Distribution Adaptation and Classification Framework Based on Multiple Kernel Learning for Motor Imagery BCI Illiteracy
Abstract
:1. Introduction
- The source domain data were applied to train kernel-based ELM to find a subspace that could achieve the best classification effect, that is, the separability of features was the best in this new subspace;
- To overcome the limitations of a single kernel, a linear connection framework using multiple basic kernels was proposed;
- MK-MMD was applied to align the distribution of the mapped source and target domain data in this subspace.
2. Methodology
2.1. Distribution Alignment Based on Multiple Kernel
2.1.1. Multiple Kernel Expression
2.1.2. Multiple-Kernel Extreme Learning Machine
2.1.3. Multiple Kernel Maximum Mean Discrepancy
| Algorithm 1. Marginal Distribution Adaptation: |
| 1: Input: labeled source samples and unlabeled target samples ; several basic kernel functionsq, and C 2: Output:, 3: Initialize: and 4: repeat 5: Compute by solving (1) 6: Update by solving (11) 7: Update by (13) 8: until } 9: Compute with the obtained by solving (1) 10: Compute the eigenvector of 11: Take the former m eigenvector as W 12: Compute and with (19). |
2.2. Random Forest
- Resample randomly from the training set based on bootstrap to form a training subset ;
- Randomly extract features from of without replacement ( is set in this paper) to generate a complete decision tree without pruning;
- Repeat the above two steps times to generate decision trees, and then combine all of the decision trees to form a random forest;
- Take the test sample as the input of the random forest, and then vote on the result of each decision tree based on majority voting algorithm to obtain the classification result.
3. Results
3.1. Experiment Materials and Preprocessing
3.2. Model Generation
- Polynomial kernel function
- Gaussian kernel function
- Translation-invariant of wavelet kernel function
3.3. Experimental Results
3.3.1. Methods for Comparison
- SA: We set the parameters referring to the research by Xiao et al. [37]. Considering the poor classification effect of BCI illiteracy, we set the subspace dimension of principal component analysis (PCA) to all to avoid information loss;
- GFK: We referred to the research by Wei et al. [38]. We determined the optimal dimension of the subspace by adopting the subspace disagreement measure (SDM) after the source domain and target domain data were determined;
- CORAL: Referring to the research by He et al. [12], we conducted a distributed computation on the feature covariance matrix of each domain and then minimized the distance between the covariance matrices of different domains;
- TCA: We referred to the research by Jayaram et al. [39]. In this experiment, when carrying out a multiple-kernel linear combination, the weight of the Gaussian kernel was generally the largest. Therefore, we chose the Gaussian kernel function and set its parameters to be the same as those of the Gaussian kernel function in MK-ELM;
- MKL: Referring to the research by Sun et al. [19] and Dai et al. [20], we combined Gaussian-kernel-based support vector machine (SVM) with MKL and applied the classifier-based DA method to optimize the target function of SVM, while minimizing the inter-domain offset based on MKL. MKL uses the three kernels above-mentioned and applied the second-order Newton method recommended by Sun et al. [18] to obtain the combination coefficients. The balance parameter was λ = 0.5. Note that the combined coefficients obtained by this method can be different from those obtained by the method proposed in this paper.
- LDA: The reference method proposed by Lee et al. [8].
- SVM: We referred to the research by Lotte et al. [40]. We chose the Gaussian kernel function and set its parameters to be the same as those of the Gaussian kernel function in MK-ELM;
- KNN: We referred to the research by Lotte et al. [40]. We set the number .
- EEGnet: We referred to the research by Lawhern et al. [41]. We set the number of channels as 20.
- FBCNet: We referred to the research by Mane et al. [42]. We set C as 20.
3.3.2. Performance of the Domain Adaption and Classification Framework
- BCI (the classification result was greater than 70% in both sessions), denoted as BNI;
- BCI illiteracy (the classification result was less than 70% in both sessions), denoted as BI.
