A Novel Extraction Procedure of Contact Characteristic Parameters from Current–Voltage Curves in CdZnTe and CdTe Detectors
Abstract
1. Introduction
2. Overview of the Interfacial Layer–Thermionic-Diffusion (ITD) Theory
- θ with 0 ≤ θ ≤ 1 is the transmission coefficient across the interfacial layer (θn for majority carriers represented by electrons, θh for holes); θ is related to the thickness of the interfacial layer and the effective barrier height presented by the thin interfacial layer;
- ϕB0 is the barrier height under thermal equilibrium conditions of the metal–semiconductor junction;
- A* is the is the effective Richardson constant of the majority charge carriers;
- VTH = k T/q, where k is the Boltzmann constant, T the absolute temperature and q the electron charge;
- VR = A* T2/qNx is the thermal velocity in the current flow direction; Nx is the effective density of states (x = v for valence and x = c for conduction band);
- VD is the effective diffusion velocity, associated with the transport of the majority carriers from the edge of the depletion layer to the potential peak;
- C2= ϵi/(ϵi + q2Ds δ), where ϵi = ϵr ϵ0 and δ are the permittivity and thickness of the interfacial layer and Ds is the density of surface states per unit energy and area; this parameter characterizes the barrier lowering due to the voltage drop across the interfacial layer.
- (i)
- If θ VR << VD, the leakage current is dominated by the thermionic emission (TE) and Equation (1) can be approximated to:
- (ii)
- If θ VR >> VD, the leakage current is dominated by the diffusion (D) mechanism and can be presented as:
3. Estimation of the Characteristic Parameters of Electrical Contacts: The Role of the H Function
4. Materials and Methods
5. Measurements and Results
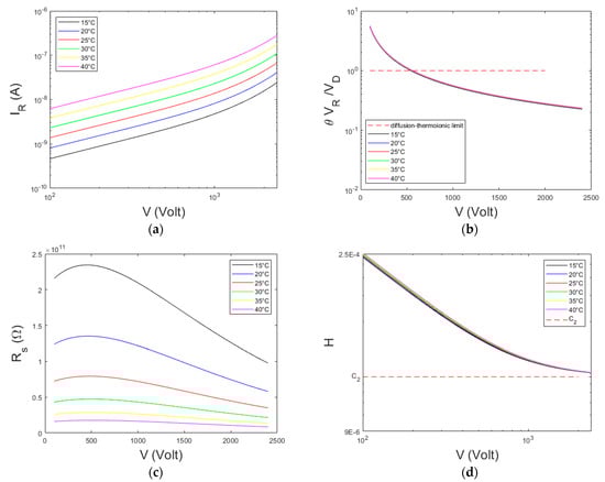
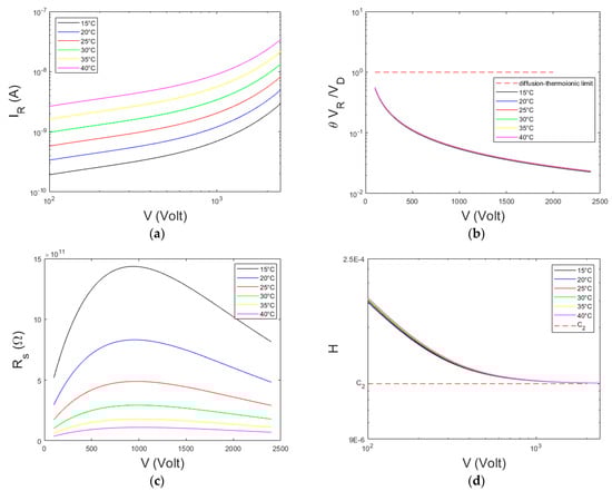
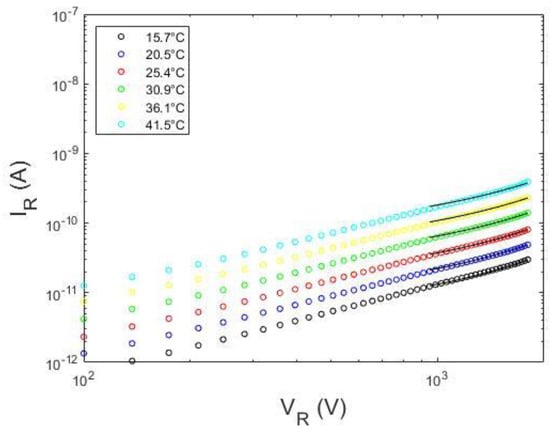
5.1. Experimental Current-Voltage (I–V) Curves
5.2. Experimental Resistance-Voltage (Rs–V) Curves
5.3. Experimental H–V Curves
5.4. Evaluation of Characteristic Parameters from Experimental Rs–V and H–V Curves
6. Discussion and Conclusions
- (i)
- the analysis of the behaviour of H–V curves, together with the resistance–voltage curves, allows for a clear identification of the main mechanisms controlling the currents, often masked in the I–V curves;
- (ii)
- the presence of the plateau zone in the H–V curves highlights the bias voltage range where the thermionic emission dominates; this allows for the estimation of the C2 parameter characterizing the barrier lowering due to the voltage drop across the interfacial layer;
- (iii)
- the knowledge of both C2 and the current values in the TE regime is helpful for the estimation of further characteristic parameters of the electrical contacts. The slope and the intercept of the linear Arrhenius plots of ln(J/T2) − C2V/VTH give the estimation of the barrier height φB0 and the transmission coefficient θ. In this case, the correct identification of the TE voltage range and the introduction of the barrier lowering (through the parameter C2) allow for an accurate estimation of these parameters.
