensional color transform. In Proceedings of the IEEE Conference on Computer Vision and Pattern Recognition, Columbus, OH, USA, 23–28 June 2014; pp. 883–890. [Google Scholar]
- Wei, C.P.; Chen, C.F.; Wang, Y.C.F. Robust face recognition with structurally incoherent low-rank matrix decomposition. IEEE Trans. Image Process. 2014, 23, 3294–3307. [Google Scholar] [CrossRef]
- Peng, H.; Li, B.; Ling, H.; Hu, W.; Xiong, W.; Maybank, S.J. Salient object detection via structured matrix decomposition. IEEE Trans. Pattern Anal. Mach. Intell. 2016, 39, 818–832. [Google Scholar] [CrossRef]
- Zhang, C.; Li, D.; Kang, X.; Song, D.; Sangaiah, A.K.; Broumi, S. Neutrosophic fusion of rough set theory: An overview. Comput. Ind. 2020, 115, 103117. [Google Scholar] [CrossRef]
- Guo, Y.; Cheng, H.D. New neutrosophic approach to image segmentation. Pattern Recognit. 2009, 42, 587–595. [Google Scholar] [CrossRef]
- Itti, L.; Koch, C.; Niebur, E. A model of saliency-based visual attention for rapid scene analysis. IEEE Trans. Pattern Anal. Mach. Intell. 1998, 20, 1254–1259. [Google Scholar] [CrossRef]
- Huo, L.; Jiao, L.; Wang, S.; Yang, S. Object-level saliency detection with color attributes. Pattern Recognit. 2016, 49, 162–173. [Google Scholar] [CrossRef]
- Liu, X.; Xiao, G.; Chen, R.; Ma, J. Pgfnet: Preference-guided filtering network for two-view correspondence learning. IEEE Trans. Image Process. 2023, 32, 1367–1378. [Google Scholar] [CrossRef] [PubMed]
- Lee, G.; Tai, Y.W.; Kim, J. Deep Saliency with Encoded Low Level Distance Map and High Level Features. In Proceedings of the IEEE Conference on Computer Vision and Pattern Recognition, Las Vegas, NV, USA, 27–30 June 2016; pp. 660–668. [Google Scholar]
- Minaee, S.; Boykov, Y.; Porikli, F.; Plaza, A.; Kehtarnavaz, N.; Terzopoulos, D. Image segmentation using deep learning: A survey. IEEE Trans. Pattern Anal. Mach. Intell. 2021, 44, 3523–3542. [Google Scholar] [CrossRef] [PubMed]
- Xiao, G.; Luo, H.; Zeng, K.; Wei, L.; Ma, J. Robust feature matching for remote sensing image registration via guided hyperplane fitting. IEEE Trans. Geosci. Remote Sens. 2020, 60, 1–14. [Google Scholar] [CrossRef]
- Lin, Y.; Fang, B.; Tang, Y. A computational model for saliency maps by using local entropy. In Proceedings of the Twenty-Fourth AAAI Conference on Artificial Intelligence, Atlanta, GA, USA, 11–15 July 2010. [Google Scholar]
- Deng, H.; Sun, X.; Liu, M.; Ye, C.; Zhou, X. Infrared small-target detection using multiscale gray difference weighted image entropy. IEEE Trans. Aerosp. Electron. Syst. 2016, 52, 60–72. [Google Scholar] [CrossRef]
- He, K.; Sun, J.; Tang, X. Guided image filtering. In Proceedings of the European Conference on Computer Vision, Heraklion, Greece, 5–11 September 2010; Springer: Berlin/Heidelberg, Germany, 2010; pp. 1–14. [Google Scholar]
- Xie, Y.; Lu, H.; Yang, M.H. Bayesian saliency via low and mid level cues. IEEE Trans. Image Process. 2012, 22, 1689–1698. [Google Scholar]
- Feichtinger, H.G.; Strohmer, T. Gabor Analysis and Algorithms: Theory and Applications; Springer Science & Business Media: Berlin/Heidelberg, Germany, 2012. [Google Scholar]
- Simoncelli, E.P.; Freeman, W.T. The steerable pyramid: A flexible architecture for multi-scale derivative computation. In Proceedings of the International Conference on Image Processing, Washington, DC, USA, 23–26 October 1995; IEEE: Piscataway, NJ, USA, 1995; Volume 3, pp. 444–447. [Google Scholar]
- Duncan, K.; Sarkar, S. Relational entropy-based saliency detection in images and videos. In Proceedings of the 2012 19th IEEE International Conference on Image Processing, Orlando, FL, USA, 30 September–3 October 2012; IEEE: Piscataway, NJ, USA, 2012; pp. 1093–1096. [Google Scholar]
- Achanta, R.; Hemami, S.; Estrada, F.; Süsstrunk, S. Frequency-tuned salient region detection. In Proceedings of the IEEE International Conference on Computer Vision and Pattern Recognition (CVPR 2009), Miami, FL, USA, 20–25 June 2009; pp. 1597–1604. [Google Scholar]
- Myers, L.; Sirois, M.J. Spearman correlation coefficients, differences between. Encycl. Stat. Sci. 2004, 12. [Google Scholar]
- Deli, I.; Broumi, S.; Ali, M. Neutrosophic soft multi-set theory and its decision making. Neutrosophic Sets Syst. 2014, 5, 65–76. [Google Scholar]
- Guo, Y.; Xia, R.; Şengür, A.; Polat, K. A novel image segmentation approach based on neutrosophic c-means clustering and indeterminacy filtering. Neural Comput. Appl. 2017, 28, 3009–3019. [Google Scholar] [CrossRef]
- Buades, A.; Coll, B.; Morel, J.M. A non-local algorithm for image denoising. In Proceedings of the 2005 IEEE Computer Society Conference on Computer Vision and Pattern Recognition (CVPR’05), San Diego, CA, USA, 20–26 June 2005; IEEE: Piscataway, NJ, USA, 2005; Volume 2, pp. 60–65. [Google Scholar]
- MSRA10K Salient Object Database. Available online: http://mmcheng.net/msra10k/ (accessed on 24 September 2023).
