Evaluation of the Size of a Defect in Reinforcing Steel Using Magnetic Flux Leakage (MFL) Measurements
Abstract
1. Introduction
2. Development of Numerical Simulation Model
2.1. Numerical Simulation Model
2.1.1. Optimization of Magnet Distance
2.1.2. Optimization of Magnet Orientation
2.2. Experimental Study
2.2.1. Preparation of Test Specimens
2.2.2. MFL Test Setup
2.2.3. Summary of Test Plan
2.2.4. Sensor Positioning
2.3. Validation of Numerical Simulation Model and Experimental Testing
3. Parametric Study
3.1. Signal Variables
3.2. Results
3.2.1. Numerical Simulation Results
3.2.2. Experimental Testing Results
3.2.3. Effects of Defect Width and Depth
3.2.4. Defect Area Estimation
3.3. Guidelines for Condition Assessment of Reinforcing Steel Using MFL
4. Conclusions
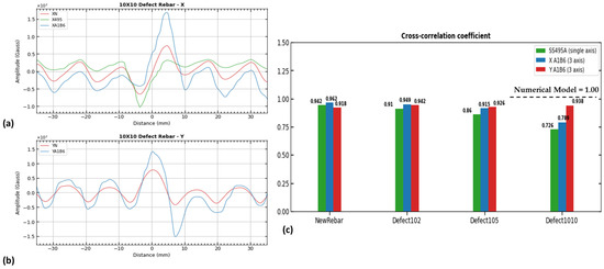
- MFL signals exhibit a sinusoidal waveform over the ribs of reinforcing steel. The cross-correlation between the experimental sensor signals and numerical model results is high. Compared with a single-axis sensor, the 3-axis sensor presents closer values to the numerical model data as the x-component has the highest cross-correlation coefficient median (0.933) and mean (0.860).
- In the investigation using signal information for defect prediction, the bandwidth of the x-component of the signal (Bx) correlates with defect width. In the case of increasing depth, it corresponds to the first half amplitude (A1) of the y-component (By).
- In this 2D MFL signal study, both parameters of the 2D defect (width and depth) affect each other and cannot be evaluated individually. The defect area can be estimated from the overall variation in the signal amplitude of the magnetic flux leakage signals with an x-component (Bx). The defect areas show a higher regression coefficient (R2 = 0.9079) for the x-component (Bx) amplitude of the 3-axis sensor signal.
Author Contributions
Funding
Institutional Review Board Statement
Informed Consent Statement
Data Availability Statement
Conflicts of Interest
References
- Page, C.L.; Treadaway, K.W.J. Aspects of the electrochemistry of steel in concrete. Nature 1982, 297, 109–115. [Google Scholar] [CrossRef]
- Zhao, Y.; Karimi, A.R.; Wong, H.S.; Hu, B.; Buenfeld, N.R.; Jin, W. Comparison of uniform and non-uniform corrosion induced damage in reinforced concrete based on a Gaussian description of the corrosion layer. Corros. Sci. 2011, 53, 2803–2814. [Google Scholar] [CrossRef]
- Fernandez, I.; Bairán, J.M.; Marí, A.R. Corrosion effects on the mechanical properties of reinforcing steel bars. Fatigue and σ–ε behavior. Constr. Build. Mater. 2015, 101, 772–783. [Google Scholar] [CrossRef]
- Verma, S.K.; Bhadauria, S.S.; Akhtar, S. Monitoring Corrosion of Steel Bars in Reinforced Concrete Structures. Sci. World J. 2014, 2014, 957904. [Google Scholar] [CrossRef] [PubMed]
- Zaki, A.; Chai, H.K.; Aggelis, D.G.; Alver, N. Non-Destructive Evaluation for Corrosion Monitoring in Concrete: A Review and Capability of Acoustic Emission Technique. Sensors 2015, 15, 19069–19101. [Google Scholar] [CrossRef] [PubMed]
- Klysz, G.; Balayssac, J.-P.; Laurens, S. Spectral analysis of radar surface waves for non-destructive evaluation of cover concrete. NDT E Int. 2004, 37, 221–227. [Google Scholar] [CrossRef]
