UNetGE: A U-Net-Based Software at Automatic Grain Extraction for Image Analysis of the Grain Size and Shape Characteristics
Abstract
:1. Introduction
2. Principles of UNetGE
2.1. Data Acquisition
2.2. Data Processing Workflow
2.3. Methodology of Extraction
2.3.1. U-Net Architecture
2.3.2. Model Evaluation Metrics
2.4. Morphologic Statistics
3. Overview of Software Layout
4. Applications
4.1. Pre-Processing
4.1.1. Preparing JSON Files
4.1.2. Preparing Datasets
4.2. Performance of Net Models
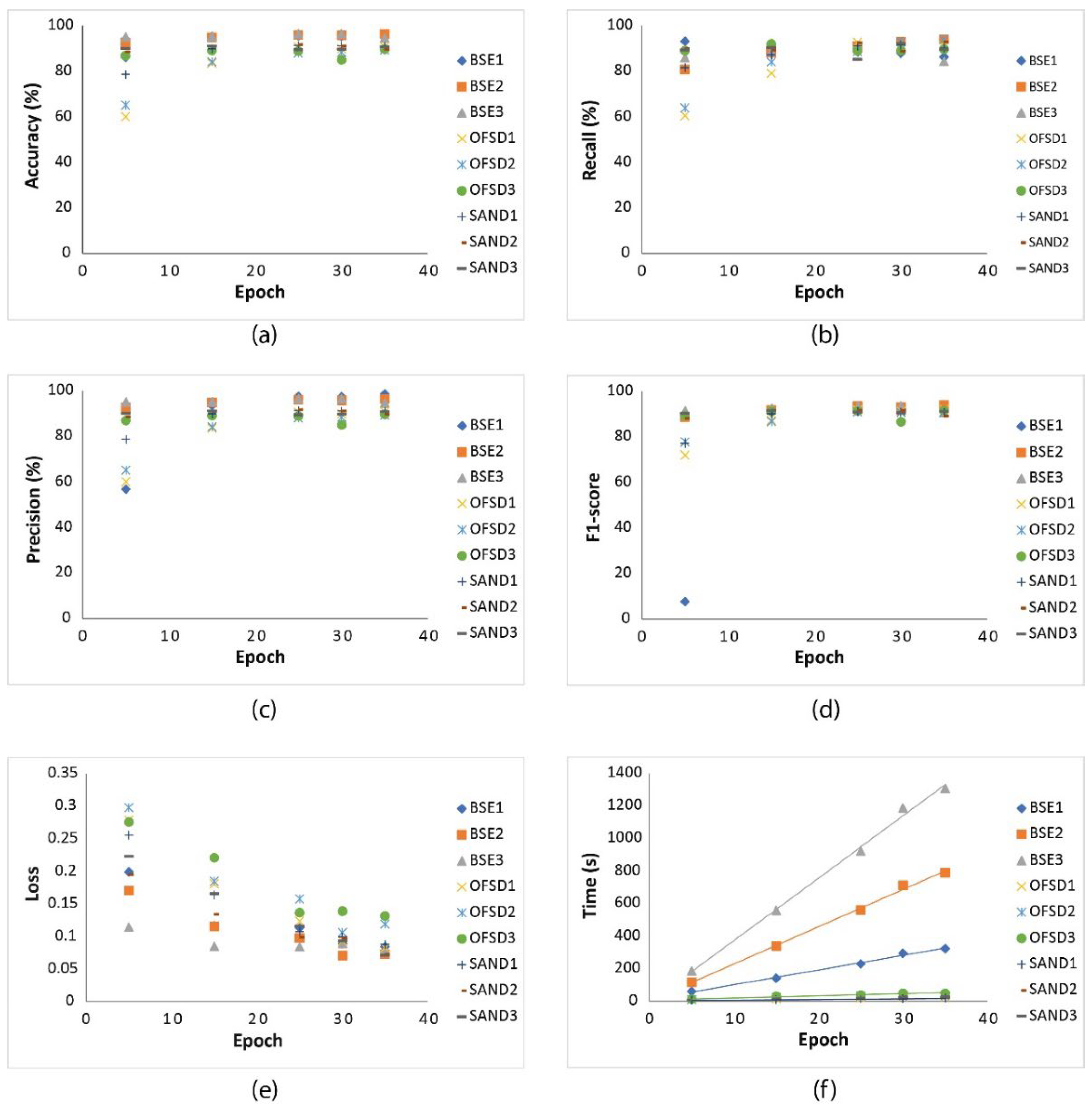
4.2.1. Effect of Epoch on Model
4.2.2. Effects of Sample Numbers and Image Sizes on Model
4.2.3. Summary and Discussion
4.3. Results of Extraction and Statistics
4.4. Comparisons with CEmin
5. Conclusions
6. Patents
Author Contributions
Funding
Institutional Review Board Statement
Informed Consent Statement
Data Availability Statement
Conflicts of Interest
References
- Altuhafi, F.N.; Coop, M.R.; Georgiannou, V.N. Effect of particle shape on the mechanical behavior of natural sands. J. Geotech. Geoenviron. 2016, 142, 04016071. [Google Scholar] [CrossRef]
- Cho, G.C.; Dodds, J.; Santamarina, J.C. Particle shape effects on packing density, stiffness, and strength: Natural and crushed sands. J. Geotech. Geoenviron. 2006, 132, 591–602. [Google Scholar] [CrossRef] [Green Version]
- Cavarretta, I.; Coop, M.; O’Sullivan, C. The influence of particle characteristics on the behaviour of coarse-grained soils. Géotechnique 2010, 60, 413–423. [Google Scholar] [CrossRef] [Green Version]
- Zheng, J.; Hryciw, R.D. Index void ratios of sands from their intrinsic properties. J. Geotech. Geoenviron. 2016, 142, 06016019. [Google Scholar] [CrossRef]
- Folk, R.L.; Ward, W.C. Brazos River bar [Texas]; A study in the significance of grain size parameters. J. Sediment. Res. 1957, 27, 3–26. [Google Scholar] [CrossRef]
- Friedman, G.M. Differences in size distributions of populations of particles among sands of various origins: Addendum to IAS Presidential Address. Sedimentology 1979, 26, 859–862. [Google Scholar] [CrossRef]
- Bui, E.N.; Mazzullo, J.M.; Wilding, L.P. Using quartz grain size and shape analysis to distinguish between aeolian and fluvial deposits in the Dallol Bosso of Niger (West Africa). Earth Surf. Process. Landforms 1989, 14, 157–166. [Google Scholar] [CrossRef]
- Blott, S.J.; Pye, K. Gradistat: A grain size distribution and statistics package for the analysis of unconsolidated sediments. Earth Surf. Process. Landforms 2001, 26, 1237–1248. [Google Scholar] [CrossRef]
