Damage Detection and Localization of Bridge Deck Pavement Based on Deep Learning
Abstract
1. Introduction
2. Proposed Approach
2.1. Workflow of Proposed Method
2.2. Stage 1: Damage Detection
2.2.1. YOLOv7 Algorithm
2.2.2. Pavement Damage Detected by YOLOv7
2.3. Stage 2: Lane Line Segmentation
2.3.1. LaneNet Model
2.3.2. Revised LaneNet Model
2.4. Stage 3: Lane Localization of Bridge Pavement Damage
| Algorithm 1 Pseudo-code of proposed image processing algorithm |
| Task: Generate the set of lane areas |
| Input: area set of binary lane line segmentation , real-time video frame count , image corner point set , and are the lower left corner and the lower right corner of the image, respectively. Final set of lane areas , is the number of lane areas, and is the number of lane line area. |
| Initialization: |
| While > 0 |
| Step 1: Traverse and search the minimum enclosing rectangle for |
| Step 2: Sort the coordinates of short sides in the set and form the set of coordinate points |
| Step 3: Sort by rectange length size and form the hypothetical lane lines set |
| Step 4: Iterate over , when , delete and form the set of new lane lines |
| Step 5: Based on , calculate the set of inclination angle Step 6: Traverse , when , merge and , and form the final set of lane line collection |
| Step 7: Iterate over , when , form |
| Step 8: Generate the final lane area set |
| Step 9: repeat Step 1 to Step 8 |
| End |
| Output: |
3. Training and Comparison of Damage Detection Model
3.1. Dataset Preparation
3.2. Model Training of YOLOv7
3.3. Algorithm Performance Analysis
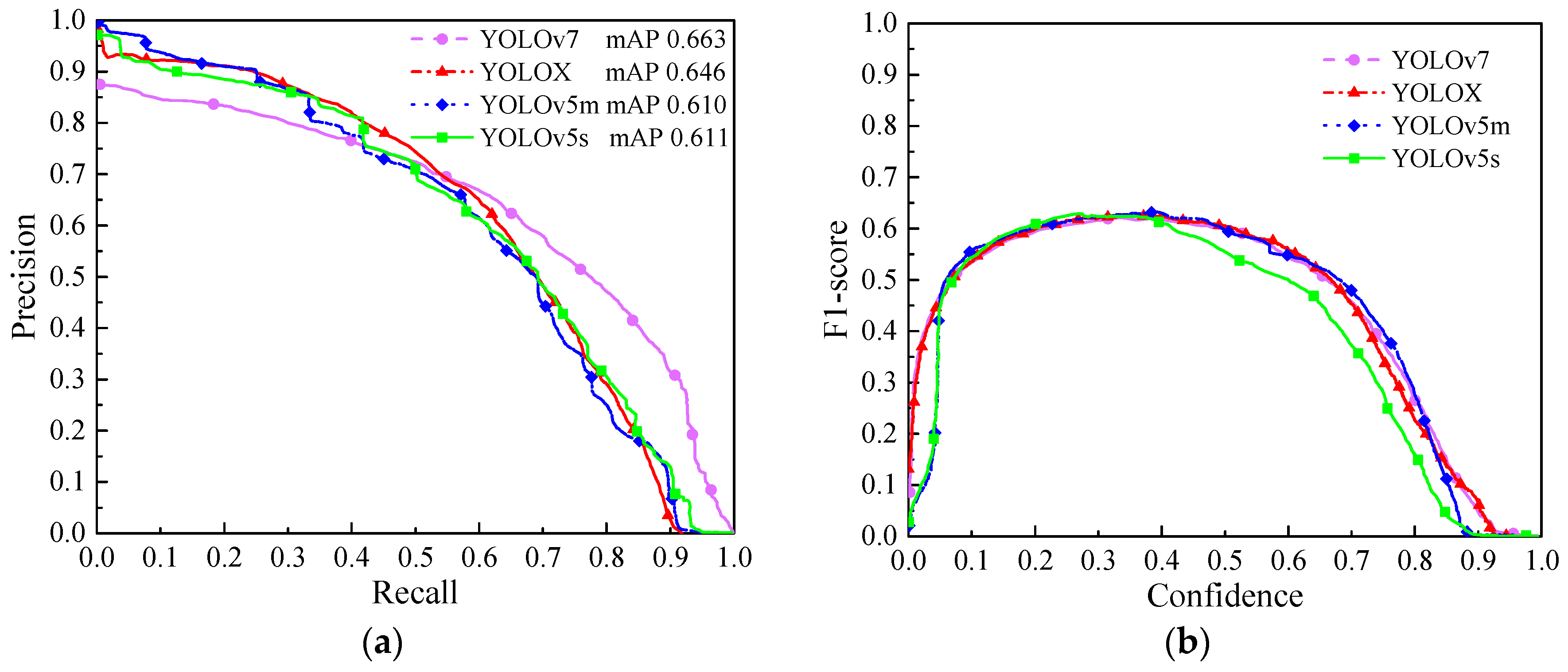
3.4. Comparison of Damage Detection Results
4. Lane Localization of Pavement Damage
4.1. Lane Line Segmentation Effect
4.2. Localization Accuracy Analysis
4.3. Engineering Application
5. Conclusions
- (1)
- At the confidence threshold of 0.5 and the IOU threshold of 0.45, the mAP value of YOLOv7 in the preprocessed RDD2022 dataset reaches 0.663, higher than other models in the YOLO series;
- (2)
- The lane localization accuracy of the revised LaneNet is 0.933, higher than that of instance segmentation. Operated on NVIDIA GeForce RTX 3090, the inference speed of the revised LaneNet is 12.3 FPS, almost twice that of the instance segmentation;
- (3)
- The proposed method was verified on the RDD2022 dataset and applied to the fourth bridge of the Yangtze River in Nanjing, providing a reference for the maintenance of bridge deck pavement.
Author Contributions
Funding
Institutional Review Board Statement
Informed Consent Statement
Data Availability Statement
Acknowledgments
Conflicts of Interest
References
- Park, H.M.; Choi, J.Y.; Lee, H.J.; Hwang, E.Y. Performance evaluation of a high durability asphalt binder and a high durability asphalt mixture for bridge deck pavements. Constr. Build. Mater. 2009, 23, 219–225. [Google Scholar] [CrossRef]
- Liu, Y.; Qian, Z.; Yin, Y.; Ren, H. Investigation on Interlayer Behaviors of a Double-Layered Heterogeneous Asphalt Pavement Structure for Steel Bridge Deck. J. Mater. Civ. Eng. 2022, 34, 04022062. [Google Scholar] [CrossRef]