- Extended Complex Scene Saliency Dataset. Available online: http://www.cse.cuhk.edu.hk/leojia/projects/hsaliency/dataset.html (accessed on 24 September 2023).
- Everingham, M.; Van Gool, L.; Williams, C.K.; Winn, J.; Zisserman, A. The pascal visual object classes (voc) challenge. Int. J. Comput. Vis. 2010, 88, 303–338. [Google Scholar] [CrossRef]
- DUT-OMRON Salient Object Database. Available online: http://saliencydetection.net/dut-omron/ (accessed on 24 September 2023).
- Fan, D.P.; Cheng, M.M.; Liu, J.J.; Gao, S.H.; Hou, Q.; Borji, A. Salient objects in clutter: Bringing salient object detection to the foreground. In Proceedings of the European Conference on Computer Vision (ECCV), Munich, Germany, 8–14 September 2018; pp. 186–202. [Google Scholar]
- Qin, Y.; Lu, H.; Xu, Y.; Wang, H. Saliency detection via cellular automata. In Proceedings of the IEEE Conference on Computer Vision and Pattern Recognition, Boston, MA, USA, 7–12 June 2015; pp. 110–119. [Google Scholar]
- Li, C.; Chen, Z.; Wu, Q.J.; Liu, C. Saliency object detection: Integrating reconstruction and prior. Mach. Vis. Appl. 2019, 30, 397–406. [Google Scholar] [CrossRef]
- Powers, D.M. Evaluation: From precision, recall and F-measure to ROC, informedness, markedness and correlation. ArXiv 2020, arXiv:2010.16061. [Google Scholar]
- Chai, T.; Draxler, R.R. Root mean square error (RMSE) or mean absolute error (MAE)?–Arguments against avoiding RMSE in the literature. Geosci. Model Dev. 2014, 7, 1247–1250. [Google Scholar] [CrossRef]
- Fan, D.P.; Cheng, M.M.; Liu, Y.; Li, T.; Borji, A. Structure-measure: A new way to evaluate foreground maps. In Proceedings of the IEEE International Conference on Computer Vision, Venice, Italy, 22–29 October 2017; pp. 4548–4557. [Google Scholar]










| Labels | Feature Descriptions | Dim |
|---|---|---|
| Color Features | ||
| 1*,3* | The average RGB values | 3 |
| 1*,2*,3* | The average CIELab values | 3 |
| 1*,3* | The average HSV values | 3 |
| 1*,2* | The color volume of CIELab color space | 1 |
| Color Histogram Features | ||
| 1* | The RGB histogram | 1 |
| 1*,2* | The CIELab histogram | 1 |
| 1* | The hue histogram | 1 |
| 1* | The saturation histogram | 1 |
| Color Contrast Features | ||
| 1* | The global contrast of the color features | 9 |
| 1* | The local contrast of the color features | 9 |
| 1* | The element distribution of the color features | 9 |
| Location Features | ||
| 1*,2*,3* | The average normalized x coordinates | 1 |
| 1*,2*,3* | The average normalized y coordinates | 1 |
| Texture and Shape Features | ||
| 1*,2* | Area of super-pixel | 1 |
| 1* | Histogram of gradients (HOG) | 31 |
| 1* | Singular value feature | 1 |
| 1*,2* | Gradients of image | 1 |
| Other Features | ||
| 1*,2* | Guided image filters | 3 |
| 1* | Gabor filters [29] | 48 |
| 1* | Steerable pyramids [30] | 36 |
| 1*,2* | Local information entropy | 1 |
| Datasets | Evaluation | SMNS | RP | RCRR | FCB | HDCT | SMD | BSCA | wCtrop | SF | GS | MR |
