A Sensor for Characterisation of Liquid Materials with High Permittivity and High Dielectric Loss
Abstract
:1. Introduction
2. Resonant Properties of CSRR Structures
3. Sensitivity Analysis
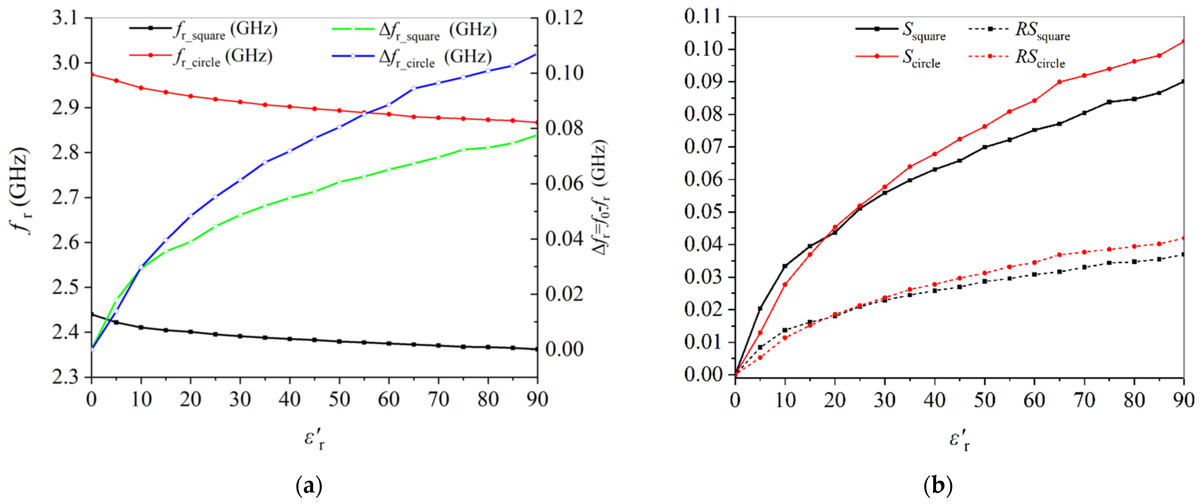
3.1. Resonant Frequency
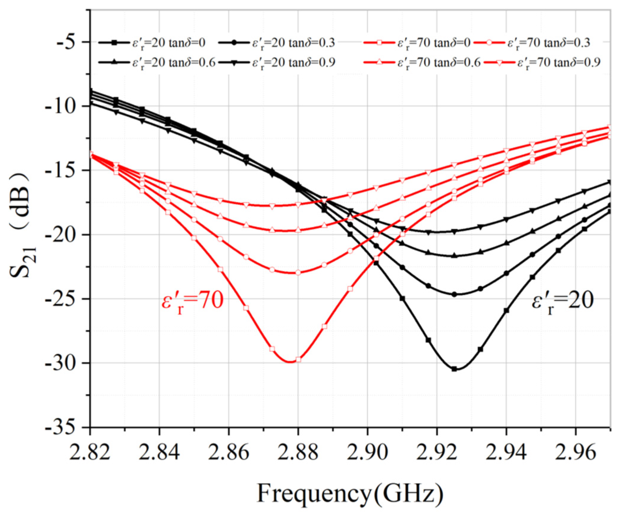
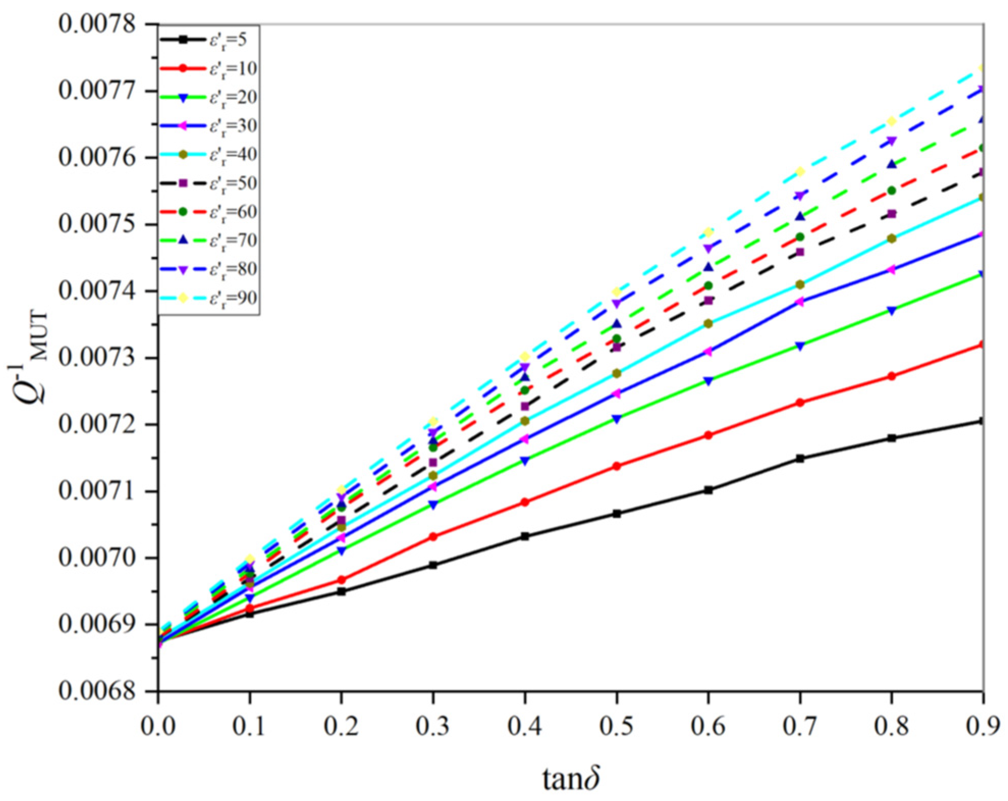
3.2. Quality Factor
4. Simulation Analysis
4.1. Building the Frequency Function for Lossless Samples
4.2. Building the Retrieval Function for Lossy Samples
5. Measurements and Results
6. Conclusions
Author Contributions
Funding
Institutional Review Board Statement
Informed Consent Statement
Data Availability Statement
Conflicts of Interest
References
- Paul, R.B.; Engin, A.E.; Aguirre, J. Dielectric and Underfill Characterization Using Cavity Resonators for Millimeter-Wave Applications. IEEE Lett. Electromagn. Compat. Pract. Appl. 2020, 2, 76–80. [Google Scholar] [CrossRef]
- Bor, J.; Lafond, O.; Merlet, H.; Le Bars, P.; Himdi, M. Technological Process to Control the Foam Dielectric Constant Application to Microwave Components and Antennas. IEEE Trans. Compon. Packag. Manuf. Technol. 2014, 4, 938–942. [Google Scholar] [CrossRef] [Green Version]
- Okada, K.; Kurimoto, K.; Suzuki, M. Anomalous TDDB Statistics of Gate Dielectrics Caused by Charging-Induced Dynamic Stress Relaxation Under Constant–Voltage Stress. IEEE Trans. Electron Devices 2016, 63, 2268–2274. [Google Scholar] [CrossRef]
- Monkevich, J.M.; Le Sage, G.P. Design and Fabrication of a Custom-Dielectric Fresnel Multi-Zone Plate Lens Antenna Using Additive Manufacturing Techniques. IEEE Access 2019, 7, 61452–61460. [Google Scholar] [CrossRef]
- Zhengyi, Z.; Wei, F.; Yunfei, C.; Ning, G. Adaptive Scheduling for Millimeter Wave Multi-Beam Satellite Communication Systems. J. Commun. Inf. Netw. 2016, 1, 42–50. [Google Scholar] [CrossRef]
- Abedian, B.; Baker, K.N. Temperature Effects on the Electrical Conductivity of Dielectric Liquids. IEEE Trans. Dielectr. Electr. Insul. 2008, 15, 888–892. [Google Scholar] [CrossRef]
- Bobowski, J.S.; Clements, A.P. Permittivity and Conductivity Measured Using a Novel Toroidal Split-Ring Resonator. IEEE Trans. Microw. Theory Tech. 2017, 65, 2132–2138. [Google Scholar] [CrossRef] [Green Version]
- Rahman, O.; Islam, T.; Ahmad, A.; Parveen, S.; Khera, N.; Khan, S.A. Cross Capacitance Sensor for Insulation Oil Testing. IEEE Sens. J. 2021, 21, 20980–20989. [Google Scholar] [CrossRef]