- 1.
- Results of Cross-Subject Experiments
- 2.
- Results of the Cross-Session Experiments
4. Discussion
- Cross-Subject Experiments
- Cross-Session Experiments
- Performance of Random Forest
- Computational Complexity
- Limitations
5. Conclusions
Author Contributions
Funding
Data Availability Statement
Conflicts of Interest
References
- Pasqualotto, E.; Federici, S.; Belardinelli, M.O. Toward functioning and usable brain-computer interfaces (BCIs): A literature review. Disabil. Rehabil. Assist. Technol. 2012, 7, 89–103. [Google Scholar] [CrossRef] [PubMed]
- Blankertz, B.; Vidaurre, C. Towards a cure for BCI illiteracy: Machine learning based co-adaptive learning. BMC Neurosci. 2009, 10, P85. [Google Scholar] [CrossRef]
- Blankertz, B.; Sannelli, C.; Halder, S.; Hammer, E.M.; Kübler, A.; Müller, K.R.; Curio, G.; Dickhaus, T. Neurophysiological predictor of SMR-based BCI performance. Neuroimage 2010, 51, 1303–1309. [Google Scholar] [CrossRef] [PubMed]
- Saha, S.; Baumert, M. Intra- and Inter-subject Variability in EEG-Based Sensorimotor Brain Computer Interface: A Review. Front. Comput. Neurosci. 2020, 13, 87. [Google Scholar] [CrossRef] [PubMed]
- Kragel, P.A.; Knodt, A.R.; Hariri, A.R.; Labar, K.S. Decoding Spontaneous Emotional States in the Human Brain. PLoS Biol. 2016, 14, e2000106. [Google Scholar] [CrossRef]
- Weiss, K.; Khoshgoftaar, T.M.; Wang, D.D. A Survey of Transfer Learning; Springer International Publishing: Berlin/Heidelberg, Germany, 2016. [Google Scholar] [CrossRef]
- Shu, X.; Yao, L.; Sheng, X.; Zhang, D.; Zhu, X. Enhanced motor imagery-based BCI performance via tactile stimulation on unilateral hand. Front. Hum. Neurosci. 2017, 11, 585. [Google Scholar] [CrossRef]
- Lee, M.H.; Kwon, O.Y.; Kim, Y.J.; Kim, H.K.; Lee, Y.E.; Williamson, J.; Fazli, S.; Lee, S.W. EEG dataset and OpenBMI toolbox for three BCI paradigms: An investigation into BCI illiteracy. Gigascience 2019, 8, giz002. [Google Scholar] [CrossRef]
- Liu, Y.; Lan, Z.; Cui, J.; Sourina, O.; Muller-Wittig, W. EEG-Based cross-subject mental fatigue recognition. In Proceedings of the 2019 International Conference on Cyberworlds (CW), Kyoto, Japan, 2–4 October 2019; pp. 247–252. [Google Scholar] [CrossRef]
- Zhang, J.; Wang, Y.; Li, S. Cross-subject mental workload classification using kernel spectral regression and transfer learning techniques. Cogn. Technol. Work 2017, 19, 587–605. [Google Scholar] [CrossRef]