|---|---|---|---|---|---|---|---|---|---|---|---|---|
| MSRA10K | MAE | 0.097 | 0.121 | 0.112 | 0.120 | 0.143 | 0.104 | 0.125 | 0.108 | 0.179 | 0.155 | 0.156 |
| S-measure | 0.830 | 0.781 | 0.791 | 0.719 | 0.797 | 0.839 | 0.813 | 0.824 | 0.553 | 0.772 | 0.771 | |
| AUC | 0.851 | 0.825 | 0.827 | 0.734 | 0.847 | 0.847 | 0.844 | 0.841 | 0.699 | 0.845 | 0.838 | |
| ECSSD | MAE | 0.167 | 0.170 | 0.223 | 0.173 | 0.198 | 0.224 | 0.182 | 0.225 | 0.223 | 0.233 | 0.210 |
| S-measure | 0.717 | 0.686 | 0.696 | 0.621 | 0.674 | 0.734 | 0.725 | 0.713 | 0.452 | 0.657 | 0.690 | |
| AUC | 0.804 | 0.785 | 0.795 | 0.684 | 0.785 | 0.812 | 0.815 | 0.798 | 0.603 | 0.793 | 0.810 | |
| PASCAL-S | MAE | 0.204 | 0.204 | 0.212 | 0.213 | 0.229 | 0.206 | 0.222 | 0.201 | 0.237 | 0.241 | 0.243 |
| S-measure | 0.641 | 0.583 | 0.600 | 0.515 | 0.568 | 0.633 | 0.634 | 0.650 | 0.489 | 0.618 | 0.626 | |
| AUC | 0.757 | 0.730 | 0.731 | 0.636 | 0.727 | 0.748 | 0.754 | 0.753 | 0.580 | 0.759 | 0.760 | |
| DUT-OMRON | MAE | 0.141 | 0.139 | 0.182 | 0.149 | 0.158 | 0.164 | 0.191 | 0.145 | 0.151 | 0.210 | 0.218 |
| S-measure | 0.674 | 0.672 | 0.660 | 0.605 | 0.656 | 0.670 | 0.652 | 0.647 | 0.513 | 0.620 | 0.614 | |
| AUC | 0.810 | 0.802 | 0.780 | 0.697 | 0.815 | 0.809 | 0.808 | 0.814 | 0.640 | 0.816 | 0.804 | |
| SOCK | MAE | 0.199 | 0.224 | 0.242 | - | 0.234 | 0.223 | 0.245 | 0.238 | 0.214 | 0.259 | 0.276 |
| S-measure | 0.565 | 0.564 | 0.582 | - | 0.553 | 0.599 | 0.588 | 0.586 | 0.434 | 0.564 | 0.569 | |
| AUC | 0.741 | 0.718 | 0.722 | - | 0.718 | 0.740 | 0.747 | 0.754 | 0.575 | 0.750 | 0.755 |
Disclaimer/Publisher’s Note: The statements, opinions and data contained in all publications are solely those of the individual author(s) and contributor(s) and not of MDPI and/or the editor(s). MDPI and/or the editor(s) disclaim responsibility for any injury to people or property resulting from any ideas, methods, instructions or products referred to in the content. |
© 2023 by the authors. Licensee MDPI, Basel, Switzerland. This article is an open access article distributed under the terms and conditions of the Creative Commons Attribution (CC BY) license (https://creativecommons.org/licenses/by/4.0/).
Share and Cite
Song, S.; Li, Y.; Jia, Z.; Shi, F. Salient Object Detection Based on Optimization of Feature Computation by Neutrosophic Set Theory. Sensors 2023, 23, 8348. https://doi.org/10.3390/s23208348
Song S, Li Y, Jia Z, Shi F. Salient Object Detection Based on Optimization of Feature Computation by Neutrosophic Set Theory. Sensors. 2023; 23(20):8348. https://doi.org/10.3390/s23208348
Chicago/Turabian StyleSong, Sensen, Yue Li, Zhenhong Jia, and Fei Shi. 2023. "Salient Object Detection Based on Optimization of Feature Computation by Neutrosophic Set Theory" Sensors 23, no. 20: 8348. https://doi.org/10.3390/s23208348
APA StyleSong, S., Li, Y., Jia, Z., & Shi, F. (2023). Salient Object Detection Based on Optimization of Feature Computation by Neutrosophic Set Theory. Sensors, 23(20), 8348. https://doi.org/10.3390/s23208348