- Hwang, S.I.; Lee, K.P.; Lee, D.S.; Powers, S.E. Models for Estimating Soil Particle-Size Distributions. Soil Sci. Soc. Am. J. 2002, 66, 1143–1150. [Google Scholar] [CrossRef]
- Erguler, Z.A. A quantitative method of describing grain size distribution of soils and some examples for its applications. Bull. Eng. Geol. Environ. 2016, 75, 807–819. [Google Scholar] [CrossRef]
- Tyler, S.W.; Wheatcraft, S.W. Application of Fractal Mathematics to Soil Water Retention Estimation. Soil Sci. Soc. Am. J. 1989, 53, 987–996. [Google Scholar] [CrossRef]
- Fredlund, D.G.; Xing, A.; Huang, S. Predicting the permeability function for unsaturated soils using the soil-water characteristic curve. Can. Geotech. J. 1994, 31, 533–546. [Google Scholar] [CrossRef]
- Arya, L.M.; Leij, F.J.; Shouse, P.J.; van Genuchten, M.T. Relationship between the Hydraulic Conductivity Function and the Particle-Size Distribution. Soil Sci. Soc. Am. J. 1999, 63, 1063–1070. [Google Scholar] [CrossRef]
- Arya, L.M.; Leij, F.J.; van Genuchten, M.T.; Shouse, P.J. Scaling Parameter to Predict the Soil Water Characteristic from Particle-Size Distribution Data. Soil Sci. Soc. Am. J. 1999, 63, 510–519. [Google Scholar] [CrossRef] [Green Version]
- Hwang, S.I.; Powers, S.E. Using Particle-Size Distribution Models to Estimate Soil Hydraulic Properties. Soil Sci. Soc. Am. J. 2003, 67, 1103–1112. [Google Scholar] [CrossRef]
- Mohammadi, M.H.; Meskini-Vishkaee, F. Predicting soil moisture characteristic curves from continuous particle-size distribution data. Pedosphere 2013, 23, 70–80. [Google Scholar] [CrossRef]
- Li, Y.; Huang, C.M.; Wang, B.L.; Tian, X.F.; Liu, J.J. A unified expression for grain size distribution of soils. Geoderma 2017, 288, 105–119. [Google Scholar]
- Casagli, N.; Ermini, L. Geomorphic analysis of landslide dams in the Northern Apennine. Chikei 1999, 20, 1883–1887. [Google Scholar]
- Casagli, N.; Ermini, L.; Rosati, G. Determining grain size distribution of the material composing landslide dams in the Northern Apennines: Sampling and processing methods. Eng. Geol. 2003, 69, 83–97. [Google Scholar] [CrossRef]
- Purkait, B. The use of grain-size distribution patterns to elucidate aeolian processes on a transverse dune of thar desert, India. Earth Surf. Process. Landforms 2010, 35, 525–530. [Google Scholar] [CrossRef]
- Johnson, C.G.; Kokelaar, B.P.; Iverson, R.M.; Logan, M.; Lahusen, R.G.; Gray, J.M.N.T. Grain-size segregation and levee formation in geophysical mass flows. J. Geophys. Res. Earth Surf. 2012, 117, F01032. [Google Scholar] [CrossRef]