- Piekarz, I.; Sorocki, J.; Wincza, K.; Gruszczynski, S. Liquids Permittivity Measurement Using Two-Wire Transmission Line Sensor. IEEE Sens. J. 2018, 18, 7458–7466. [Google Scholar] [CrossRef]
- Meyne née Haase, N.; Fuge, G.; Trieu, H.K.; Zeng, A.-P.; Jacob, A.F. Miniaturized Transmission-Line Sensor for Broadband Dielectric Characterization of Biological Liquids and Cell Suspensions. IEEE Trans. Microw. Theory Tech. 2015, 63, 3026–3033. [Google Scholar] [CrossRef]
- Ye, D.; Islam, M.S.; Yu, G.; Wang, P. A Single-Line Single-Channel Method with Closed-Form Formulas for the Characterization of Dielectric Liquids. IEEE Trans. Microw. Theory Tech. 2019, 67, 2443–2450. [Google Scholar] [CrossRef]
- Sasaki, K.; Segawa, H.; Mizuno, M.; Wake, K.; Watanabe, S.; Hashimoto, O. Development of the Complex Permittivity Measurement System for High-Loss Biological Samples Using the Free Space Method in Quasi-Millimeter and Millimeter Wave Bands. Phys. Med. Biol. 2013, 58, 1625–1633. [Google Scholar] [CrossRef]
- Alvarez, J.O.; Peñaranda-Foix, F.L.; Catalá-Civera, J.M.; Gutiérrez-Cano, J.D. Permittivity Spectrum of Low-Loss Liquid and Powder Geomaterials Using Multipoint Reentrant Cavities. IEEE Trans. Geosci. Remote Sens. 2020, 58, 3097–3112. [Google Scholar] [CrossRef]
- Massoni, E.; Siciliano, G.; Bozzi, M.; Perregrini, L. Enhanced Cavity Sensor in SIW Technology for Material Characterization. IEEE Microw. Wirel. Compon. Lett. 2018, 28, 948–950. [Google Scholar] [CrossRef]
- Withayachumnankul, W.; Jaruwongrungsee, K.; Tuantranont, A.; Fumeaux, C.; Abbott, D. Metamaterial-Based Microfluidic Sensor for Dielectric Characterization. Sens. Actuators A Phys. 2013, 189, 233–237. [Google Scholar] [CrossRef] [Green Version]
- Kiani, S.; Rezaei, P.; Navaei, M. Dual-Sensing and Dual-Frequency Microwave SRR Sensor for Liquid Samples Permittivity Detection. Measurement 2020, 160, 107805. [Google Scholar] [CrossRef]
- Juan, C.G.; Bronchalo, E.; Potelon, B.; Quendo, C.; Ávila-Navarro, E.; Sabater-Navarro, J.M. Concentration Measurement of Microliter-Volume Water–Glucose Solutions Using Q Factor of Microwave Sensors. IEEE Trans. Instrum. Meas. 2019, 68, 2621–2634. [Google Scholar] [CrossRef]
- Kiani, S.; Rezaei, P.; Fakhr, M. Dual-Frequency Microwave Resonant Sensor to Detect Noninvasive Glucose-Level Changes Through the Fingertip. IEEE Trans. Instrum. Meas. 2021, 70, 6004608. [Google Scholar] [CrossRef]