- Lai, W.; Kou, S.; Tsang, W.; Poon, C. Characterization of concrete properties from dielectric properties using ground penetrating radar. Cem. Concr. Res. 2009, 39, 687–695. [Google Scholar] [CrossRef]
- Lai, W.-L.; Kind, T.; Stoppel, M.; Wiggenhauser, H. Measurement of Accelerated Steel Corrosion in Concrete Using Ground-Penetrating Radar and a Modified Half-Cell Potential Method. J. Infrastruct. Syst. 2013, 19, 205–220. [Google Scholar] [CrossRef]
- Kordatos, E.Z.; Strantza, M.; Soulioti, D.V.; Matikas, T.E.; Aggelis, D.G. Combined NDT methods for characterization of subsurface cracks in concrete. SPIE 2011, 7982, 79820W. [Google Scholar] [CrossRef]
- Bagavathiappan, S.; Lahiri, B.; Saravanan, T.; Philip, J.; Jayakumar, T. Infrared thermography for condition monitoring—A review. Infrared Phys. Technol. 2013, 60, 35–55. [Google Scholar] [CrossRef]
- Washer, G.; Bolleni, N.; Fenwick, R. Thermographic Imaging of Subsurface Deterioration in Concrete Bridges. Transp. Res. Rec. J. Transp. Res. Board 2010, 2201, 27–33. [Google Scholar] [CrossRef]
- Ervin, B.L.; Bernhard, J.T.; Kuchma, D.A.; Reis, H. Monitoring general corrosion of rebar embedded in mortar using high-frequency guided mechanical waves. Sens. Smart Struct. Technol. Civ. Mech. Aerosp. Syst. 2007, 6529, 65291. [Google Scholar] [CrossRef]
- Carino, N.J. Nondestructive techniques to investigate corrosion status. J. Perform. Constr. Facil. 1999, 13, 96–106. [Google Scholar] [CrossRef]
- Vedalakshmi, R.; Balamurugan, L.; Saraswathy, V.; Kim, S.-H.; Ann, K.Y. Reliability of Galvanostatic Pulse Technique in assessing the corrosion rate of rebar in concrete structures: Laboratory vs field studies. KSCE J. Civ. Eng. 2010, 14, 867–877. [Google Scholar] [CrossRef]
- Mansfeld, F. Discussion: Electrochemical Techniques for Studying Corrosion of Reinforcing Steel: Limitations and Advantages. Corrosion 2005, 61, 739–742. [Google Scholar] [CrossRef]
- Rocío, N.A.M.; Nicolás, N.; Isabel, L.P.M.; José, R.; Linilson, P. Magnetic Barkhausen Noise and Magneto Acoustic Emission in Stainless Steel Plates. Procedia Mater. Sci. 2015, 8, 674–682. [Google Scholar] [CrossRef]
- Yang, L.; Liu, B.; Chen, L.; Gao, S. The quantitative interpretation by measurement using the magnetic memory method (MMM)-based on density functional theory. NDT E Int. 2013, 55, 15–20. [Google Scholar] [CrossRef]
- Nair, A.; Cai, C.S. Acoustic emission monitoring of bridges: Review and case studies. Eng. Struct. 2010, 32, 1704–1714. [Google Scholar] [CrossRef]
- Xia, R.; Zhou, J.; Zhang, H.; Liao, L.; Zhao, R.; Zhang, Z. Quantitative Study on Corrosion of Steel Strands Based on Self-Magnetic Flux Leakage. Sensors 2018, 18, 1396. [Google Scholar] [CrossRef]
- Sun, Y.; Kang, Y. Magnetic mechanisms of magnetic flux leakage nondestructive testing. Appl. Phys. Lett. 2013, 103, 184104. [Google Scholar] [CrossRef]
- Wu, D.; Liu, Z.; Wang, X.; Su, L. Composite magnetic flux leakage detection method for pipelines using alternating magnetic field excitation. NDT E Int. 2017, 91, 148–155. [Google Scholar] [CrossRef]
- Suresh, V.; Abudhair, A. Dipole Model to Predict the Rectangular Defect on Ferromagnetic Pipe. J. Magn. 2016, 21, 437–441. [Google Scholar] [CrossRef]
- Liu, B.; Cao, Y.; Zhang, H.; Lin, Y.; Sun, W.; Xu, B. Weak magnetic flux leakage: A possible method for studying pipeline defects located either inside or outside the structures. NDT E Int. 2015, 74, 81–86. [Google Scholar] [CrossRef]