- Kim, T.W.; Baek, J.; Lee, H.J.; Lee, S.Y. Effect of pavement design parameters on the behaviour of orthotropic steel bridge deck pavements under traffic loading. Int. J. Pavement Eng. 2014, 15, 471–482. [Google Scholar] [CrossRef]
- Zhang, D.; Zou, Q.; Lin, H.; Xu, X.; He, L.; Gui, R.; Li, Q. Automatic pavement defect detection using 3D laser profiling technology. Autom. Constr. 2018, 96, 350–365. [Google Scholar] [CrossRef]
- Habibzadeh-Bigdarvish, O.; Yu, X.; Lei, G.; Li, T.; Puppala, A.J. Life-Cycle cost-benefit analysis of Bridge deck de-icing using geothermal heat pump system: A case study of North Texas. Sustain. Cities Soc. 2019, 47, 101492. [Google Scholar] [CrossRef]
- He, Z.; Li, W.; Salehi, H.; Zhang, H.; Zhou, H.; Jiao, P. Integrated structural health monitoring in bridge engineering. Autom. Constr. 2022, 136, 104168. [Google Scholar] [CrossRef]
- Rao, A.S.; Nguyen, T.; Le, S.T.; Palaniswami, M.; Ngo, T. Attention recurrent residual U-Net for predicting pixel-level crack widths in concrete surfaces. Struct. Health Monit. 2022, 21, 2732–2749. [Google Scholar] [CrossRef]
- Hoskere, V.; Narazaki, Y.; Hoang, T.A.; Spencer, B., Jr. MaDnet: Multi-task semantic segmentation of multiple types of structural materials and damage in images of civil infrastructure. J. Civ. Struct. Health Monit. 2020, 10, 757–773. [Google Scholar] [CrossRef]
- Kim, H.; Sim, S.H.; Spencer, B.F. Automated concrete crack evaluation using stereo vision with two different focal lengths. Autom. Constr. 2022, 135, 104136. [Google Scholar] [CrossRef]
- Omer, M.; Margetts, L.; Mosleh, M.H.; Cunningham, L.S. Inspection of concrete bridge structures: Case study comparing conventional techniques with a virtual reality approach. J. Bridge Eng. 2021, 26, 05021010. [Google Scholar] [CrossRef]
- Ali, R.; Cha, Y.J. Subsurface damage detection of a steel bridge using deep learning and uncooled micro-bolometer. Constr. Build. Mater. 2019, 226, 376–387. [Google Scholar] [CrossRef]
- Wang, H.; Yu, Y.; Cai, Y.; Chen, X.; Chen, L.; Li, Y. Soft-weighted-average ensemble vehicle detection method based on single-stage and two-stage deep learning models. IEEE Trans. Intell. Veh. 2020, 6, 100–109. [Google Scholar] [CrossRef]
- Nabati, R.; Qi, H. Rrpn: Radar region proposal network for object detection in autonomous vehicles. In Proceedings of the IEEE International Conference on Image Processing (ICIP), Taipei, Taiwan, 22–25 September 2019; pp. 3093–3097. [Google Scholar]
- Ren, S.; He, K.; Girshick, R.; Sun, J. Faster R-CNN: Towards Real-Time Object Detection with Region Proposal Networks. IEEE Trans. Pattern Anal. Mach. Intell. 2017, 39, 1137–1149. [Google Scholar] [CrossRef] [PubMed]
- Gou, C.; Peng, B.; Li, T.; Gao, Z. Pavement crack detection based on the improved faster-rcnn. In Proceedings of the 14th International Conference on Intelligent Systems and Knowledge Engineering (ISKE), Dalian, China, 14–16 November 2019; pp. 962–967. [Google Scholar]
- Chen, Q.; Gan, X.; Huang, W.; Feng, J.; Shim, H. Road damage detection and classification using mask R-CNN with DenseNet backbone. Comput. Mater. Contin. 2020, 65, 2201–2215. [Google Scholar] [CrossRef]