- Bandini, V.; Biondi, G.; Cascone, E.; Di Filippo, G. Dynamic image analysis of Etna Sand in one-dimensional compression. Measurement 2017, 104, 336–346. [Google Scholar] [CrossRef]
- Zhang, X.; Baudet, B.A.; Hu, W.; Xu, Q. Characterization of the ultimate particle size distribution of uniform and gap-graded soils. Soils Found. 2017, 57, 603–618. [Google Scholar] [CrossRef]
- Shang, Y.; Kaakinen, A.; Beets, C.J.; Prins, M.A. Aeolian silt transport processes as fingerprinted by dynamic image analysis of the grain size and shape characteristics of Chinese loess and Red Clay deposits. Sediment. Geol. 2018, 375, 36–48. [Google Scholar] [CrossRef]
- Wang, X.; Weng, Y.; Wei, H.; Meng, Q.; Hu, M. Particle obstruction and crushing of dredged calcareous soil in the Nansha Islands, South China Sea. Eng. Geol. 2019, 261, 105274. [Google Scholar] [CrossRef]
- Wei, H.; Zhao, T.; Meng, Q.; Wang, X.; Zhang, B. Quantifying the Morphology of Calcareous Sands by Dynamic image Analysis. Int. J. Geomech. 2020, 20, 04020020. [Google Scholar] [CrossRef]
- Suescun-Florez, E.; Iskander, M.; Bless, S. Evolution of particle damage of sand during axial compression via arrested tests. Acta Geotech. 2020, 15, 95–112. [Google Scholar] [CrossRef]
- Li, L.; Iskander, M. Comparison of 2D and 3D dynamic image analysis for characterization of natural sands. Eng. Geol. 2021, 290, 106052. [Google Scholar] [CrossRef]
- Ghalib, A.M. Laboratory and In-Situ Soil Characterization by Computer Vision; UMich ProQuest Dissertations Publishing: Ann Arbor, MI, USA, 2001. [Google Scholar]
- Ili´c, M.; Budak, I.; Vasi´c, M.V.; Nagode, A.; Kozmidis-Luburi´c, U.; Hodolič, J.; Puškar, T. Size and shape particle analysis by applying image analysis and laser diffraction–Inhalable dust in a dental laboratory. Measurement 2015, 66, 109–117. [Google Scholar] [CrossRef]
- Ulusoy, U.; Igathinathane, C. Particle size distribution modeling of milled coals by dynamic image analysis and mechanical sieving. Fuel Process. Technol. 2016, 143, 100–109. [Google Scholar] [CrossRef]
- Zeng, L.; Cheng, L.; Costa, F.; Herrin, J. CEmin: A MATLAB-based software for computational phenocryst extraction and statistical petrology. Geochem. Geophys. Geosystems 2018, 19, 1378–1392. [Google Scholar] [CrossRef]
- Cheng, L.; Costa, F.; Carniel, R. Unraveling the presence of multiple plagioclase populations and identification of representative two-dimensional sections using a statistical and numerical approach. Am. Mineral. 2017, 102, 1894–1905. [Google Scholar] [CrossRef] [Green Version]
- Zheng, W.; Hu, X.; Tannant, D.D.; Zhang, K.; Xu, C. Characterization of two- and three-dimensional morphological properties of fragmented sand grains. Eng. Geol. 2019, 263, 105358. [Google Scholar] [CrossRef]
