The ATI-ET Triangle Model: A Novel Approach to Estimate Soil Moisture Applied to MODIS Data
Abstract
1. Introduction
2. Study Area and Data Collection
2.1. Study Area and In Situ SM Data
2.2. MODIS Data
3. Methodology
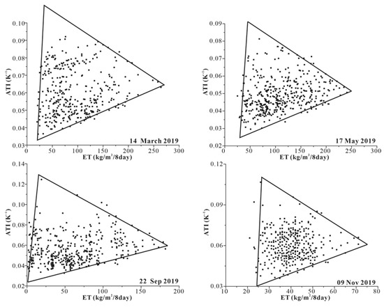
4. Results
4.1. Estimating SM Using ATI Model
4.2. Estimating SM Using ATI-ET Triangular Model
5. Discussion
5.1. Validation of the Proposed Model in Naqu
5.2. Influence of Vegetation and Temperature on the Model
6. Conclusions
Author Contributions
Funding
Institutional Review Board Statement
Informed Consent Statement
Data Availability Statement
Acknowledgments
Conflicts of Interest
References
- Seneviratne, S.; Corti, T.; Davin, L.E.; Hirschi, M.; Jaeger, E.B.; Lehner, I.; Orlowsky, B.; Teuling, A.J. Investigating soil moisture-climate interactions in a changing climate: A review. Earth Sci. Rev. 2010, 99, 125–161. [Google Scholar] [CrossRef]
- Ochsner, T.E.; Cosh, M.H.; Cuenca, R.H.; Dorigo, W.A.; Draper, C.S.; Hagimoto, Y.; Kerr, Y.H.; Larson, K.M.; Njoku, E.G.; Small, E.E.; et al. State of the art in large-scale soil moisture monitoring. Soil Sci. Soc. Am. J. 2013, 77, 1888–1919. [Google Scholar] [CrossRef]
- Zribi, M.; Muddu, S.; Bousbih, S.; Al Bitar, A.; Tomer, S.K.; Baghdadi, N.; Bandyopadhyay, S. Analysis of L-Band SAR Data for Soil Moisture Estimations over Agricultural Areas in the Tropics. Remote Sens. 2019, 9, 1122. [Google Scholar] [CrossRef]
- Sekertekin, A.; Marangoz, A.M.; Abdikan, S. ALOS-2 and Sentinel-1 SAR data sensitivity analysis to surface soil moisture over bare and vegetated agricultural fields. Comput. Electron. Agric. 2020, 171, 105303. [Google Scholar] [CrossRef]
- Gao, Q.; Zribi, M.; Escorihuela, M.J.; Baghdadi, N. Synergetic use of Sentinel-1 and Sentinel-2 data for soil moisture mapping at 100 m resolution. Sensors 2017, 17, 1966. [Google Scholar] [CrossRef] [PubMed]
- Tronquo, E.; Lievens, H.; Bouchat, J.; Defourny, P.; Baghdadi, N.; Verhoest, N.E.C. Soil Moisture Retrieval Using Multistatic L-Band SAR and Effective Roughness Modeling. Remote Sens. 2022, 14, 1650. [Google Scholar] [CrossRef]
- Amani, M.; Parsian, S.; Mirmazloumi, S.M.; Aieneh, O. Two new soil moisture indices based on the NIR-red triangle space of Landsat-8 data. Int. J. Appl. Earth Obs. Geoinf. 2016, 50, 176–186. [Google Scholar] [CrossRef]
- Qiu, J.; Crow, W.T.; Wagner, W.; Zhao, T. Effect of vegetation index choice on soil moisture retrievals via the synergistic use of synthetic aperture radar and optical remote sensing. Int. J. Appl. Earth Obs. Geoinf. 2019, 80, 47–57. [Google Scholar] [CrossRef]
- Li, J.; Wang, S.; Gunn, G.; Joosse, P.; Russell, H.A.J. A model for downscaling SMOS soil moisture using Sentinel-1 SAR data. Int. J. Appl. Earth Obs. Geoinf. 2018, 72, 109–121. [Google Scholar] [CrossRef]
- Wei, Z.; Meng, Y.; Zhang, W.; Peng, J.; Meng, L. Downscaling SMAP soil moisture estimation with gradient boosting decision tree regression over the Tibetan Plateau. Remote Sens. Environ. 2019, 225, 30–44. [Google Scholar] [CrossRef]