- Shi, Y.; Zhang, C.; Li, R.; Cai, M.; Jia, G. Theory and Application of Magnetic Flux Leakage Pipeline Detection. Sensors 2015, 15, 31036–31055. [Google Scholar] [CrossRef] [PubMed]
- Li, X.-B.; Li, X.; Chen, L.; Feng, P.-F.; Wang, H.-D.; Huang, Z.-Y. Numerical simulation and experiments of magnetic flux leakage inspection in pipeline steel. J. Mech. Sci. Technol. 2009, 23, 109–113. [Google Scholar] [CrossRef]
- Amineh, R.K.; Nikolova, N.K.; Reilly, J.P.; Hare, J.R. Characterization of Surface-Breaking Cracks Using One Tangential Component of Magnetic Leakage Field Measurements. IEEE Trans. Magn. 2008, 44, 516–524. [Google Scholar] [CrossRef]
- Tsukada, K.; Yoshioka, M.; Kawasaki, Y.; Kiwa, T. Detection of back-side pit on a ferrous plate by magnetic flux leakage method with analyzing magnetic field vector. NDT E Int. 2010, 43, 323–328. [Google Scholar] [CrossRef]
- Suresh, V.; Abudhahir, A. An Analytical Model for Prediction of Magnetic Flux Leakage from Surface Defects in Ferromagnetic Tubes. Meas. Sci. Rev. 2016, 16, 8–13. [Google Scholar] [CrossRef]
- Suresh, V.; Abudhahir, A.; Daniel, J. Characterization of Defects on Ferromagnetic Tubes Using Magnetic Flux Leakage. IEEE Trans. Magn. 2019, 55, 6200510. [Google Scholar] [CrossRef]
- Daniel, J.; Abudhahir, A.; Paulin, J.J. Magnetic Flux Leakage (MFL) based Defect Characterization of Steam Generator Tubes using Artificial Neural Networks. J. Magn. 2017, 22, 34–42. [Google Scholar] [CrossRef]
- Kim, J.-W.; Park, S. Magnetic flux leakage–based local damage detection and quantification for steel wire rope non-destructive evaluation. J. Intell. Mater. Syst. Struct. 2018, 29, 3396–3410. [Google Scholar] [CrossRef]
- Zhang, D.; Zhang, E.; Yan, X. Quantitative method for detecting internal and surface defects in wire rope. NDT E Int. 2021, 119, 102405. [Google Scholar] [CrossRef]
- Liu, S.; Sun, Y.; Jiang, X.; Kang, Y. Comparison and analysis of multiple signal processing methods in steel wire rope defect detection by hall sensor. Meas. J. Int. Meas. Confed. 2020, 171, 108768. [Google Scholar] [CrossRef]
- Zhong, X.Y.; Zhang, X.H. Research of Non-Destructive Testing of Wire Rope Using Magnetic Flux Leakage. Appl. Mech. Mater. 2012, 189, 255–259. [Google Scholar] [CrossRef]
- Editor, S.I. Non-Destructive Testing of Steel Wire Rope Using Magnetic Flux Leakage: Principle, Sensor Design and Signal Wavelet Analysis. Int. J. Simul. Syst. Sci. Technol. 2016, 17, 8. [Google Scholar] [CrossRef]
- Jia, Y.; Liang, K.; Wang, P.; Ji, K.; Xu, P. Enhancement method of magnetic flux leakage signals for rail track surface defect detection. IET Sci. Meas. Technol. 2020, 14, 711–717. [Google Scholar] [CrossRef]
- Ramírez, A.R.; Mason, J.S.; Pearson, N. Experimental study to differentiate between top and bottom defects for MFL tank floor inspections. NDT E Int. 2009, 42, 16–21. [Google Scholar] [CrossRef]
- Peng, L.; Huang, S.; Wang, S.; Zhao, W. Three-dimensional magnetic flux leakage signal analysis and imaging method for tank floor defect. J. Eng. 2018, 2018, 1865–1870. [Google Scholar] [CrossRef]
- Liu, X.; Xiao, J.; Wu, B.; He, C. A novel sensor to measure the biased pulse magnetic response in steel stay cable for the detection of surface and internal flaws. Sens. Actuators A Phys. 2018, 269, 218–226. [Google Scholar] [CrossRef]