Author Contributions
Funding
Conflicts of Interest
References
- Johns, P.M.; Nino, G.C. Room temperature semiconductor detectors for nuclear security. J. Appl. Phys. 2019, 126, 040902. [Google Scholar] [CrossRef]
- Abbene, L.; Del Sordo, S. CdTe Detectors. Compr. Biomed. Phys. 2014, 8, 285–314. [Google Scholar]
- Del Sordo, S.; Abbene, L.; Caroli, E.; Mancini, A.M.; Zappettini, A.; Ubertini, P. Progress in the development of CdTe and CdZnTe semiconductor radiation detectors for astrophysical and medical applications. Sensors 2009, 9, 3491–3526. [Google Scholar] [CrossRef] [PubMed]
- Owens, A. Semiconductor materials and radiation detection. J. Synchrotron Rad. 2006, 13, 143–150. [Google Scholar] [CrossRef] [PubMed]
- Mele, F.; Quercia, J.; Abbene, L.; Benassi, G.; Bettelli, M.; Buttacavoli, A.; Principato, F.; Zappettini, A.; Bertuccio, G. Advances in High Energy Resolution CdZnTe Linear Array Pixel Detectors with Fast and Low Noise Readout Electronics. Sensors. 2023, 23, 2167. [Google Scholar] [CrossRef]
- Abbene, L.; Principato, F.; Gerardi, G.; Buttacavoli, A.; Cascio, D.; Bettelli, M.; Amadè, N.S.; Seller, P.; Veale, M.C.; Fox, O.; et al. Room-Temperature X-ray response of cadmium-zinc-Telluride pixel detectors grown by the vertical Bridgman technique. J. Synchrotron Rad. 2020, 27, 319–328. [Google Scholar] [CrossRef]
- Koch-Mehrin, K.A.L.; Bugby, S.L.; Lees, J.E.; Veale, M.C.; Wilson, M.D. Charge Sharing and Charge Loss in High-Flux Capable Pixelated CdZnTe Detectors. Sensors 2021, 21, 3260. [Google Scholar] [CrossRef]
- Meuris, A.; Limousin, O.; Lugiez, F.; Gevin, O.; Blondel, C.; Pinsard, F.; Vassal, M.C.; Soufflet, F.; Le Mer, I. Caliste 64 a new CdTe micro-camera for hard X-ray spectro-imaging. Nucl. Instr. Meth. A 2009, 610, 154–157. [Google Scholar] [CrossRef]
- Bell, S.J.; Baker, M.A.; Duarte, D.D.; Schneider, A.; Seller, P.; Sellin, P.J.; Veale, M.C.; Wilson, M.D. Characterization of the metal–semiconductor interface of gold contacts on CdZnTe formed by electroless deposition. J. Phys. D Appl. Phys. 2015, 48, 275304. [Google Scholar] [CrossRef]
- Egarievwe, S.U.; Hossain, A.; Okwechime, I.O.; Egarievwe, A.A.; Jones, D.E.; Roy, U.N.; James, R.B. Effects of Chemical Treatments on CdZnTe X-Ray and Gamma-Ray Detectors. IEEE Trans. Nucl. Sci. 2016, 63, 1091–1098. [Google Scholar] [CrossRef]
- González, R.; Pérez, J.; Vela, O.; de Burgos, E.; Oller, J.; Gostilo, V. Electrical characterization of large volume CdZnTe coplanar detectors. Nucl. Instr. Meth. A 2005, 547, 517–534. [Google Scholar] [CrossRef]
- Zha, G.; Jie, W.; Zeng, D.; Xu, Y.; Zhang, W.; Xu, F. The study on Schottky contact between Au and clean CdZnTe. Surf. Sci. 2006, 600, 2629–2632. [Google Scholar] [CrossRef]
- Bell, S.J.; Baker, M.A.; Duarte, D.D.; Schneider, A.; Seller, P.; Sellin, P.J.; Veale, M.C.; Wilson, M.D. Comparison of the surfaces and interfaces formed for sputter and electroless deposited gold contacts on CdZnTe. Appl. Surf. Sci. 2018, 427, 1257–1270. [Google Scholar] [CrossRef]
- Buttacavoli, A.; Principato, F.; Gerardi, G.; Bettelli, M.; Sarzi Amadè, N.; Zappettini, A.; Seller, P.; Veale, M.C.; Fox, O.; Sawhney, K.; et al. Room-temperature performance of 3 mm-thick cadmium zinc telluride pixel detectors with sub-millimetre pixelization. J. Synchrotron Rad. 2020, 27, 1180–1189. [Google Scholar] [CrossRef] [PubMed]