- Sekar, A.; Perumal, V. Automatic road crack detection and classification using multi-tasking faster RCNN. J. Intell. Fuzzy Syst. 2021, 41, 6615–6628. [Google Scholar] [CrossRef]
- Wu, P.; Liu, A.; Fu, J.; Ye, X.; Zhao, Y. Autonomous surface crack identification of concrete structures based on an improved one-stage object detection algorithm. Eng. Struct. 2022, 272, 114962. [Google Scholar] [CrossRef]
- Li, M.; Zhang, Z.; Lei, L.; Wang, X.; Guo, X. Agricultural greenhouses detection in high-resolution satellite images based on convolutional neural networks: Comparison of faster R-CNN, YOLO v3 and SSD. Sensors 2020, 20, 4938. [Google Scholar] [CrossRef]
- Majidifard, H.; Adu-Gyamfi, Y.; Buttlar, W.G. Deep machine learning approach to develop a new asphalt pavement condition index. Constr. Build. Mater. 2020, 247, 118513. [Google Scholar] [CrossRef]
- Du, Y.; Pan, N.; Xu, Z.; Deng, F.; Shen, Y.; Kang, H. Pavement distress detection and classification based on YOLO network. Int. J. Pavement Eng. 2021, 22, 1659–1672. [Google Scholar] [CrossRef]
- Ma, D.; Fang, H.; Wang, N.; Zhang, C.; Dong, J.; Hu, H. Automatic detection and counting system for pavement cracks based on PCGAN and YOLO-MF. IEEE trans. Intell. Transp. Syst. 2022, 23, 22166–22178. [Google Scholar] [CrossRef]
- Du, F.J.; Jiao, S.J. Improvement of lightweight convolutional neural network model based on YOLO algorithm and its research in pavement defect detection. Sensors 2022, 22, 3537. [Google Scholar] [CrossRef] [PubMed]
- Wang, C.Y.; Bochkovskiy, A.; Liao, H.-Y.M. YOLOv7: Trainable bag-of-freebies sets new state-of-the-art for real-time object detectors. arXiv 2022, arXiv:2207.02696. [Google Scholar]
- Paravisi, M.; HSantos, D.; Jorge, V.; Heck, G.; Gonçalves, L.M.; Amory, A. Unmanned surface vehicle simulator with realistic environmental disturbances. Sensors 2019, 19, 1068. [Google Scholar] [CrossRef]
- Wu, H.; Yao, L.; Xu, Z.; Li, Y.; Ao, X.; Chen, Q.; Li, Z.; Meng, B. Road pothole extraction and safety evaluation by integration of point cloud and images derived from mobile mapping sensors. Adv. Eng. Inform. 2019, 42, 100936. [Google Scholar] [CrossRef]
- Qian, Y.; Dolan, J.M.; Yang, M. DLT-Net: Joint detection of drivable areas, lane lines, and traffic objects. IEEE trans. Intell. Transp. Syst. 2019, 21, 4670–4679. [Google Scholar] [CrossRef]
- Chiu, K.-Y.; Lin, S.-F. Lane detection using color-based segmentation. In Proceedings of the IEEE Intelligent Vehicles Symposium, Las Vegas, NV, USA, 6–8 June 2005; pp. 706–711. [Google Scholar]
- Ma, C.; Xie, M. A method for lane detection based on color clustering. In Proceedings of the third International Conference on Knowledge Discovery and Data Mining, Phuket, Thailand, 9–10 January 2010; pp. 200–203. [Google Scholar]
- Tu, C.; Van Wyk, B.; Hamam, Y.; Djouani, K.; Du, S. Vehicle position monitoring using Hough transform. In Proceedings of the International Conference on Electronic Engineering and Computer Science (EECS), Beijing, China, 22–23 May 2013; pp. 316–322. [Google Scholar]
- Wu, P.C.; Chang, C.Y.; Lin, C.H. Lane-mark extraction for automobiles under complex conditions. Pattern Recognit. 2014, 47, 2756–2767. [Google Scholar] [CrossRef]