- Shams, S.; Ghorbanpoor, A.; Lin, S.; Azari, H. Nondestructive Testing of Steel Corrosion in Prestressed Concrete Structures using the Magnetic Flux Leakage System. Transp. Res. Rec. J. Transp. Res. Board 2018, 2672, 132–144. [Google Scholar] [CrossRef]
- Zhao, Q.; Zhou, J.; Xia, Q.; Zhang, S.; Zhang, H. Non-Destructive Testing of Steel Corrosion Fluctuation Parameters Based on Spontaneous Magnetic Flux Leakage and Its Relationship with Steel Bar Diameter. Materials 2019, 12, 4116. [Google Scholar] [CrossRef]
- Yang, D.; Qiu, J.; Di, H.; Zhao, S.; Zhou, J.; Yang, F. Quantitative Evaluation of Corrosion Degrees of Steel Bars Based on Self-Magnetic Flux Leakage. Metals 2019, 9, 952. [Google Scholar] [CrossRef]
- Scheel, H.; Hillemeier, B. Location of Prestressing Steel Fractures in Concrete. J. Mater. Civ. Eng. 2003, 15, 228–234. [Google Scholar] [CrossRef]
- Fernandes, B.; Titus, M.; Nims, D.K.; Ghorbanpoor, A.; Devabhaktuni, V. Field Test of Magnetic Methods for Corrosion Detection in Prestressing Strands in Adjacent Box-Beam Bridges. J. Bridge. Eng. 2012, 17, 984–988. [Google Scholar] [CrossRef]
- Mosharafi, M.; Mahbaz, S.; Dusseault, M. Size and location detection of transverse cracks using a passive magnetic method. J. Int. Meas. Confed. 2020, 154, 107485. [Google Scholar] [CrossRef]
- Zhang, H.; Liao, L.; Zhao, R.; Zhou, J.; Yang, M.; Xia, R. The Non-Destructive Test of Steel Corrosion in Reinforced Concrete Bridges Using a Micro-Magnetic Sensor. Sensors 2016, 16, 1439. [Google Scholar] [CrossRef]
- Azari, H.; Ghorbanpoor, A.; Shams, S. Development of Robotic Nondestructive Testing of Steel Corrosion of Prestressed Concrete Bridge Girders using Magnetic Flux Leakage System. Transp. Res. Rec. J. Transp. Res. Board 2020, 2674, 466–476. [Google Scholar] [CrossRef]
- Diederich, H.; Vogel, T. Evaluation of Reinforcing Bars Using the Magnetic Flux Leakage Method. J. Infrastruct. Syst. 2017, 23, B4016001. [Google Scholar] [CrossRef]
- Mosharafi, M.; Mahbaz, S.; Dusseault, M. Bridge deck assessment using infrastructure corrosion assessment magnetic method (iCAMM™) technology, a case study of a culvert in Markham city, Ontario, Canada. NDT E Int. 2020, 116, 102356. [Google Scholar] [CrossRef]
- Sun, Y.; Liu, S.; Deng, Z.; Tang, R.; Ma, W.; Tian, X.; Kang, Y.; He, L. Magnetic flux leakage structural health monitoring of concrete rebar using an open electromagnetic excitation technique. Struct. Health Monit. 2018, 17, 121–134. [Google Scholar] [CrossRef]
- Fu, C.; Huang, J.; Dong, Z.; Yan, W.; Gu, X.-L. Experimental and numerical study of an electromagnetic sensor for non-destructive evaluation of steel corrosion in concrete. Sens. Actuators A Phys. 2020, 315, 112371. [Google Scholar] [CrossRef]
- Jiang, S.; Wang, H.; Liu, A. Rebar corrosion monitoring using magnetic gradient and partial modulus. Measurement 2020, 164, 107994. [Google Scholar] [CrossRef]
- Qiu, J.; Zhang, H.; Zhou, J.; Zhang, W. An SMFL-based non-destructive quantification method for the localized corrosion cross-sectional area of rebar. Corros. Sci. 2021, 192, 109793. [Google Scholar] [CrossRef]
- Li, Z.; Jin, Z.; Zhao, T.; Wang, P.; Li, Z.; Xiong, C.; Zhang, K. Use of a novel electro-magnetic apparatus to monitor corrosion of reinforced bar in concrete. Sens. Actuators A Phys. 2019, 286, 14–27. [Google Scholar] [CrossRef]






