- Chai, X.; Wang, Q.; Zhao, Y.; Li, Y.; Liu, D.; Liu, X.; Bai, O. A fast, efficient domain adaptation technique for cross-domain electroencephalography(EEG)-based emotion recognition. Sensors 2017, 17, 1014. [Google Scholar] [CrossRef]
- He, H.; Wu, D. Different Set Domain Adaptation for Brain-Computer Interfaces: A Label Alignment Approach. IEEE Trans. Neural Syst. Rehabil. Eng. 2020, 28, 1091–1108. [Google Scholar] [CrossRef]
- Hua, Y.; Zhong, X.; Zhang, B.; Yin, Z.; Zhang, J. Manifold feature fusion with dynamical feature selection for cross-subject emotion recognition. Brain Sci. 2021, 11, 1392. [Google Scholar] [CrossRef] [PubMed]
- Wei, H.; Ma, L.; Liu, Y.; Du, Q. Combining Multiple Classifiers for Domain Adaptation of Remote Sensing Image Classification. IEEE J. Sel. Top. Appl. Earth Obs. Remote Sens. 2021, 14, 1832–1847. [Google Scholar] [CrossRef]
- Ma, L.; Crawford, M.M.; Zhu, L.; Liu, Y. Centroid and Covariance Alignment-Based Domain Adaptation for Unsupervised Classification of Remote Sensing Images. IEEE Trans. Geosci. Remote Sens. 2019, 57, 2305–2323. [Google Scholar] [CrossRef]
- Liu, X.; Wang, L.; Zhu, X.; Li, M.; Zhu, E.; Liu, T.; Liu, L.; Dou, Y.; Yin, J. Multiple Kernel Learning Algorithms. J. Mach. Learn. Res. 2011, 42, 1303–1316. [Google Scholar] [CrossRef]
- Bucak, S.S.; Jin, R.; Jain, A.K. Multiple kernel learning for visual object recognition: A review. IEEE Trans. Pattern Anal. Mach. Intell. 2014, 36, 1354–1369. [Google Scholar] [CrossRef] [PubMed]
- Long, M.; Cao, Y.; Wang, J.; Jordan, M.I. Learning transferable features with deep adaptation networks. In Proceedings of the 32nd International Conference on Machine Learning, ICML, Lille, France, 7–9 July 2015; Volume 1, pp. 97–105. [Google Scholar]
- Sun, Z.; Wang, C.; Wang, H.; Li, J. Learn multiple-kernel SVMs for domain adaptation in hyperspectral data. IEEE Geosci. Remote Sens. Lett. 2013, 10, 1224–1228. [Google Scholar] [CrossRef]
- Dai, M.; Wang, S.; Zheng, D.; Na, R.; Zhang, S. Domain Transfer Multiple Kernel Boosting for Classification of EEG Motor Imagery Signals. IEEE Access 2019, 7, 49951–49960. [Google Scholar] [CrossRef]
- Deng, C.; Liu, X.; Li, C.; Tao, D. Active multi-kernel domain adaptation for hyperspectral image classification. Pattern Recognit. 2018, 77, 306–315. [Google Scholar] [CrossRef] [Green Version]
