Wedged Fiber Optic Surface Plasmon Resonance Sensor for High-Sensitivity Refractive Index and Temperature Measurements
Abstract
1. Introduction
2. Methods
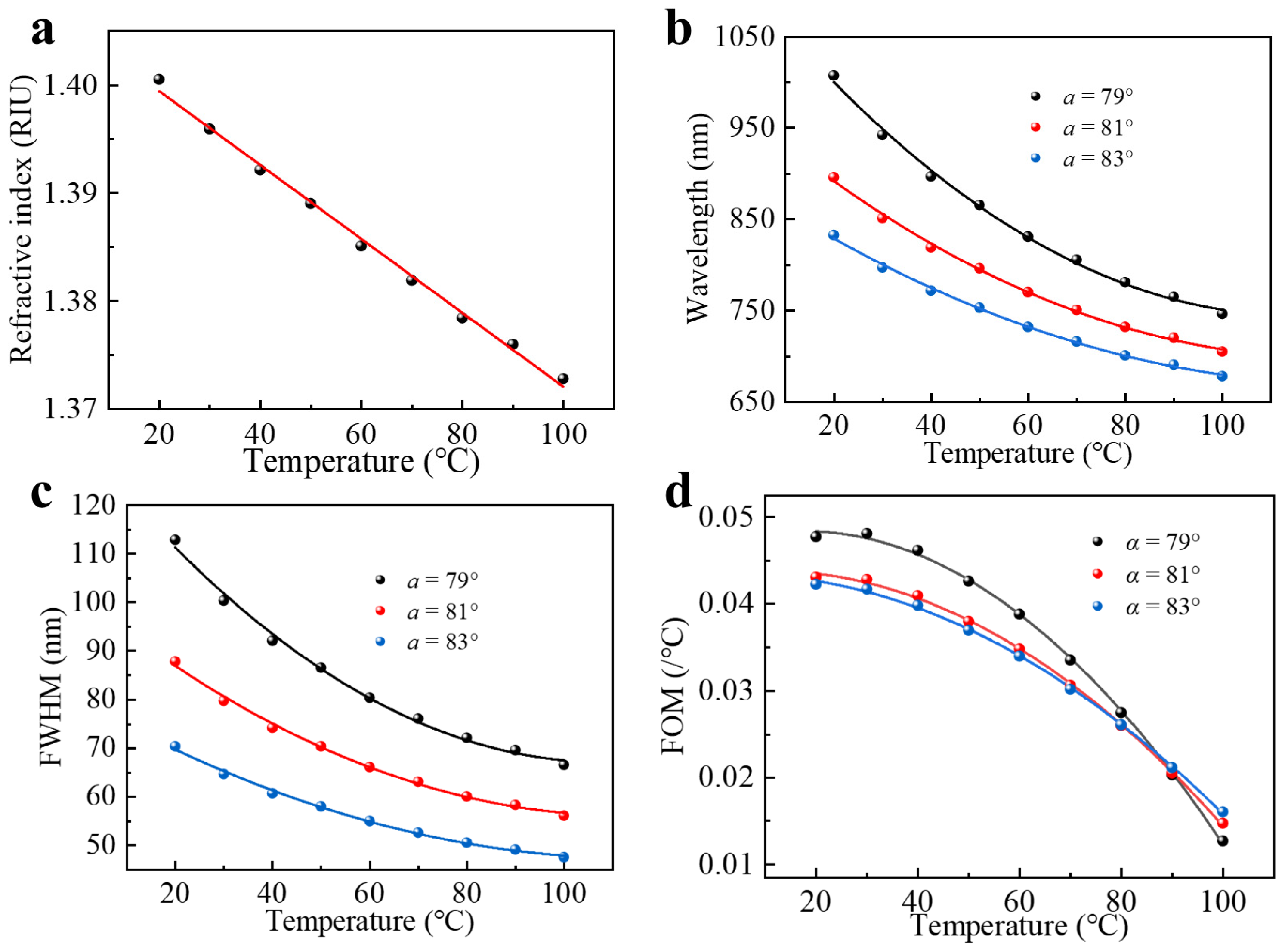
3. Experiments and Discussion
4. Conclusions
Author Contributions
Funding
Institutional Review Board Statement
Informed Consent Statement
Data Availability Statement
Acknowledgments
Conflicts of Interest
References
- Duan, Q.; Liu, Y.; Chang, S.; Chen, H.; Chen, J.H. Surface Plasmonic Sensors: Sensing Mechanism and Recent Applications. Sensors 2021, 21, 5262. [Google Scholar] [CrossRef] [PubMed]
- Zuppella, P.; Tosatto, S.; Corso, A.J.; Zuccon, S.; Pelizzo, M.G. Graphene–noble metal bilayers for inverted surface plasmon resonance biosensors. J. Opt. 2013, 15, 055010. [Google Scholar] [CrossRef]
- Tabassum, R.; Gupta, B.D. Fiber optic hydrogen gas sensor utilizing surface plasmon resonance and native defects of zinc oxide by palladium. J. Opt. 2016, 18, 015004. [Google Scholar] [CrossRef]
- Zhou, J.; Qi, Q.; Wang, C.; Qian, Y.; Liu, G.; Wang, Y.; Fu, L. Surface plasmon resonance (SPR) biosensors for food allergen detection in food matrices. Biosens. Bioelectron. 2019, 142, 111449. [Google Scholar] [CrossRef] [PubMed]
- Bagi, A.; Soelberg, S.D.; Furlong, C.E.; Baussant, T. Implementing morpholino-based nucleic acid sensing on a portable surface plasmon resonance instrument for future application in environmental monitoring. Sensors 2018, 18, 3529. [Google Scholar] [CrossRef]
- Wei, Y.; Li, L.; Liu, C.; Hu, J.; Su, Y.; Wu, P.; Zhao, X. Cascaded dual-channel fiber SPR temperature sensor based on liquid and solid encapsulations. Chin. Phys. B 2021, 30, 100701. [Google Scholar] [CrossRef]
- Michel, D.; Xiao, F.; Alameh, K. A compact, flexible fiber-optic surface plasmon resonance sensor with changeable sensor chips. Sens. Actuators B Chem. 2017, 246, 258–261. [Google Scholar] [CrossRef]
- Li, J.; Han, D.; Zeng, J.; Deng, J.; Hu, N.; Yang, J. Multi-channel surface plasmon resonance biosensor using prism-based wavelength interrogation. Opt. Express 2020, 28, 14007–14017. [Google Scholar] [CrossRef]
- Liu, Y.; Peng, W. Fiber-Optic Surface Plasmon Resonance Sensors and Biochemical Applications: A Review. J. Lightwave Technol. 2021, 39, 3781–3791. [Google Scholar] [CrossRef]
- Wang, Q.; Sun, B.; Hu, E.; Wei, W. Cu/ITO-Coated Uncladded Fiber-Optic Biosensor Based on Surface Plasmon Resonance. IEEE Photonics Technol. Lett. 2019, 31, 1159–1162. [Google Scholar] [CrossRef]
- Navarrete, M.-C.; Díaz-Herrera, N.; González-Cano, A.; Esteban, Ó. A Polarization-Independent SPR Fiber Sensor. Plasmonics 2009, 5, 7–12. [Google Scholar] [CrossRef]