| Researchers | Location | Target | Experimental Scale | Defect Characterization | Remarks | ||
|---|---|---|---|---|---|---|---|
| Laboratory | Actual Structure | Detection | Quantification | ||||
| Shams et al. [40] | USA | Steel Tendons | √ | √ | √ | X | Corrosion extent was identified on prestressed steel strands using magnetostatic and transient numerical method |
| Q. Zhao et al. [41] | China | Reinforcing Steel | √ | X | √ | X | For evaluating steel bars’ rust, the linear rate of change in the tangential component curve of magnetic flux leakage signals was used |
| D. Yang et al. [42] | China | Reinforcing Steel | √ | X | √ | X | According to the magnetic dipole model, self-magnetic flux leakage for V-shaped corrosion defects was simulated, and an experimental index “K” was established to characterize corrosion severity for steel bars |
| H. Scheel et al. [43] | Germany | Steel Tendons | X | √ | √ | X | Magnetic field sensor signals of tendons were used for detecting prestressed wire fractures in pre-tensioned and post-tensioned concrete structures |
| B. Fernandes et al. [44] | USA | Steel Tendons | X | √ | √ | X | With the magnetic flux leakage method, hidden corrosion and prestressing strand breaks of box-beam bridges were predicted |
| M. Mosharafi et al. [45] | Canada | Reinforcing Steel | √ | X | √ | X | A magnetic-based method was used to assess the magnetic properties of defective rebars with transverse cracks |
| H. Zhang et al. [46] | China | Reinforcing Steel | √ | X | √ | X | Three-dimensional digital micromagnetic-sensor-based measurements for tangential curves of magnetic field were used to evaluate and detect inner steel corrosion by self-magnetic flux leakage |
| H. Azari et al. [47] | USA | Steel Tendons | √ | X | √ | X | To detect cross-sectional loss in steel strands in prestressed concrete bridge girders (I-beams), a dynamic test setup was used to inspect the corroded zone |
| H. Diederich et al. [48] | Switzerland | Reinforcing Steel | √ | X | √ | X | By developing a simultaneous magnetization and defect detection device, a qualitative analysis of magnetic flux leakage signals was conducted under various defect conditions of reinforcing steel |
| M. Mosharafi et al. [49] | Canada | Reinforcing Steel | X | √ | √ | √ | The iCAMM scanner device was used to assess the corrosion of reinforcements in a bridge deck using magnetic methods |
| Y. Sun et al. [50] | China | Reinforcing Steel | √ | X | √ | X | By introducing an open electromagnetic coil excitation technique, defects in rebars were detected by magnetic flux leakage |
| C. Fu, J. Huang, Z. Dong et al. [51] | China | Reinforcing Steel | √ | X | √ | √ | An electromagnetic-based apparatus was developed for detecting and monitoring corrosion in reinforcing steel, and a linear relationship was found between the magnetic sensor signals and the corrosion mass loss |
| S. Jiang et al. [52] | China | Reinforcing Steel | √ | X | √ | √ | The cross-sectional area and weight loss ratio for rebar in uniform corrosion conditions were calculated using partial modulus and magnetic gradient, which consider the rebar’s own magnetic characteristics |