- Juan, C.G.; Potelon, B.; Quendo, C.; García-Martínez, H.; Ávila-Navarro, E.; Bronchalo, E.; Sabater-Navarro, J.M. Study of Qᵤ-Based Resonant Microwave Sensors and Design of 3-D-Printed Devices Dedicated to Glucose Monitoring. IEEE Trans. Instrum. Meas. 2021, 70, 8005716. [Google Scholar] [CrossRef]
- Vélez, P.; Su, L.; Grenier, K.; Mata-Contreras, J.; Dubuc, D.; Martín, F. Microwave Microfluidic Sensor Based on a Microstrip Splitter/Combiner Configuration and Split Ring Resonators (SRRs) for Dielectric Characterization of Liquids. IEEE Sens. J. 2017, 17, 6589–6598. [Google Scholar] [CrossRef] [Green Version]
- Su, L.; Muñoz-Enano, J.; Vélez, P.; Martel, J.; Medina, F.; Martí, F. On the Modeling of Microstrip Lines Loaded With Dumbbell Defect-Ground-Structure (DB-DGS) and Folded DB-DGS Resonators. IEEE Access 2021, 9, 150878–150888. [Google Scholar] [CrossRef]
- Su, L.; Huang, X.; Guo, W.; Wu, H. A Flexible Microwave Sensor Based on Complementary Spiral Resonator for Material Dielectric Characterization. IEEE Sens. J. 2020, 20, 1893–1903. [Google Scholar] [CrossRef]
- Kandwal, A.; Nie, Z.; Igbe, T.; Li, J.; Liu, Y.; Liu, L.W.; Hao, Y. Surface Plasmonic Feature Microwave Sensor with Highly Confined Fields for Aqueous-Glucose and Blood-Glucose Measurements. IEEE Trans. Instrum. Meas. 2021, 70, 8000309. [Google Scholar] [CrossRef]
- Cai, J.; Zhou, Y.J.; Yang, X.M. A Metamaterials-Loaded Quarter Mode SIW Microfluidic Sensor for Microliter Liquid Characterization. J. Electromagn. Waves Appl. 2019, 33, 261–271. [Google Scholar] [CrossRef]
- Chen, Y.; Hua, C.; Shen, Z. Circularly Polarized UHF RFID Tag Antenna for Wireless Sensing of Complex Permittivity of Liquids. IEEE Sens. J. 2021, 21, 26746–26754. [Google Scholar] [CrossRef]
- Jiang, Q.; Yu, Y.; Zhao, Y.; Zhang, Y.; Liu, L.; Li, Z. Ultra-Compact Effective Localized Surface Plasmonic Sensor for Permittivity Measurement of Aqueous Ethanol Solution with High Sensitivity. IEEE Trans. Instrum. Meas. 2021, 70, 6008709. [Google Scholar] [CrossRef]
- Fan, L.-C.; Zhao, W.-S.; Wang, D.-W.; Liu, Q.; Chen, S.; Wang, G. An Ultrahigh Sensitivity Microwave Sensor for Microfluidic Applications. IEEE Microw. Wirel. Compon. Lett. 2020, 30, 1201–1204. [Google Scholar] [CrossRef]