- Abbene, L.; Gerardi, G.; Raso, G.; Principato, F.; Zambelli, N.; Benassi, G.; Bettelli, M.; Zappettini, A. Development of new CdZnTe detectors for room-temperature high-flux radiation measurements. J. Synchrotron Rad. 2017, 24, 429–438. [Google Scholar] [CrossRef] [PubMed]
- Buttacavoli, A.; Principato, F.; Gerardi, G.; Cascio, D.; Raso, G.; Bettelli, M.; Zappettini, A.; Taormina, V.; Abbene, L. Window-Based Energy Selecting X-ray Imaging and Charge Sharing in Cadmium Zinc Telluride Linear Array Detectors for Contaminant Detection. Sensors 2023, 23, 3196. [Google Scholar] [CrossRef] [PubMed]
- Takahashi, T.; Paul, B.; Hirose, K.; Matsumoto, C.; Ohno, R.; Ozaki, T.; Mori, K.; Tomita, Y. High-resolution Schottky CdTe diode for hard X-ray and gamma-ray astronomy. Nucl. Instr. Meth. A 1999, 436, 111–119. [Google Scholar] [CrossRef]
- Toyama, H.; Yamazato, M.; Higa, A.; Maehama, T.; Ohno, R.; Toguchi, M. Formation of Aluminum Schottky Contact on Plasma-Treated Cadmium Telluride Surface. Jpn. J. Appl. Phys. 2004, 43, 6371–6375. [Google Scholar] [CrossRef]
- Abbene, L.; Gerardi, G.; Turturici, A.A.; Del Sordo, S.; Principato, F. Experimental results from Al/p-CdTe/PtX-ray detectors. Nucl. Instr. Meth. A 2013, 730, 135–140. [Google Scholar] [CrossRef]
- Abbene, L.; Gerardi, G.; Principato, F.; Del Sordo, S.; Raso, G. Direct measurement of mammographic X-Ray spectra with a digital CdTe detection system. Sensors 2012, 12, 8390–8404. [Google Scholar] [CrossRef]
- Principato, F.; Gerardi, G.; Abbene, L. Time-dependent current-voltage characteristics of Al/p-CdTe/Pt x-ray detectors. J. Appl. Phys. 2012, 112, 094506. [Google Scholar] [CrossRef]
- Farella, I.; Montagna, G.; Mancini, A.M.; Cola, A. Study on Instability Phenomena in CdTe Diode-Like Detectors. IEEE Trans. Nucl. Sci. 2009, 56, 1736–1742. [Google Scholar] [CrossRef]
- Thomas, B.; Veale, M.C.; Wilson, M.D.; Seller, P.; Schneider, A.; Iniewski, K. Characterisation of Redlen high-flux CdZnTe. J. Inst. 2017, 12, C12045. [Google Scholar] [CrossRef]
- Veale, M.C.; Booker, P.; Cross, S.; Hart, M.D.; Jowitt, L.; Lipp, J.; Schneider, A.; Seller, P.; Wheater, R.M.; Wilson, M.D.; et al. Characterization of the Uniformity of High-Flux CdZnTe Material. Sensors 2020, 20, 2747. [Google Scholar] [CrossRef] [PubMed]
- Abbene, L.; Gerardi, G.; Principato, F.; Bettelli, M.; Seller, P.; Veale, M.C.; Fox, O.; Sawhney, K.; Zambelli, N.; Benassi, G.; et al. Dual-polarity pulse processing and analysis for charge-loss correction in cadmium–zinc–telluride pixel detectors. J. Synchrotron Rad. 2018, 25, 1078–1092. [Google Scholar] [CrossRef]
- Buttacavoli, A.; Principato, F.; Gerardi, G.; Cascio, D.; Raso, G.; Bettelli, M.; Zappettini, A.; Seller, P.; Veale, M.C.; Abbene, L. Incomplete Charge Collection at Inter-Pixel Gap in Low-and High-Flux Cadmium Zinc Telluride Pixel Detectors. Sensors 2022, 22, 1441. [Google Scholar] [CrossRef]
- Iniewski, K. CZT sensors for Computed Tomography: From crystal growth to image quality. J. Inst. 2016, 11, C12034. [Google Scholar] [CrossRef]
