Estimation of 1-Repetition Maximum Using a Hydraulic Bench Press Machine Based on User’s Lifting Speed and Load Weight
Abstract
:1. Introduction
2. Materials and Methods
2.1. Research Method
2.2. Experiment Methods
2.2.1. Subject
2.2.2. Experimental Design
3. Results
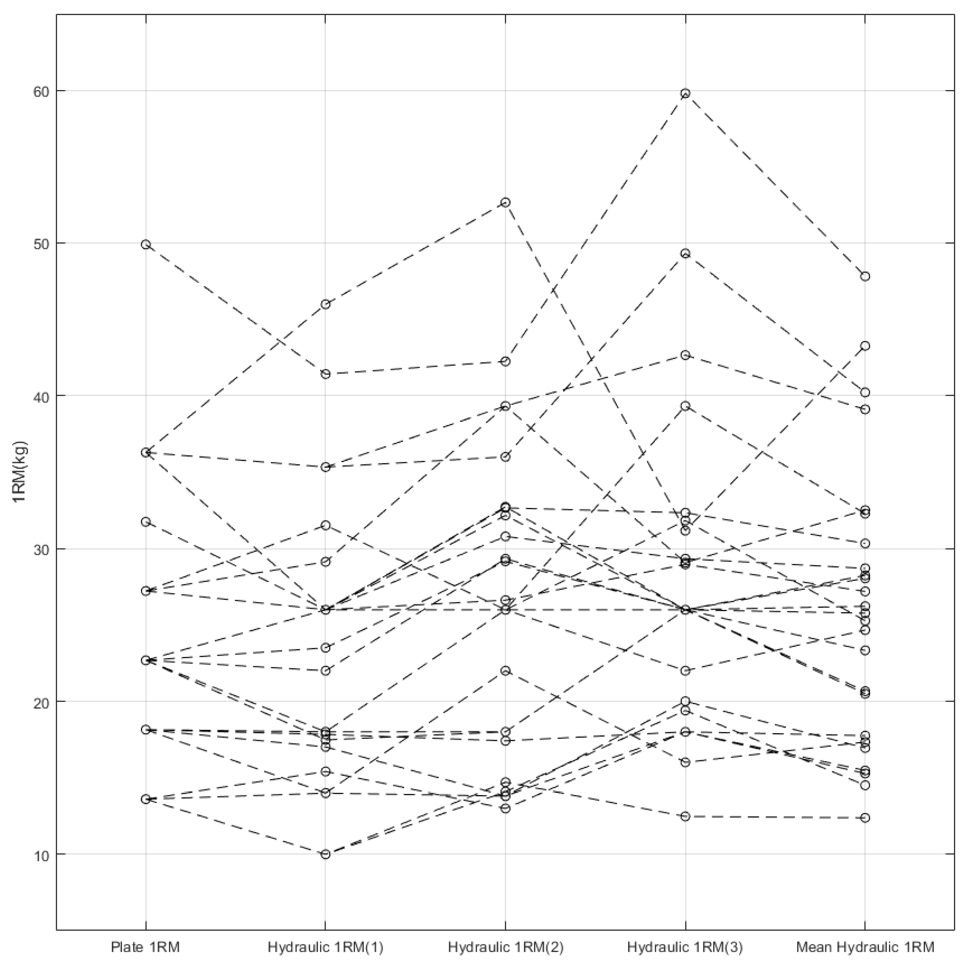
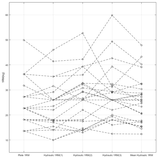
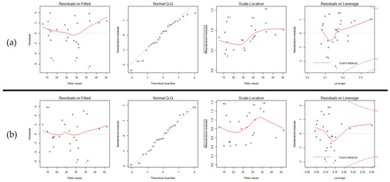
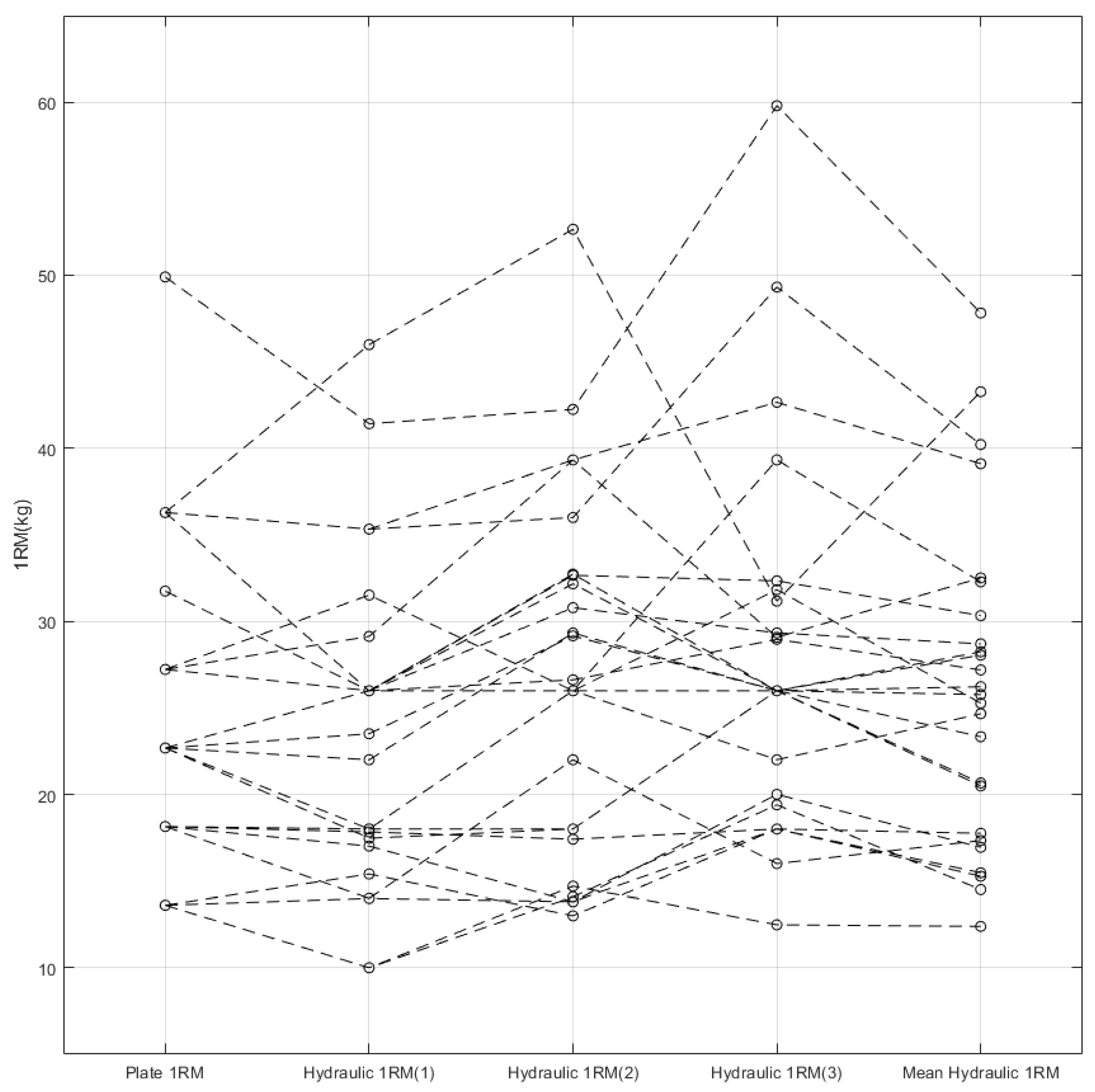
3.1. Comparison between Plate and Hydraulic 1RMs
3.2. RM Equation
4. Discussion
4.1. Comparison between Plate and Hydraulic 1RM Equations
4.2. Advantages of Using Hydraulic Fitness Machines
Author Contributions
Funding
Institutional Review Board Statement
Informed Consent Statement
Conflicts of Interest
References
- International Health, Racquet & Sportsclub Association. Available online: https://www.ihrsa.org/publications/the-2020-ihrsa-global-report/ (accessed on 17 November 2021).