- Buragohain, A.; Mostako, A.T.T.; Das, G.S. Low-Cost CSRR Based Sensor for Determination of Dielectric Constant of Liquid Samples. IEEE Sens. J. 2021, 21, 27450–27457. [Google Scholar] [CrossRef]
- Chuma, E.L.; Iano, Y.; Fontgalland, G.; Bravo Roger, L.L. Microwave Sensor for Liquid Dielectric Characterization Based on Metamaterial Complementary Split Ring Resonator. IEEE Sens. J. 2018, 18, 9978–9983. [Google Scholar] [CrossRef]
- Lee, C.-S.; Bai, B.; Song, Q.-R.; Wang, Z.-Q.; Li, G.-F. Open Complementary Split-Ring Resonator Sensor for Dropping-Based Liquid Dielectric Characterization. IEEE Sens. J. 2019, 19, 11880–11890. [Google Scholar] [CrossRef]
- Juan, C.G.; Potelon, B.; Quendo, C.; Bronchalo, E. Microwave Planar Resonant Solutions for Glucose Concentration Sensing: A Systematic Review. Appl. Sci. 2021, 11, 7018. [Google Scholar] [CrossRef]
- Ansari, M.A.H.; Jha, A.K.; Akhtar, M.J. Design and Application of the CSRR-Based Planar Sensor for Noninvasive Measurement of Complex Permittivity. IEEE Sens. J. 2015, 15, 7181–7189. [Google Scholar] [CrossRef]
- Liu, J.-C.; Lin, H.-C.; Zeng, B.-H.; Yeh, K.-D.; Chang, D.-C. An Improved Equivalent Circuit Model for CSRR-Based Bandpass Filter Design With Even and Odd Modes. IEEE Microw. Wirel. Compon. Lett. 2010, 20, 193–195. [Google Scholar] [CrossRef]
- Gil, I.; Bonache, J.; Gil, M.; García-García, J.; Martín, F.; Marqués, R. Accurate Circuit Analysis of Resonant-Type Left Handed Transmission Lines with Inter-Resonator Coupling. J. Appl. Phys. 2006, 100, 074908. [Google Scholar] [CrossRef] [Green Version]
- Ebrahimi, A.; Withayachumnankul, W.; Al-Sarawi, S.F.; Abbott, D. Dual-Mode Behavior of the Complementary Electric-LC Resonators Loaded on Transmission Line: Analysis and Applications. J. Appl. Phys. 2014, 116, 083705. [Google Scholar] [CrossRef] [Green Version]
- Bray, J.R.; Roy, L. Measuring the Unloaded, Loaded, and External Quality Factors of One- and Two-Port Resonators Using Scattering-Parameter Magnitudes at Fractional Power Levels. IEE Proc. Microw. Antennas Propag. 2004, 151, 345–350. [Google Scholar] [CrossRef]
- Maione, G. A Rational Discrete Approximation to the Operator s0.5. IEEE Signal Processing Lett. 2006, 13, 141–144. [Google Scholar] [CrossRef]
- Bao, J.; Swicord, M.L.; Davis, C.C. Microwave Dielectric Characterization of Binary Mixtures of Water, Methanol, and Ethanol. J. Chem. Phys. 1996, 104, 4441–4450. [Google Scholar] [CrossRef]














| Parameters | a | b | c | d | e | f | g |