- Xie, W.Q.; Zhang, X.P.; Yang, X.M.; Liu, Q.S.; Tang, S.H.; Tu, X. Bin. 3D size and shape characterization of natural sand particles using 2D image analysis. Eng. Geol. 2020, 279, 105915. [Google Scholar] [CrossRef]
- Wallace, G.S.; Bergantz, G.W. Constraints on mingling of grain populations from off-center zoning profiles: A statistical approach. Am. Mineral. 2004, 89, 64–73. [Google Scholar] [CrossRef]
- Schäfer, A.; Teyssen, T. Size, shape and orientation of grains in sands and sandstones-image analysis applied to rock thin-sections. Sediment. Geol. 1987, 52, 251–271. [Google Scholar] [CrossRef]
- Krizhevsky, A.; Sutskever, I.; Hinton, G. ImageNet classification with deep convolutional neural networks. In Proceedings of the 25th International Conference on Neural Information Processing Systems (NIPS), Reno, NV, USA, 3–6 December 2012; pp. 1097–1105. [Google Scholar]
- LeCun, Y.; Bengio, Y. Convolutional networks for images, speech, and time series. Handb. Brain Theory Neural Netw. 1995, 3361. [Google Scholar]
- Karimpouli, S.; Tahmasebi, P. Segmentation of digital rock images using deep convolutional autoencoder networks. Comput. Geosci. 2019, 126, 142–150. [Google Scholar] [CrossRef]
- Long, J.; Shelhamer, E.; Darrell, T. Fully Convolutional Networks for Semantic Segmentation. In Proceedings of the IEEE Conference on Computer Vision and Pattern Recognition (CVPR), Boston, MA, USA, 7–12 June 2015; pp. 3431–3440. [Google Scholar]
- Kroner, A.; Senden, M.; Driessens, K.; Goebel, R. Contextual encoder–decoder network for visual saliency prediction. Neural Netw. 2020, 129, 261–270. [Google Scholar] [CrossRef]
- Ronneberger, O.; Fischer, P.; Brox, T. U-net: Convolutional networks for biomedical image segmentation. In Lecture Notes in Computer Science (Including Subseries Lecture Notes in Artificial Intelligence and Lecture Notes in Bioinformatics); Springer: Cham, Switzerland, 2015; pp. 234–241. [Google Scholar]
- Falk, T.; Mai, D.; Bensch, R.; Çiçek, Ö.; Abdulkadir, A.; Marrakchi, Y.; Böhm, A.; Deubner, J.; Jäckel, Z.; Seiwald, K.; et al. U-Net: Deep learning for cell counting, detection, and morphometry. Nat. Methods 2019, 16, 67–70. [Google Scholar] [CrossRef]
- Xu, Z.; Wang, S.; Stanislawski, L.V.; Jiang, Z.; Jaroenchai, N.; Sainju, A.M.; Shavers, E.; Usery, E.L.; Chen, L.; Li, Z.; et al. An attention U-Net model for detection of fine-scale hydrologic streamlines. Environ. Model. Softw. 2021, 140, 104992. [Google Scholar] [CrossRef]