- Zheng, Y.; Wang, X.; Zhang, G.; Xiao, B.; Xiao, F.; Zhang, J. Multi-Kernel Coupled Projections for Domain Adaptive Dictionary Learning. IEEE Trans. Multimed. 2019, 21, 2292–2304. [Google Scholar] [CrossRef]
- Wang, W.; Wang, H.; Zhang, Z.; Zhang, C.; Gao, Y. Semi-supervised domain adaptation via Fredholm integral based kernel methods. Pattern Recognit. 2019, 85, 185–197. [Google Scholar] [CrossRef]
- Chen, X.; Lengelĺe, Ŕ. Domain adaptation transfer learning by SVM subject to a maximum-mean-discrepancy-like constraint. In Proceedings of the ICPRAM 2017—6th International Conference on Pattern Recognition Applications and Methods, Porto, Portugal, 24–26 February 2017; pp. 89–95. [Google Scholar] [CrossRef]
- Zhang, Z.; Wang, M.; Huang, Y.; Nehorai, A. Aligning Infinite-Dimensional Covariance Matrices in Reproducing Kernel Hilbert Spaces for Domain Adaptation. In Proceedings of the IEEE Conference on Computer Vision and Pattern Recognition, Salt Lake City, UT, USA, 18–23 June 2018; pp. 3437–3445. [Google Scholar] [CrossRef]
- Liu, X.; Wang, L.; Huang, G.; Zhang, J.; Yin, J. Multiple kernel extreme learning machine. Neurocomputing 2015, 149, 253–264. [Google Scholar] [CrossRef]
- Pan, S.J.; Tsang, I.W.; Kwok, J.T.; Yang, Q. Domain adaptation via transfer component analysis. IEEE Trans. Neural Netw. 2011, 22, 199–210. [Google Scholar] [CrossRef]
- Sch, B. Nonlinear Component Analysis as a Kernel Eigenvalue Problem. Neural Comput. 1998, 1319, 1299–1319. [Google Scholar]
- Long, M.; Wang, J.; Ding, G.; Sun, J.; Yu, P.S. Transfer feature learning with joint distribution adaptation. In Proceedings of the IEEE International Conference on Computer Vision, Sydney, Australia, 1–8 December 2013; pp. 2200–2207. [Google Scholar] [CrossRef]
- Kaeseler, R.L.; Johansson, T.W.; Struijk, L.N.S.A.; Jochumsen, M. Feature and Classification Analysis for Detection and Classification of Tongue Movements from Single-Trial Pre-Movement EEG. IEEE Trans. Neural Syst. Rehabil. Eng. 2022, 30, 678–687. [Google Scholar] [CrossRef]
- Torres, E.P.; Torres, E.A.; Hernández-Álvarez, M.; Yoo, S.G. Emotion Recognition Related to Stock Trading Using Machine Learning Algorithms with Feature Selection. IEEE Access 2020, 8, 199719–199732. [Google Scholar] [CrossRef]