- Wellness Creative Co. Available online: https://www.wellnesscreatives.com/fitness-market/ (accessed on 17 November 2021).
- Arif, Y.; Boleng, L.M.; Maria, V.; Flora, M.; Saba, K.R. The Effect of Weight Training Using Inner-Load Outer-Load on the Process of Developing Chest Muscles in Fitness Members in the City of Kupang. Int. J. Innov. Creat. Change 2019, 5, 478–491. [Google Scholar]
- Kraemer, W.J.; Ratamess, N.A.; Fry, A.C.; French, D.N. Physiological Assessment of Human Fitness, 2nd ed.; Human Kinetics: Champaign, IL, USA, 2006; pp. 119–150. [Google Scholar]
- Wilk, M.; Gepfert, M.; Krzysztofik, M.; Mostowik, A.; Filip, A.; Hajduk, G.; Zajac, A. Impact of Duration of Eccentric Movement in the One-Repetition Maximum Test Result in the Bench Press among Women. J. Sports Sci. Med. 2020, 19, 317–322. [Google Scholar] [PubMed]
- Seo, D.I.; Kim, E.; Fahs, C.A.; Rossow, L.; Young, K.; Ferguson, S.L.; Thiebaud, R.; Sherk, V.D.; Loenneke, J.P.; Kim, D.; et al. Reliability of the One-Repetition Maximum Test Based on Muscle Group and Gender. J. Sports Sci. Med. 2012, 11, 221–225. [Google Scholar] [PubMed]
- Kraemer, W.J.; Ratamess, N.A.; French, D.N. Resistance Training for Health and Performance. Curr. Sports Med. Rep. 2002, 1, 165–171. [Google Scholar] [CrossRef]
- Risser, W.L. Musculoskeletal Injuries: Caused by Weight Training Guidelines for Prevention. Clin. Pediatr. 1990, 29, 305–310. [Google Scholar] [CrossRef]
- Jones, C.S.; Christensen, C.; Young, M. Weight Training Injury Trends. Physician Sportsmed. 2015, 28, 61–72. [Google Scholar] [CrossRef] [PubMed]
- González-Badillo, J.J.; Sánchez-Medina, L. Movement Velocity as a Measure of Loading Intensity in Resistance Training. Int. J. Sports Med. 2010, 31, 347–352. [Google Scholar] [CrossRef] [PubMed]
- Pérez-Castilla, A.; Jukic, I.; García-Ramos, A. Validation of a Novel Method to Assess Maximal Neuromuscular Capacities through the Load-Velocity Relationship. J. Biomech. 2021, 127, 110684. [Google Scholar] [CrossRef] [PubMed]
- Domeika, A.; Eidukynas, V.; Grigas, V.; Šulginas, A. Research of the Force Characteristics of Hydraulic Cylinder Type Loading Devices for Exercise Machines. Mechanics 2014, 20, 494–499. [Google Scholar] [CrossRef]
- Zatsiorsky, V.M.; Kraemer, W.J.; Fry, A.C. Science and Practice of Strength Training, 3rd ed.; Human Kinetics: Champaign, IL, USA, 2006; p. 243. [Google Scholar]
- Kim, J.; Jo, H.J.; Kim, K.; Ji, H.G.; Kim, J. A Smart Bench Press Machine: Automatic Weight Control Sensitive to User Tiredness. Int. J. Adv. Cult. Technol. 2019, 7, 209–215. [Google Scholar]
- Chen, G.; Liu, L.I.U.; Yu, J. A Comparative Study on Strength between American College Male and Female Students in Caucasian and Asian Populations. Sport Sci. Rev. 2012, 21, 153–165. [Google Scholar] [CrossRef]
- Weir, J.P.; Wagner, L.L.; Housh, T.J. The Effect of Rest Interval Length on Repeated Maximal Bench Presses. J. Strength Cond. Res. 1994, 8, 58–60. [Google Scholar]
- R Core Team. R: A Language and Environment for Statistical Computing; R Foundation for Statistical Computing: Vienna, Austria, 2020; Available online: https://www.R-project.org/ (accessed on 17 November 2021).