- Baussens, O.; Ponchut, C.; Ruat, M.; Bettelli, M.; Zanettini, S.; Zappettini, A. Characterization of High-Flux CdZnTe with optimized electrodes for 4th generation synchrotrons. J. Inst. 2022, 17, C11008. [Google Scholar] [CrossRef]
- Bolotnikov, A.; Boggs, S.; Chen, C.H.; Cook, R.; Harrison, F.; Schindler, S. Properties of Pt Schottky type contacts on high-resistivity CdZnTe detectors. Nucl. Instr. Meth. A 2002, 482, 395–407. [Google Scholar] [CrossRef]
- Wu, C. Interfacial layer-thermionic-diffusion theory for the Schottky barrier diode. J. Appl. Phys. 1982, 53, 5947–5950. [Google Scholar] [CrossRef]
- Bettelli, M.; Amadè, N.; Zanettini, S.; Nasi, L.; Villani, M.; Abbene, L.; Principato, F.; Santi, A.; Pavesi, M.; Zappettini, A. Improved electroless platinum contacts on CdZnTe X and γ rays detectors. Sci. Rep. 2020, 10, 13762. [Google Scholar] [CrossRef] [PubMed]
- Turturici, A.; Abbene, L.; Gerardi, G.; Benassi, G.; Bettelli, M.; Calestani, D.; Zambelli, N.; Raso, G.; Zappettini, A.; Principato, F. Electrical properties of Au/CdZnTe/Au detectors grown by the boron oxide encapsulated Vertical Bridgman technique. Nucl. Instr. Meth. A 2016, 830, 243–250. [Google Scholar] [CrossRef]
- Abbene, L.; Principato, F.; Gerardi, G.; Bettelli, M.; Seller, P.; Veale, M.C.; Zappettini, A. Digital fast pulse shape and height analysis on cadmium–zinc–telluride arrays for high-flux energy-resolved X-ray imaging. J. Synchrotron Rad. 2018, 25, 257–271. [Google Scholar] [CrossRef] [PubMed]
- Chen, H.; Awadalla, S.A.; Iniewski, K.; Lu, P.H.; Harris, F.; Mackenzie, J.; Hasanen, T.; Chen, W.; Redden, R.; Bindley, G.; et al. Characterization of large cadmium zinc telluride crystals grown by traveling heater method. J. Appl. Phys. 2008, 103, 014903. [Google Scholar] [CrossRef]
- Chen, H.; Awadalla, S.A.; Mackenzie, J.; Redden, R.; Bindley, G.; Bolotnikov, A.E.; Camarda, G.S.; Carini, G.; James, R.B. Characterization of Traveling Heater Method (THM) Grown Cd0.9Zn0.1Te Crystals. IEEE Trans. Nucl. Sci. 2007, 54, 811–816. [Google Scholar] [CrossRef]
- Abbene, L.; Gerardi, G.; Principato, F.; Buttacavoli, A.; Altieri, S.; Protti, N.; Tomarchio, E.; Del Sordo, S.; Auricchio, N.; Bettelli, M.; et al. Recent advances in the development of high-resolution 3D cadmium–zinc–telluride drift strip detectors. J. Synchrotron Rad. 2020, 27, 1564–1576. [Google Scholar] [CrossRef]
- Abbene, L.; Principato, F.; Buttacavoli, A.; Gerardi, G.; Bettelli, M.; Zappettini, A.; Altieri, S.; Auricchio, N.; Caroli, E.; Zanettini, S.; et al. Potentialities of high-resolution 3-D CZT drift strip detectors for prompt gamma-ray measurements in BNCT. Sensors 2022, 22, 1502. [Google Scholar] [CrossRef]
- Kuvvetli, I.; Budtz-Jørgensen, C.; Caroli, E.; Auricchio, N. CZT drift strip detectors for high energy astrophysics. Nucl. Instr. Meth. A 2010, 624, 486–491. [Google Scholar] [CrossRef]
- Sammartini, M.; Gandola, M.; Mele, F.; Garavelli, B.; Macera, D.; Pozzi, P.; Bertuccio, G. A CdTe pixel detector–CMOS preamplifier for room temperature high sensitivity and energy resolution X and γ ray spectroscopic imaging. Nucl. Instr. Meth. A 2018, 910, 168–173. [Google Scholar] [CrossRef]