| J. Qiu et al. [53] | China | Reinforcing Steel | √ | X | √ | √ | By utilizing different quantitative indicators, a quantitative evaluation of a cross-sectional area of rebar was proposed based on the self-magnetic flux leakage method in localized corrosion |
| Z. Li et al. [54] | China | Reinforcing Steel | √ | X | √ | X | Self-built electromagnetic apparatus equipped with Hall effect sensors was used to monitor and detect corrosion of reinforcing steel in concrete |
| Simulation Case | Dimension of Defects | ||
|---|---|---|---|
| Width (mm) | Depth (mm) | ||
| New Rebar | Specimen A | 0 | 0 |
| Saw Cutting Defect (CNC Machine) | Specimen 1 | 2 | 2 |
| Specimen 2 | 2 | 5 | |
| Specimen 3 | 2 | 10 | |
| Specimen 4 | 5 | 2 | |
| Specimen 5 | 5 | 5 | |
| Specimen 6 | 5 | 10 | |
| Specimen 7 | 10 | 2 | |
| Specimen 8 | 10 | 5 | |
| Specimen 9 | 10 | 10 | |
| Grinding Defects (Rib Loss) | Specimen 10 | 1 Rib Loss | |
| Specimen 11 | 3 Rib Loss | ||
| Specimen 12 | 5 Rib Loss | ||
| Experimental and Numerical Cross-Correlation | ||||||||||||
|---|---|---|---|---|---|---|---|---|---|---|---|---|
| New | Saw Cutting Defects | Grinding Defects | ||||||||||
| 2 × 2 | 2 × 5 | 2 × 10 | 5 × 2 | 5 × 5 | 5 × 10 | 10 × 2 | 10 × 5 | 10 × 10 | 1 Rib | 3 Rib | 5 Rib | |
| X-Component—SS495 Hall Effect, (Single-axis Sensor) Correlation | ||||||||||||
| 0.942 | 0.951 | 0.949 | 0.656 | 0.941 | 0.966 | 0.694 | 0.91 | 0.86 | 0.726 | 0.886 | 0.65 | 0.611 |
| X-Component—TLV493D-A1B6, (3-axis Sensor) Correlation | ||||||||||||
| 0.962 | 0.959 | 0.947 | 0.70 | 0.821 | 0.933 | 0.803 | 0.949 | 0.915 | 0.789 | 0.957 | 0.92 | 0.939 |
| Y-Component—TLV493D-A1B6, (3-axis Sensor) Correlation | ||||||||||||
| 0.918 | 0.971 | 0.970 | 0.808 | 0.951 | 0.892 | 0.6 | 0.942 | 0.926 | 0.938 | 0.93 | 0.81 | 0.56 |
Disclaimer/Publisher’s Note: The statements, opinions and data contained in all publications are solely those of the individual author(s) and contributor(s) and not of MDPI and/or the editor(s). MDPI and/or the editor(s) disclaim responsibility for any injury to people or property resulting from any ideas, methods, instructions or products referred to in the content. |
© 2023 by the authors. Licensee MDPI, Basel, Switzerland. This article is an open access article distributed under the terms and conditions of the Creative Commons Attribution (CC BY) license (https://creativecommons.org/licenses/by/4.0/).
Share and Cite
Yousaf, J.; Harseno, R.W.; Kee, S.-H.; Yee, J.-J. Evaluation of the Size of a Defect in Reinforcing Steel Using Magnetic Flux Leakage (MFL) Measurements. Sensors 2023, 23, 5374. https://doi.org/10.3390/s23125374
Yousaf J, Harseno RW, Kee S-H, Yee J-J. Evaluation of the Size of a Defect in Reinforcing Steel Using Magnetic Flux Leakage (MFL) Measurements. Sensors. 2023; 23(12):5374. https://doi.org/10.3390/s23125374
Chicago/Turabian StyleYousaf, Jamal, Regidestyoko Wasistha Harseno, Seong-Hoon Kee, and Jurng-Jae Yee. 2023. "Evaluation of the Size of a Defect in Reinforcing Steel Using Magnetic Flux Leakage (MFL) Measurements" Sensors 23, no. 12: 5374. https://doi.org/10.3390/s23125374
APA StyleYousaf, J., Harseno, R. W., Kee, S.-H., & Yee, J.-J. (2023). Evaluation of the Size of a Defect in Reinforcing Steel Using Magnetic Flux Leakage (MFL) Measurements. Sensors, 23(12), 5374. https://doi.org/10.3390/s23125374