- Nickerson, R.S. Null Hypothesis Significance Testing: A Review of an Old and Continuing Controversy. Psychol. Methods 2000, 5, 241–301. [Google Scholar] [CrossRef] [PubMed]
- Scott, D.W. Scott’s Rule. Wiley Interdiscip. Rev. Comput. Stat. 2010, 2, 497–502. [Google Scholar] [CrossRef]
- Kenney, W.L.; Wilmore, J.H.; Costill, D.L. Physiology of Sport and Exercise, 6th ed.; Human Kinetics: Champaign, IL, USA, 2015. [Google Scholar]
- MEDICINE, LibreTexts. Available online: https://med.libretexts.org/Bookshelves/Anatomy_and_Physiology/Book%3A_Anatomy_and_Physiology_(Boundless)/9%3A_Muscular_System/9.3%3A_Control_of_Muscle_Tension/9.3B%3A_Velocity_and_Duration_of_Muscle_Contraction/ (accessed on 17 November 2021).







| Measure | Mean Square | F | Significance b |
|---|---|---|---|
| 1RM | 165.589 | 5.709 | 0.009 |
| Measure 1 | Measure 2 | Mean Difference | Standard Error | Significance b | 95% Confidence | |
|---|---|---|---|---|---|---|
| Lower | Upper | |||||
| plate 1RM | hydraulic 1RM (1) | 1.445 | 0.829 | 0.566 | −0.939 | 3.829 |
| hydraulic 1RM (2) | −1.832 | 1.086 | 0.628 | −4.956 | 1.291 | |
| hydraulic 1RM (3) | −2.946 | 0.982 | * 0.037 | −5.769 | −0.123 | |
| hydraulic 1RM (1) | hydraulic 1RM (2) | −3.277 | 0.829 | * 0.004 | −5.660 | −0.894 |
| hydraulic 1RM (3) | −4.390 | 1.295 | * 0.014 | −8.113 | −0.667 | |
| hydraulic 1RM (2) | hydraulic 1RM (3) | −1.113 | 1.659 | 1.000 | −5.883 | 3.656 |
| Mean | Standard Deviation | Standard Error Mean | 95% Confidence | t | df | Significance (2-Tailed) | ||
|---|---|---|---|---|---|---|---|---|
| Lower | Upper | |||||||
| plate 1RM—mean hydraulic 1RM | −1.11120 | 3.06384 | 0.585 | −2.37589 | 0.15349 | −1.813 | 24 | 0.082 |
| Model | Parameter | Order | Coefficient | p-Value | Residual Standard Error | Adjusted R-Squared |
|---|---|---|---|---|---|---|
| 1 | Intercept | −13.965266 | * 0.03552 | 2.969 | 0.8995 | |
| Load weight, (kg) | 1 | 0.703188 | ** 0.00261 | |||
| 2 | 0.003117 | 0.42045 | ||||
| Lifting speed, (mm/s) | 1 | 0.630198 | ** 0.00427 | |||
| 2 | −0.004075 | * 0.01379 | ||||
| 2 | Intercept | −14.840838 | * 0.02308 | 2.946 | 0.901 | |
| Load weight, (kg) | 1 | 0.864368 | *** 0.00000 | |||
| Lifting speed, (mm/s) | 1 | 0.603973 | ** 0.00478 | |||
| 2 | −0.003890 | * 0.01578 | ||||
| 3 | Intercept | −0.39076 | 0.89201 | 3.317 | 0.8745 | |
| Load weight, (kg) | 1 | 0.82505 | *** 0.00000 | |||
| Lifting speed, (mm/s) | 1 | 0.10540 | ** 0.00113 |