- Bentlemsan, M.; Zemouri, E.T.; Bouchaffra, D.; Yahya-Zoubir, B.; Ferroudji, K. Random forest and filter bank common spatial patterns for EEG-based motor imagery classification. In Proceedings of the International Conference on Intelligent Systems, Modelling and Simulation, ISMS, Kuala Lumpur, Malaysia, 9–12 February 2015; pp. 235–238. [Google Scholar] [CrossRef]
- Huang, G.B.; Zhou, H.; Ding, X.; Zhang, R. Extreme learning machine for regression and multiclass classification. IEEE Trans. Syst. Man Cybern. Part B Cybern. 2012, 42, 513–529. [Google Scholar] [CrossRef] [PubMed]
- Huang, G.B.; Ding, X.; Zhou, H. Optimization method based extreme learning machine for classification. Neurocomputing 2010, 74, 155–163. [Google Scholar] [CrossRef]
- Lee, J.M.; Yoo, C.K.; Choi, S.W.; Vanrolleghem, P.A.; Lee, I.B. Nonlinear process monitoring using kernel principal component analysis. Chem. Eng. Sci. 2004, 59, 223–234. [Google Scholar] [CrossRef]
- Biau, G. Analysis of a random forests model. J. Mach. Learn. Res. 2012, 13, 1063–1095. [Google Scholar]
- Xiao, T.; Liu, P.; Zhao, W.; Tang, X. Iterative landmark selection and subspace alignment for unsupervised domain adaptation. J. Electron. Imaging 2018, 27, 1. [Google Scholar] [CrossRef]
- Wei, J. Learning Discriminative Geodesic Flowkernel For Unsupervised Domain Adaption. In Proceedings of the IEEE International Conference on Multimedia and Expo (ICME), San Diego, CA, USA, 23–27 July 2018. [Google Scholar]
- Jayaram, V.; Alamgir, M.; Altun, Y.; Grosse-wentrup, M. Transfer Learning in Brain-Computer Interfaces. IEEE Comput. Intell. Mag. 2016, 11, 20–31. [Google Scholar] [CrossRef]
- Lotte, F.; Congedo, M.; Lécuyer, A.; Lamarche, F.; Arnaldi, B. A review of classification algorithms for EEG-based brain-computer interfaces. J. Neural Eng. 2007, 4, R1. [Google Scholar] [CrossRef] [PubMed]
- Lawhern, V.J.; Solon, A.J.; Waytowich, N.R.; Gordon, S.M.; Hung, C.P.; Lance, B.J. EEGNet: A compact convolutional neural network for EEG-based brain-computer interfaces. J. Neural Eng. 2018, 15, 056013. [Google Scholar] [CrossRef] [PubMed]
- Mane, R.; Chew, E.; Chua, K.; Ang, K.K.; Robinson, N.; Vinod, A.P.; Lee, S.-W.; Guan, C. FBCNet: A Multi-view Convolutional Neural Network for Brain-Computer Interface. arXiv 2021, arXiv:2104.01233. [Google Scholar]