- Gasior, K.; Martynkien, T.; Napiorkowski, M.; Zolnacz, K.; Mergo, P.; Urbanczyk, W. A surface plasmon resonance sensor based on a single mode D-shape polymer optical fiber. J. Opt. 2017, 19, 025001. [Google Scholar] [CrossRef]
- Hao, Z.; Pu, S.; Wang, J.; Liu, W.; Zhang, C.; Fan, Y.; Lahoubi, M. Dual-channel temperature-compensated vector magnetic field sensor based on lab-on-a-fiber-tip. Opt. Express 2022, 30, 25208–25218. [Google Scholar] [CrossRef] [PubMed]
- Zhou, X.; Li, S.; Li, X.; Yan, X.; Zhang, X.; Wang, F.; Cheng, T. High-sensitivity SPR temperature sensor based on hollow-core fiber. IEEE Trans. Instrum. Meas. 2020, 69, 8494–8499. [Google Scholar] [CrossRef]
- Liu, S.; Cao, S.; Zhang, Z.; Wang, Y.; Liao, C.; Wang, Y. Temperature Sensor Based on Side-Polished Fiber SPR Device Coated with Polymer. Sensors 2019, 19, 4063. [Google Scholar] [CrossRef]
- Lu, L.; Jiang, Z.; Hu, Y.; Zhou, H.; Liu, G.; Chen, Y.; Luo, Y.; Chen, Z. A portable optical fiber SPR temperature sensor based on a smart-phone. Opt. Express 2019, 27, 25420–25427. [Google Scholar] [CrossRef] [PubMed]
- Liu, L.; Liu, Z.; Zhang, Y.; Liu, S. Side-polished D-type fiber SPR sensor for RI sensing with temperature compensation. IEEE Sens. J. 2021, 21, 16621–16628. [Google Scholar] [CrossRef]
- Zhang, Y.; Chen, H.; Wang, M.; Liu, Y.; Fan, X.; Chen, Q.; Wu, B. Simultaneous measurement of refractive index and temperature of seawater based on surface plasmon resonance in a dual D-type photonic crystal fiber. Mater. Res. Express 2021, 8, 085201. [Google Scholar] [CrossRef]
- Lu, M.; Zhang, X.; Liang, Y.; Li, L.; Masson, J.F.; Peng, W. Liquid crystal filled surface plasmon resonance thermometer. Opt. Express 2016, 24, 10904–10911. [Google Scholar] [CrossRef]
- Wang, Y.; Huang, Q.; Zhu, W.; Yang, M.; Lewis, E. Novel optical fiber SPR temperature sensor based on MMF-PCF-MMF structure and gold-PDMS film. Opt. Express 2018, 26, 1910–1917. [Google Scholar] [CrossRef]
- Liu, L.; Liu, Z.H.; Zhang, Y.; Liu, S.T. V-shaped micro-structure optical fiber surface plasmon resonance sensor for the simultaneous measurement of the refractive index and temperature. Opt. Lett. 2019, 44, 5093–5096. [Google Scholar] [CrossRef] [PubMed]
- Zhu, Z.; Liu, L.; Liu, Z.; Zhang, Y.; Zhang, Y. Surface-plasmon-resonance-based optical-fiber temperature sensor with high sensitivity and high figure of merit. Opt. Lett. 2017, 42, 2948–2951. [Google Scholar] [CrossRef] [PubMed]
- Shan, B.-H.; Kong, L.-X.; Wu, K.-J.; Ou, S.-F.; He, P.-F.; Jin, G.; Li, Z.; Zhang, Y.-S. High sensitivity and ultra compact fiber-optic microtip SPR thermometer coated with Ag/PDMS bilayer film. Opt. Fiber Technol. 2021, 65, 102619. [Google Scholar] [CrossRef]
- Liu, Z.; Wei, Y.; Zhang, Y.; Zhang, Y.; Zhao, E.; Yang, J.; Yuan, L. Twin-core fiber SPR sensor. Opt. Lett. 2015, 40, 2826–2829. [Google Scholar] [CrossRef]