| Count | 1RM (kg) | Total | |||||
|---|---|---|---|---|---|---|---|
| (10, 20) | (20, 30) | (30, 40) | (40, 50) | (50, 60) | |||
| Lifting speed (mm/s) | (100, 120) | 4 | 3 | 1 | 0 | 1 | 9 |
| (80, 100) | 6 | 7 | 1 | 1 | 0 | 15 | |
| (60, 80) | 11 | 10 | 9 | 3 | 1 | 34 | |
| (40, 60) | 5 | 9 | 2 | 1 | 0 | 17 | |
| Total | 26 | 29 | 13 | 5 | 2 | 75 | |
| 1RM Error | N | Mean | Standard Deviation | Standard Error | 95% Confidence | Minimum | Maximum | |
|---|---|---|---|---|---|---|---|---|
| Lower | Upper | |||||||
| Equation (4) | 25 | −0.572 | 2.726 | 0.545 | −1.697 | 0.553 | −4.95 | 6.42 |
| Equation (5) | 25 | 5.024 | 2.392 | 0.478 | 4.037 | 6.012 | 1.62 | 10.75 |
| Equation (6) | 25 | 4.208 | 2.299 | 0.460 | 3.259 | 5.157 | 0.52 | 9.32 |
| Exercising Type | Load Weight | Reps for a Set | The Number of Sets | Break Time per Set |
|---|---|---|---|---|
| Muscular exercise | Above 85% of 1RM | Under 6 reps | 2–6 sets | 2–5 min |
| Muscular hypertrophy exercise | About 67–85% of 1RM | 6–12 reps | 3–6 sets | 30–90 s |
| Muscle endurance exercise | Below 67% of 1RM | Over 12 reps | 2–3 sets | 30 s |
Publisher’s Note: MDPI stays neutral with regard to jurisdictional claims in published maps and institutional affiliations. |
© 2022 by the authors. Licensee MDPI, Basel, Switzerland. This article is an open access article distributed under the terms and conditions of the Creative Commons Attribution (CC BY) license (https://creativecommons.org/licenses/by/4.0/).
Share and Cite
Yoo, J.; Kim, J.; Hwang, B.; Shim, G.; Kim, J. Estimation of 1-Repetition Maximum Using a Hydraulic Bench Press Machine Based on User’s Lifting Speed and Load Weight. Sensors 2022, 22, 698. https://doi.org/10.3390/s22020698
Yoo J, Kim J, Hwang B, Shim G, Kim J. Estimation of 1-Repetition Maximum Using a Hydraulic Bench Press Machine Based on User’s Lifting Speed and Load Weight. Sensors. 2022; 22(2):698. https://doi.org/10.3390/s22020698
Chicago/Turabian StyleYoo, Jinyeol, Jihun Kim, Byunggon Hwang, Gyuseok Shim, and Jaehyo Kim. 2022. "Estimation of 1-Repetition Maximum Using a Hydraulic Bench Press Machine Based on User’s Lifting Speed and Load Weight" Sensors 22, no. 2: 698. https://doi.org/10.3390/s22020698
APA StyleYoo, J., Kim, J., Hwang, B., Shim, G., & Kim, J. (2022). Estimation of 1-Repetition Maximum Using a Hydraulic Bench Press Machine Based on User’s Lifting Speed and Load Weight. Sensors, 22(2), 698. https://doi.org/10.3390/s22020698