- Giannakakis, G.; Trivizakis, E.; Tsiknakis, M.; Marias, K. A novel multi-kernel 1D convolutional neural network for stress recognition from ECG. In Proceedings of the 2019 8th International Conference on Affective Computing and Intelligent Interaction Workshops and Demos, ACIIW, Cambridge, UK, 3–6 September 2019; pp. 273–276. [Google Scholar] [CrossRef]

















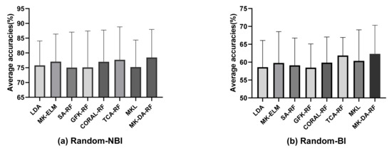
| Tasks | Results | LDA ** | MK-ELM * | SA-RF * | GFK-RF ** | CORAL-RF * | TCA-RF * | MKL * | MK-DA-RF |
|---|---|---|---|---|---|---|---|---|---|
| Random-NBI | Mean | 75.81 | 77.07 | 75.05 | 75.12 | 77.0 | 77.68 | 75.22 | 78.46 |
| Std | 8.25 | 9.32 | 11.98 | 12.31 | 10.73 | 11.14 | 9.14 | 9.5 | |
| CI | 2.95 | 3.33 | 4.28 | 4.40 | 3.84 | 3.98 | 3.27 | 3.40 | |
| Random-BI | Mean | 58.60 | 59.78 | 59.11 | 58.47 | 59.86 | 61.86 | 60.36 | 62.32 |
| Std | 7.47 | 8.74 | 7.64 | 6.64 | 7.17 | 5.04 | 8.67 | 8.01 | |
| CI | 2.67 | 3.13 | 2.73 | 2.37 | 2.56 | 1.08 | 3.10 | 2.87 |
| Tasks | Results | LDA * | SVM ** | KNN ** | EEGnet ** | FBCNet ** | RF |
|---|---|---|---|---|---|---|---|
| Random-NBI | Mean | 78.29 | 77.81 | 78.26 | 64.60 | 78.23 | 78.46 |
| Std | 8.48 | 7.40 | 8.63 | 9.77 | 7.60 | 9.50 | |
| CI | 3.03 | 2.65 | 3.09 | 3.49 | 2.72 | 3.40 | |
| Random-BI | Mean | 62.15 | 61.67 | 62.13 | 61.72 | 62.09 | 62.32 |
| Std | 7.49 | 6.62 | 6.91 | 8.36 | 4.80 | 6.95 | |
| CI | 2.68 | 2.37 | 2.47 | 2.99 | 1.72 | 2.49 |
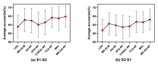
| Group | Task | Results | LDA ** | MK-ELM ** | SA-RF * | GFK-RF ** | CORAL-RF * | TCA-RF * | MKL * | MK-DA-RF |
|---|---|---|---|---|---|---|---|---|---|---|
| NBI | S1-S2 | Mean | 79.02 | 82.06 | 83.21 | 78.98 | 82.98 | 84.83 | 83.75 | 85.69 |
| S2-S1 | Mean | 80.77 | 81.85 | 80.85 | 80.85 | 82.83 | 84.54 | 84.44 | 85.81 | |
| BI | S1-S2 | Mean | 58.90 | 62.85 | 60.08 | 60.08 | 61.37 | 64.18 | 63.75 | 64.80 |
| S2-S1 | Mean | 56.77 | 60.68 | 58.65 | 58.65 | 59.15 | 61.73 | 61.50 | 63.07 | |
| ALL | S1-S2 | Mean | 67.84 | 71.39 | 68.48 | 68.48 | 70.97 | 73.36 | 72.64 | 74.08 |
| Std | 15.04 | 14.37 | 15.09 | 14.90 | 14.87 | 15.64 | 14.80 | 14.43 | ||
| CI | 4.12 | 3.79 | 4.06 | 4.11 | 4.15 | 3.93 | 4.02 | 3.90 | ||
| S2-S1 | Mean | 67.44 | 70.09 | 68.52 | 68.52 | 69.68 | 71.87 | 71.69 | 73.18 | |
| Std | 15.43 | 14.22 | 15.21 | 15.40 | 15.57 | 14.72 | 15.05 | 14.64 | ||