- Hajj, M.E.; Baghdadi, N.; Zribi, M.; Belaud, G.; Cheviron, B.; Courault, D.; Charron, F. Soil moisture retrieval over irrigated grassland using X-band SAR data. Remote Sens. Environ. 2016, 176, 202–218. [Google Scholar] [CrossRef]
- Zan, F.D.; Gomba, G. Vegetation and soil moisture inversion from SAR closure phases: First experiments and results. Remote Sens. Environ. 2018, 217, 562–572. [Google Scholar] [CrossRef]
- Sadeghi, M.; Jones, S.B.; Philpot, W.D. A linear physically-based model for remote sensing of soil moisture using short wave infrared bands. Remote Sens. Environ. 2015, 164, 66–76. [Google Scholar] [CrossRef]
- Babaeian, E.; Sadeghi, M.; Franz, T.E.; Jones, S.; Tuller, M. Mapping soil moisture with the OPtical TRApezoid Model (OPTRAM) based on long-term MODIS observations. Remote Sens. Environ. 2018, 211, 425–440. [Google Scholar] [CrossRef]
- Mohseni, F.; Mokhtarzade, M. A new soil moisture index driven from an adapted long-term temperature-vegetation scatter plot using MODIS data. J. Hydrol. 2019, 581, 124420. [Google Scholar] [CrossRef]
- Senanayake, I.P.; Yeo, I.Y.; Willgoose, G.R.; Hancock, G.R. Disaggregating satellite soil moisture products based on soil thermal inertia: A comparison of a downscaling model built at two spatial scales. J. Hydrol. 2021, 594, 125894. [Google Scholar] [CrossRef]
- Li, Z.; Leng, P.; Zhou, C.; Chen, K.S.; Zhou, F.C.; Shang, G.F. Soil moisture retrieval from remote sensing measurements: Current knowledge and directions for the future. Earth Sci. Rev. 2021, 218, 103673. [Google Scholar] [CrossRef]
- Verstraeten, W.W.; Veroustraete, F.; Feyen, J. Assessment of Evapotranspiration and Soil Moisture Content Across Different Scales of Observation. Sensors 2008, 8, 70. [Google Scholar] [CrossRef]
- Cheruy, F.; Dufresne, J.L.; Mesbah, S.A.; Grandpeix, J.Y.; Wang, F. Role of Soil Thermal Inertia in Surface Temperature and Soil Moisture-Temperature Feedback. J. Adv. Modeling Earth Syst. 2017, 9, 2906–2919. [Google Scholar] [CrossRef]
- Lu, S.; Ju, Z.; Ren, T.; Horton, R. A general approach to estimate soil water content from thermal inertia. Agric. For. Meteorol. 2009, 149, 1693–1698. [Google Scholar] [CrossRef]
- Doninck, J.V.; Peters, J.; Baets, B.D.; Clercq, E.M.D.; Ducheyne, E.; Verhoest, N.E.C. The potential of multitemporal Aqua and Terra MODIS apparent thermal inertia as a soil moisture indicator. Int. J. Appl. Earth Obs. Geoinf. 2011, 13, 934–941. [Google Scholar] [CrossRef]
- Qin, J.; Yang, K.; Lu, N.; Chen, Y.; Zhao, L.; Han, M. Spatial upscaling of in-situ soil moisture measurements based on MODIS-derived apparent thermal inertia. Remote Sens. Environ. 2013, 138, 1–9. [Google Scholar] [CrossRef]
- Sohrabinia, M.; Rack, W.; Zawar-Reza, P. Soil moisture derived using two apparent thermal inertia functions over Canterbury, New Zealand. J. Appl. Remote Sens. 2014, 8, 083624. [Google Scholar] [CrossRef][Green Version]