|---|---|---|---|---|---|---|---|
| Values (mm) | 0.45 | 0.3 | 0.4 | 0.3 | 0.3 | 7.3 | 0.5 |
| Parameters | Rectangular CSRR | Circular CSRR |
|---|---|---|
| L | 5.512 nH | 5.048 nH |
| Cc | 1.563 pF | 1.210 pF |
| Cr | 2.231 pF | 2.187 pF |
| Lr | 1.141 nH | 0.838 nH |
| Sample | Ref. [38] | This Work | Accuracy | |||
|---|---|---|---|---|---|---|
| Water | 79.0 | 10.9 | 80.0 | 11.2 | 1.3% | 2.8% |
| 20% ethanol | 64.0 | 17.3 | 63.8 | 17.5 | 0.3% | 1.2% |
| 50% ethanol | 43.0 | 18.0 | 43.1 | 17.9 | 0.2% | 0.6% |
| 70% ethanol | 28.5 | 17.1 | 28.6 | 17.2 | 0.7% | 1.7% |
| 95% ethanol | 11.0 | 9.0 | 10.9 | 9.1 | 0.9% | 1.1% |
| Referfence | Frequency (GHz) | RS | Accuracy | Complex Permittivity | Corrosive Sample |
|---|---|---|---|---|---|
| [24] | 2.620–3.816 | 0.348 | / | no | yes |
| [25] | 0.86–0.91 | 0.069 | 11.0% | no | no |
| [26] | 3.180 | 0.488 | / | yes | no |
| [27] | 2.189 | 0.98 | / | yes | no |
| [28] | 1.200–2.335 | 0.623–0.879 | 4% | yes | no |
| [29] | 2.30–2.35 | 0.024 | / | yes | yes |
| This work | 2.850–2.960 | 0.041 | 2.8% | yes | yes |
Publisher’s Note: MDPI stays neutral with regard to jurisdictional claims in published maps and institutional affiliations. |
© 2022 by the authors. Licensee MDPI, Basel, Switzerland. This article is an open access article distributed under the terms and conditions of the Creative Commons Attribution (CC BY) license (https://creativecommons.org/licenses/by/4.0/).
Share and Cite
Wang, C.; Liu, X.; Huang, Z.; Yu, S.; Yang, X.; Shang, X. A Sensor for Characterisation of Liquid Materials with High Permittivity and High Dielectric Loss. Sensors 2022, 22, 1764. https://doi.org/10.3390/s22051764
Wang C, Liu X, Huang Z, Yu S, Yang X, Shang X. A Sensor for Characterisation of Liquid Materials with High Permittivity and High Dielectric Loss. Sensors. 2022; 22(5):1764. https://doi.org/10.3390/s22051764
Chicago/Turabian StyleWang, Chen, Xiaoming Liu, Zhixiang Huang, Shuo Yu, Xiaofan Yang, and Xiaobang Shang. 2022. "A Sensor for Characterisation of Liquid Materials with High Permittivity and High Dielectric Loss" Sensors 22, no. 5: 1764. https://doi.org/10.3390/s22051764
APA StyleWang, C., Liu, X., Huang, Z., Yu, S., Yang, X., & Shang, X. (2022). A Sensor for Characterisation of Liquid Materials with High Permittivity and High Dielectric Loss. Sensors, 22(5), 1764. https://doi.org/10.3390/s22051764