- Alonso-Murias, M.d.C.; Velazquez-Gonzalez, J.S.; Monzon-Hernandez, D. SPR Fiber Tip Sensor for the Simultaneous Measurement of Refractive Index, Temperature, and Level of a Liquid. J. Lightwave Technol. 2019, 37, 4808–4814. [Google Scholar] [CrossRef]
- Rodrigo, S.G.; García-Vidal, F.J.; Martín-Moreno, L. Influence of material properties on extraordinary optical transmission through hole arrays. Phys. Rev. B 2008, 77, 075401. [Google Scholar] [CrossRef]





| Sensor Type | SRI (nm/RIU) | RI Range (RIU) | ST (nm/°C) | T Range (°C) | FWHM (nm) | FOM (/°C) | Sensitization Method |
|---|---|---|---|---|---|---|---|
| Unclad MMF [10] | 4358.4 | 1.36–1.41 | Cu/ITO | ||||
| Tapered fiber SMF [11] | 4166.7 | 1.358–1.410 | — | — | — | — | Al/TiO2 |
| D-shaped SMF [12] | 2765 | 1.410 | Au | ||||
| U-shaped MMF [14] | — | — | −0.978 | 25–100 | 79–83 | 0.012 | Au/UV-curable |
| Internally filled hollow fiber [17] | — | — | −1.16 | 35.5–70.1 | 75–123 | 0.009–0.033 | Ag/alcohol |
| Spliced MMF-PCF-MMF [20] | — | — | −1.551 | 35–100 | — | — | Au/PDMS |
| Circular truncated cone-shaped twin-core fiber [22] | — | — | −2.07–4.13 | 20–70 | 70–121 | 0.029–0.035 | Au/PDMS |
| Pencil-shaped MMF [23] | — | — | −1.985 | 20–70 | 98–142 | 0.014–0.02 | Ag/PDMS |
| This Paper | 1284–8161 | 1.333–1.404 | −1.184–3.35 | 20–100 | 125–182 | 0.01–0.018 | Ag/n-butanol |
Publisher’s Note: MDPI stays neutral with regard to jurisdictional claims in published maps and institutional affiliations. |
© 2022 by the authors. Licensee MDPI, Basel, Switzerland. This article is an open access article distributed under the terms and conditions of the Creative Commons Attribution (CC BY) license (https://creativecommons.org/licenses/by/4.0/).
Share and Cite
Li, L.; Li, Y.; Zong, X.; Zhao, L.; Li, P.; Yu, K.; Liu, Y. Wedged Fiber Optic Surface Plasmon Resonance Sensor for High-Sensitivity Refractive Index and Temperature Measurements. Sensors 2022, 22, 9099. https://doi.org/10.3390/s22239099
Li L, Li Y, Zong X, Zhao L, Li P, Yu K, Liu Y. Wedged Fiber Optic Surface Plasmon Resonance Sensor for High-Sensitivity Refractive Index and Temperature Measurements. Sensors. 2022; 22(23):9099. https://doi.org/10.3390/s22239099
Chicago/Turabian StyleLi, Lixia, Yuli Li, Xueyang Zong, Linlin Zhao, Penglei Li, Kun Yu, and Yufang Liu. 2022. "Wedged Fiber Optic Surface Plasmon Resonance Sensor for High-Sensitivity Refractive Index and Temperature Measurements" Sensors 22, no. 23: 9099. https://doi.org/10.3390/s22239099
APA StyleLi, L., Li, Y., Zong, X., Zhao, L., Li, P., Yu, K., & Liu, Y. (2022). Wedged Fiber Optic Surface Plasmon Resonance Sensor for High-Sensitivity Refractive Index and Temperature Measurements. Sensors, 22(23), 9099. https://doi.org/10.3390/s22239099