- Abbene, L.; Gerardi, G.; Principato, F. Digital performance improvements of a CdTe pixel detector for high flux energy-resolved X-ray imaging. Nucl. Instr. Meth. A 2015, 777, 54–62. [Google Scholar] [CrossRef]
- Turturici, A.; Abbene, L.; Gerardi, G.; Principato, F. Electrical characterization of CdTe pixel detectors with Al Schottky anode. Nucl. Instr. Meth. A 2014, 763, 476–482. [Google Scholar] [CrossRef]
- Prokesch, M.; Szeles, C. Accurate measurement of electrical bulk resistivity and surface leakage of CdZnTe radiation detector crystals. J. Appl. Phys. 2006, 100, 014503. [Google Scholar] [CrossRef]











| C2 | qφB0 (eV) | A* (A cm−2 K−2) | µn (cm2 V−1 s−1) | θn |
|---|---|---|---|---|
| 2.5·10−5 | 0.77 | 12 | 1000 | 0.05 |
| Detector | Crystal | Electrodes | Electrode Deposition | Anode Pixel Size |
|---|---|---|---|---|
| D1 | LF-CZT 4.1 × 4.1 × 3 mm3 | Au/CZT/Au | electroless | 2 × 2 mm2 |
| D2 | HF-CZT 5 × 5 × 1.5 mm3 | Pt/CZT/Pt | sputter | 0.5 × 0.5 mm2 |
| D3 | CdTe 4.1 × 4.1 × 2 mm3 | Al/CdTe/Pt | n.a. | 2 × 2 mm2 |
| C2 (×10−5) Rs–V Curves | C2 (×10−5) H–V Curves | |
|---|---|---|
| Detector D1 (reverse biasing) | 1.43 ± 0.15 | 1.43 ± 0.09 |
| Detector D1 (forward biasing) | 2.09 ± 0.14 | 1.88 ± 0.04 |
| Detector D2 (reverse biasing) | n.a. | 2.40 ± 0.20 |
| Detector D3 (reverse biasing) | 8.3 ± 0.4 | 8.4 ± 0.4 |
| φB0 (eV) | θ | |
|---|---|---|
| Detector D1 (reverse biasing) | 0.792 ± 0.008 | 0.4 ± 0.1 |
| Detector D1 (forward biasing) | 0.859 ± 0.005 | ~1 |
| Detector D2 (reverse biasing) | 0.767 ± 0.004 | 0.048 ± 0.009 |
| Detector D3 (reverse biasing) | 0.74 ± 0.02 | 0.2 ± 0.1 |
Disclaimer/Publisher’s Note: The statements, opinions and data contained in all publications are solely those of the individual author(s) and contributor(s) and not of MDPI and/or the editor(s). MDPI and/or the editor(s) disclaim responsibility for any injury to people or property resulting from any ideas, methods, instructions or products referred to in the content. |
© 2023 by the authors. Licensee MDPI, Basel, Switzerland. This article is an open access article distributed under the terms and conditions of the Creative Commons Attribution (CC BY) license (https://creativecommons.org/licenses/by/4.0/).
Share and Cite
Principato, F.; Bettelli, M.; Zappettini, A.; Abbene, L. A Novel Extraction Procedure of Contact Characteristic Parameters from Current–Voltage Curves in CdZnTe and CdTe Detectors. Sensors 2023, 23, 6075. https://doi.org/10.3390/s23136075
Principato F, Bettelli M, Zappettini A, Abbene L. A Novel Extraction Procedure of Contact Characteristic Parameters from Current–Voltage Curves in CdZnTe and CdTe Detectors. Sensors. 2023; 23(13):6075. https://doi.org/10.3390/s23136075
Chicago/Turabian StylePrincipato, Fabio, Manuele Bettelli, Andrea Zappettini, and Leonardo Abbene. 2023. "A Novel Extraction Procedure of Contact Characteristic Parameters from Current–Voltage Curves in CdZnTe and CdTe Detectors" Sensors 23, no. 13: 6075. https://doi.org/10.3390/s23136075
APA StylePrincipato, F., Bettelli, M., Zappettini, A., & Abbene, L. (2023). A Novel Extraction Procedure of Contact Characteristic Parameters from Current–Voltage Curves in CdZnTe and CdTe Detectors. Sensors, 23(13), 6075. https://doi.org/10.3390/s23136075