| CI | 4.01 | 3.83 | 4.03 | 3.97 | 3.97 | 4.17 | 3.95 | 3.85 |
| Tasks | Results | LDA * | SVM * | KNN ** | EEGnet ** | FBCNet ** | RF |
|---|---|---|---|---|---|---|---|
| S1-S2 | Mean | 73.84 | 72.18 | 72.61 | 66.56 | 73.84 | 74.08 |
| Std | 14.50 | 14.19 | 15.13 | 14.49 | 14.10 | 14.43 | |
| CI | 3.87 | 3.78 | 4.04 | 3.86 | 3.76 | 3.85 | |
| S2-S1 | Mean | 72.60 | 72.12 | 72.22 | 65.84 | 72.36 | 73.18 |
| Std | 14.23 | 14.62 | 15.20 | 15.43 | 14.91 | 14.64 | |
| CI | 3.87 | 3.90 | 4.06 | 4.12 | 3.98 | 3.91 |
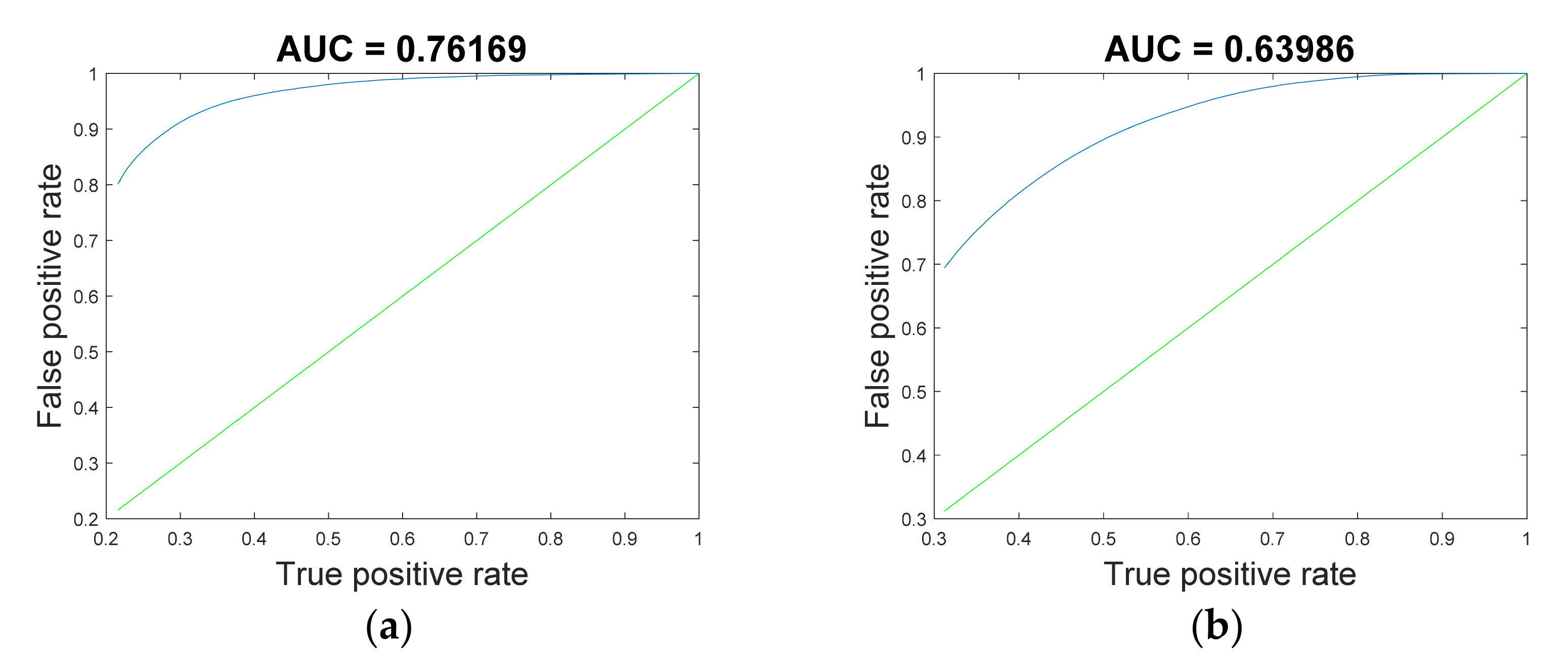
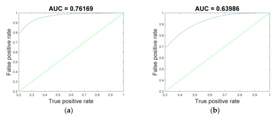
| Task | Kappa | Recall | F1-Score | Precision | AUC |
|---|---|---|---|---|---|
| S1-S2 | 0.703 | 0.816 | 0.791 | 0.768 | 0.762 |
| S2-S1 | 0.451 | 0.613 | 0.626 | 0.619 | 0.640 |
| Task | Kappa | Recall | F1-Score | Precision | AUC |
|---|---|---|---|---|---|
| S1-S2 | 0.631 | 0.743 | 0.741 | 0.739 | 0.736 |
| S2-S1 | 0.623 | 0.760 | 0.738 | 0.717 | 0.732 |
| Step | Computational Complexity |
|---|---|
| MK-ELM | |
| TCA | |
| RF |
Publisher’s Note: MDPI stays neutral with regard to jurisdictional claims in published maps and institutional affiliations. |
© 2022 by the authors. Licensee MDPI, Basel, Switzerland. This article is an open access article distributed under the terms and conditions of the Creative Commons Attribution (CC BY) license (https://creativecommons.org/licenses/by/4.0/).
Share and Cite
Tao, L.; Cao, T.; Wang, Q.; Liu, D.; Sun, J. Distribution Adaptation and Classification Framework Based on Multiple Kernel Learning for Motor Imagery BCI Illiteracy. Sensors 2022, 22, 6572. https://doi.org/10.3390/s22176572
Tao L, Cao T, Wang Q, Liu D, Sun J. Distribution Adaptation and Classification Framework Based on Multiple Kernel Learning for Motor Imagery BCI Illiteracy. Sensors. 2022; 22(17):6572. https://doi.org/10.3390/s22176572
Chicago/Turabian StyleTao, Lin, Tianao Cao, Qisong Wang, Dan Liu, and Jinwei Sun. 2022. "Distribution Adaptation and Classification Framework Based on Multiple Kernel Learning for Motor Imagery BCI Illiteracy" Sensors 22, no. 17: 6572. https://doi.org/10.3390/s22176572
APA StyleTao, L., Cao, T., Wang, Q., Liu, D., & Sun, J. (2022). Distribution Adaptation and Classification Framework Based on Multiple Kernel Learning for Motor Imagery BCI Illiteracy. Sensors, 22(17), 6572. https://doi.org/10.3390/s22176572