- Price, J.C. On the analysis of thermal infrared imagery: The limited utility of apparent thermal inertia. Remote Sens. Environ. 1985, 18, 59–73. [Google Scholar] [CrossRef]
- Park, G.A.; Park, J.Y.; Joh, H.K.; Lee, J.W.; Ahn, S.R.; Kim, S.J. Evaluation of mixed forest evapotranspiration and soil moisture using measured and swat simulated results in a hillslope watershed. KSCE J. Civ Eng. 2014, 18, 315–322. [Google Scholar] [CrossRef]
- Wang, Y.; Zhang, Y.; Yu, X.; Jia, G.; Liu, Z.; Sun, L.; Zheng, P.; Zhu, X. Grassland soil moisture fluctuation and its relationship with evapotranspiration. Ecol. Indic. 2021, 131, 108196. [Google Scholar] [CrossRef]
- Brandes, D.; Wilcox, B.P. Evapotranspiration and soil moisture dynamics on a semiarid ponderosa pine hillslope. J. Am. Water Resour. Assoc. 2000, 36, 965–974. [Google Scholar] [CrossRef]
- Brust, C.; Kimball, J.S.; Maneta, M.P.; Jencso, K.; He, M.; Reichle, R.H. Using SMAP Level-4 soil moisture to constrain MOD16 evapotranspiration over the contiguous USA. Remote Sens. Environ. 2021, 255, 112277. [Google Scholar] [CrossRef]
- Pan, F.; Nieswiadomy, M.; Qian, S. Application of a soil moisture diagnostic equation for estimating root-zone soil moisture in arid and semi-arid regions. J. Hydrol. 2015, 524, 296–310. [Google Scholar] [CrossRef]
- Dong, J.; Dirmeyer, P.A.; Lei, F.; Anderson, M.C.; Holmes, T.R.H.; Hain, C.; Crow, W.T. Soil Evaporation Stress Determines Soil Moisture- Evapotranspiration Coupling Strength in Land Surface Modeling. Geophys. Res. Lett. 2020, 47, e2020GL090391. [Google Scholar] [CrossRef]
- Nandintsetseg, B.; Shinoda, M. Multi-Decadal Soil Moisture Trends in Mongolia and Their Relationships to Precipitation and Evapotranspiration. Arid Land Res. Manag. 2014, 28, 247–260. [Google Scholar] [CrossRef]
- Walker, E.; García, G.A.; Venturini, V.; Carrasco, A. Regional evapotranspiration estimates using the relative soil moisture ratio derived from SMAP products. Agric. Water Manag. 2019, 216, 254–263. [Google Scholar] [CrossRef]
- Sandholt, I.; Rasmussen, K.; Andersen, J. A simple interpretation of the surface temperature/vegetation index space for assessment of surface moisture status. Remote Sens. Environ. 2002, 79, 213–224. [Google Scholar] [CrossRef]
- Rawat, K.S.; Sehga, V.K.; Singh, S.K.; Ray, S.S. Soil moisture estimation using triangular method at higher resolution from MODIS products. Phys. Chem. Earth Parts A/B/C 2021, 126, 103051. [Google Scholar] [CrossRef]
- Carlson, T. An Overview of the “Triangle Method” for Estimating Surface Evapotranspiration and Soil Moisture from Satellite Imagery. Sensors 2007, 7, 1612–1629. [Google Scholar] [CrossRef]
- Carlson, T.; Petropoulos, G.P. A new method for estimating of evapotranspiration and surface soil moisture from optical and thermal infrared measurements: The simplified triangle. Int. J. Remote Sens. 2019, 40, 7716–7729. [Google Scholar] [CrossRef]