- Dollár, P.; Zitnick, C.L. Fast edge detection using structured forests. IEEE Trans. Pattern Anal. Mach. Intell. 2014, 37, 1558–1570. [Google Scholar] [CrossRef] [PubMed]
- Ozgunalp, U.; Dahnoun, N. Lane detection based on improved feature map and efficient region of interest extraction. In Proceedings of the IEEE Global Conference on Signal and Information Processing (GlobalSIP), Orlando, FL, USA, 14–16 December 2015; pp. 923–927. [Google Scholar]
- Tapia-Espinoza, R.; Torres-Torriti, M. A comparison of gradient versus color and texture analysis for lane detection and tracking. In Proceedings of the 6th Latin American Robotics Symposium (LARS), Valparaiso, Chile, 29–30 October 2009; pp. 1–6. [Google Scholar]
- Jung, C.R.; Kelber, C.R. Lane following and lane departure using a linear-parabolic model. Image Vis. Comput. 2005, 23, 1192–1202. [Google Scholar] [CrossRef]
- Wang, J.; Chen, Y.; Xie, J.; Lin, H. Model-based lane detection and lane following for intelligent vehicles. In Proceedings of the Second International Conference on Intelligent Human-Machine Systems and Cybernetics (IHMSC), Nanjing, China, 26–28 August 2010; pp. 170–175. [Google Scholar]
- Li, W.; Gong, X.; Wang, Y.; Liu, P. A lane marking detection and tracking algorithm based on sub-regions. In Proceedings of the International Conference on Informative and Cybernetics for Computational Social Systems (ICCSS), Qingdao, China, 9–10 October 2014; pp. 68–73. [Google Scholar]
- Xu, S.; Ye, P.; Han, S.; Sun, H.; Jia, Q. Road lane modeling based on RANSAC algorithm and hyperbolic model. In Proceedings of the 3rd International Conference on Systems and Informatics (ICSAI), Shanghai, China, 19–21 November 2016; pp. 97–101. [Google Scholar]
- Mamun, A.A.; Ping, E.P.; Hossen, J.; Tahabilder, A.; Jahan, B. A Comprehensive Review on Lane Marking Detection Using Deep Neural Networks. Sensors 2022, 22, 7682. [Google Scholar] [CrossRef]
- Gurghian, A.; Koduri, T.; Bailur, S.V.; Carey, K.J.; Murali, V.N. Deeplanes: End-to-end lane position estimation using deep neural networksa. In Proceedings of the IEEE Conference on Computer Vision and Pattern Recognition Workshops, Seattle, WA, USA, 14–19 June 2020; pp. 38–45. [Google Scholar]
- Liu, R.; Yuan, Z.; Liu, T.; Xiong, Z. End-to-end lane shape prediction with transformers. In Proceedings of the IEEE/CVF Winter Conference on Applications of Computer Vision, Waikoloa, HI, USA, 3–8 January 2021; pp. 3694–3702. [Google Scholar]
- Pan, X.; Shi, J.; Luo, P.; Wang, X.; Tang, X. Spatial as deep: Spatial cnn for traffic scene understanding. In Proceedings of the AAAI Conference on Artificial Intelligence, New Orleans, LA, USA, 2–7 February 2018. [Google Scholar]
- Neven, D.; De Brabandere, B.; Georgoulis, S.; Proesmans, M.; Van Gool, L. Towards end-to-end lane detection: An instance segmentation approach. In Proceedings of the IEEE Intelligent Vehicles Symposium (IV), Suzhou, China, 26–30 June 2018; pp. 286–291. [Google Scholar]