- Hain, C.R.; Mecikalski, J.R.; Anderson, M.C. Retrieval of an Available Water-Based Soil Moisture Proxy from Thermal Infrared Remote Sensing. Part I: Methodology and Validation. J. Hydrometeorol. 2009, 10, 665–683. [Google Scholar] [CrossRef]
- Monteith, J.L. Evaporation and environment. Symp Soc. Exp. Biol. 1965, 19, 205–234. [Google Scholar]
- Price, J.C. Thermal inertia mapping: A new view of the Earth. J. Geophys. Res. 1977, 82, 2582–2590. [Google Scholar] [CrossRef]
- Liang, S. Narrowband to broadband conversions of land surface albedo I Algorithms. Remote Sens. Environ. 2001, 76, 213–238. [Google Scholar] [CrossRef]
- Yang, K.; Qin, J.; Zhao, L.; Chen, Y.; Tang, W. A multiscale soil moisture and freeze–thaw monitoring network on the Third Pole. Bull. Am. Meteorol. Soc. 2013, 94, 1907–1916. [Google Scholar] [CrossRef]










| Parameter | dD | dW | d0 | dV | dH | PV |
|---|---|---|---|---|---|---|
| r | 0.41 | 0.39 | 0.35 | 0.29 | 0.21 | 0.13 |
| Date | ET (kg/m2/8 day) | 55 ≤ ET | 55 < ET ≤ 80 | 80 < ET ≤ 120 | 120 < ET |
|---|---|---|---|---|---|
| 17 May 2019 | r | 0.5958 | 0.5662 | 0.3127 | 0.4361 |
| Date | ET (kg/m2/8 day) | 30≤ET | 30<ET≤55 | 55<ET≤85 | 85<ET |
| 22 September 2019 | r | 0.4832 | 0.4673 | 0.4222 | 0.4590 |
| Study Area | NDVI | NDVI ≤ 0.27 | 0.27 < NDVI ≤ 0.32 | 0.32 < NDVI ≤ 0.36 | 0.36 < NDVI |
|---|---|---|---|---|---|
| Henan | r | 0.7336 | 0.7474 | 0.6605 | 0.6092 |
| Study area | NDVI | NDVI≤0.24 | 0.24<NDVI≤0.28 | 0.28<NDVI≤0.34 | 0.34<NDVI |
| Naqu | r | 0.8021 | 0.7884 | 0.6835 | 0.6281 |
| Study Area | (°C) | 3.5≤ | 3.5<≤6.5 | 6.5<≤ 9.0 | 9.0 < |
|---|---|---|---|---|---|
| Henan | r | 0.6657 | 0.5891 | 0.5715 | 0.6082 |
| Study area | (°C) | 3.0 ≤ | 3.0 <≤ 7.0 | 7.0 <≤ 9.5 | 9.5 < |
| Naqu | r | 0.6828 | 0.7726 | 0.7434 | 0.6792 |
Publisher’s Note: MDPI stays neutral with regard to jurisdictional claims in published maps and institutional affiliations. |
© 2022 by the authors. Licensee MDPI, Basel, Switzerland. This article is an open access article distributed under the terms and conditions of the Creative Commons Attribution (CC BY) license (https://creativecommons.org/licenses/by/4.0/).
Share and Cite
Luo, D.; Wen, X.; Li, S.; Cao, J. The ATI-ET Triangle Model: A Novel Approach to Estimate Soil Moisture Applied to MODIS Data. Sensors 2022, 22, 7926. https://doi.org/10.3390/s22207926
Luo D, Wen X, Li S, Cao J. The ATI-ET Triangle Model: A Novel Approach to Estimate Soil Moisture Applied to MODIS Data. Sensors. 2022; 22(20):7926. https://doi.org/10.3390/s22207926
Chicago/Turabian StyleLuo, Dayou, Xingping Wen, Shuling Li, and Jiaju Cao. 2022. "The ATI-ET Triangle Model: A Novel Approach to Estimate Soil Moisture Applied to MODIS Data" Sensors 22, no. 20: 7926. https://doi.org/10.3390/s22207926
APA StyleLuo, D., Wen, X., Li, S., & Cao, J. (2022). The ATI-ET Triangle Model: A Novel Approach to Estimate Soil Moisture Applied to MODIS Data. Sensors, 22(20), 7926. https://doi.org/10.3390/s22207926