- Ma, N.; Zhang, X.; Zheng, H.T.; Sun, J. Shufflenet v2: Practical guidelines for efficient cnn architecture design. In Proceedings of the European Conference on Computer Vision (ECCV), Munich, Germany, 8–14 September 2018; pp. 116–131. [Google Scholar]
- Arya, D.; Maeda, H.; Ghosh, S.K.; Toshniwal, D.; Sekimoto, Y. RDD2022: A multi-national image dataset for automatic Road Damage Detection. arXiv 2022, arXiv:2209.08538. [Google Scholar]
- Shirke, S.; Udayakumar, R. Lane datasets for lane detection. In Proceedings of the 2019 International Conference on Communication and Signal Processing (ICCSP), Melmaruvathur, India, 4–6 April 2019; pp. 0792–0796. [Google Scholar]
- Wang, W.; Lin, H.; Wang, J. CNN based lane detection with instance segmentation in edge-cloud computing. J. Cloud Comput. 2020, 9, 27. [Google Scholar] [CrossRef]














| Label Name | Damage Type |
|---|---|
| D00 | Longitudinal Cracks |
| D10 | Transverse Cracks |
| D20 | Alligator Cracks |
| D40 | Potholes |
| Repair | Repairs |
| Damage Type | Direction | Year | ||||||
|---|---|---|---|---|---|---|---|---|
| 2015 | 2016 | 2017 | 2018 | 2019 | 2020 | 2021 | ||
| D00, D10 (Scratch) | upriver | 3 | 9 | 14 | 6 | 17 | 17 | 13 |
| downriver | 2 | 3 | 1 | 3 | 13 | 12 | 3 | |
| In total | 5 | 12 | 15 | 9 | 30 | 29 | 16 | |
| D40 (Indentation) | upriver | 2 | 0 | 0 | 0 | 0 | 1 | 3 |
| downriver | 0 | 0 | 0 | 0 | 0 | 1 | 1 | |
| In total | 2 | 0 | 0 | 0 | 0 | 2 | 4 | |
| D10 (Construction joint) | upriver | 1 | 1 | 0 | 0 | 0 | 0 | 0 |
| downriver | 1 | 1 | 0 | 0 | 0 | 0 | 0 | |
| In total | 2 | 2 | 0 | 0 | 0 | 0 | 0 | |
| Repairs (Other cracks) | upriver | 0 | 0 | 0 | 0 | 1 | 3 | 2 |
| downriver | 0 | 0 | 0 | 0 | 1 | 1 | 6 | |
| In total | 0 | 0 | 0 | 0 | 2 | 4 | 8 | |
Disclaimer/Publisher’s Note: The statements, opinions and data contained in all publications are solely those of the individual author(s) and contributor(s) and not of MDPI and/or the editor(s). MDPI and/or the editor(s) disclaim responsibility for any injury to people or property resulting from any ideas, methods, instructions or products referred to in the content. |
© 2023 by the authors. Licensee MDPI, Basel, Switzerland. This article is an open access article distributed under the terms and conditions of the Creative Commons Attribution (CC BY) license (https://creativecommons.org/licenses/by/4.0/).
Share and Cite
Ni, Y.; Mao, J.; Fu, Y.; Wang, H.; Zong, H.; Luo, K. Damage Detection and Localization of Bridge Deck Pavement Based on Deep Learning. Sensors 2023, 23, 5138. https://doi.org/10.3390/s23115138
Ni Y, Mao J, Fu Y, Wang H, Zong H, Luo K. Damage Detection and Localization of Bridge Deck Pavement Based on Deep Learning. Sensors. 2023; 23(11):5138. https://doi.org/10.3390/s23115138
Chicago/Turabian StyleNi, Youhao, Jianxiao Mao, Yuguang Fu, Hao Wang, Hai Zong, and Kun Luo. 2023. "Damage Detection and Localization of Bridge Deck Pavement Based on Deep Learning" Sensors 23, no. 11: 5138. https://doi.org/10.3390/s23115138
APA StyleNi, Y., Mao, J., Fu, Y., Wang, H., Zong, H., & Luo, K. (2023). Damage Detection and Localization of Bridge Deck Pavement Based on Deep Learning. Sensors, 23(11), 5138. https://doi.org/10.3390/s23115138