- de Boer, P.T.; Kroese, D.P.; Mannor, S.; Rubinstein, R.Y. A tutorial on the cross-entropy method. Ann. Oper. Res. 2003, 134, 19–67. [Google Scholar] [CrossRef]
- Costa, M.G.F.; Campos, J.P.M.; De Aquino, E.; Aquino, G.; De Albuquerque Pereira, W.C.; Costa Filho, C.F.F. Evaluating the performance of convolutional neural networks with direct acyclic graph architectures in automatic segmentation of breast lesion in US images. BMC Med. Imaging 2019, 19, 85. [Google Scholar] [CrossRef] [PubMed]
- Merkus, H.G. Particle Size Measurements: Fundamentals, Practice, Quality; Springer: Cham, Switzerland, 2009. [Google Scholar]













| Dataset ID | JSON Files Included | Total Size of Training Images Included (MB) | Total Number of Training Samples Included |
|---|---|---|---|
| BSE1 | JSON B1 | 4.22 | 61 |
| BSE2 | JSON B1, JSON B2 | 8.52 | 117 |
| BSE3 | JSON B1, JSON B2, JSON B3 | 12.66 | 168 |
| OFSD1 | JSON OS1 | 0.127 | 57 |
| OFSD2 | JSON OS1, JSON OS2 | 0.255 | 120 |
| OFSD3 | JSON OS1, JSON OS2, JSON OS3 | 0.380 | 187 |
| SAND1 | JSON S1 | 0.038 | 52 |
| SAND2 | JSON S1, JSON S2 | 0.075 | 99 |
| SAND3 | JSON S1, JSON S2, JSON S3 | 0.112 | 147 |
| Model ID | Sample Number | Size (MB) | Time (s) | Loss (%) | Accuracy (%) | Precision (%) | Recall (%) | F1-Score (%) |
|---|---|---|---|---|---|---|---|---|
| BSE1 | 61 | 4.22 | 294 | 8.89 | 95.28 | 97.36 | 87.84 | 92.36 |
| BSE2 | 117 | 8.52 | 712 | 7.08 | 95.86 | 92.93 | 92.93 | 92.93 |
| BSE3 | 168 | 12.66 | 1186 | 8.93 | 96.52 | 96.08 | 91.02 | 93.48 |
| OFSD1 | 57 | 0.127 | 25 | 9.28 | 89.89 | 91.38 | 91.15 | 91.27 |
| OFSD2 | 120 | 0.255 | 34 | 10.62 | 88.27 | 88.78 | 92.73 | 90.71 |
| OFSD3 | 187 | 0.38 | 48 | 13.87 | 84.93 | 84.26 | 89.08 | 86.6 |
| SAND1 | 52 | 0.038 | 13 | 9.94 | 91.08 | 90.34 | 91.49 | 90.91 |
| SAND2 | 99 | 0.075 | 25 | 9.71 | 91.06 | 94.72 | 88.71 | 91.62 |
| SAND3 | 147 | 0.112 | 23 | 9.32 | 89.74 | 88.66 | 92.34 | 90.46 |
| Filename | DF_min (Pixel) | DF_max (Pixel) | Width (Pixel) | Length (Pixel) | Perimeter (Pixel) | Area (Pixel) | DF_min (mm) | DF_max (mm) | Width (mm) | Length (mm) | Perimeter (mm) | Area (mm) | Aspect ratio | Circularity |
|---|---|---|---|---|---|---|---|---|---|---|---|---|---|---|
| sands_6 | 21 | 23 | 25 | 26 | 75 | 379 | 0.424 | 0.453 | 0.500 | 0.520 | 1.500 | 0.151 | 0.938 | 0.919 |
| sands_15 | 19 | 30 | 22 | 34 | 86 | 401 | 0.379 | 0.609 | 0.440 | 0.680 | 1.729 | 0.160 | 0.622 | 0.821 |
| sands_17 | 23 | 55 | 27 | 58 | 151 | 866 | 0.462 | 1.098 | 0.540 | 1.160 | 3.024 | 0.346 | 0.421 | 0.690 |
| sands_19 | 27 | 28 | 31 | 32 | 96 | 586 | 0.540 | 0.560 | 0.620 | 0.640 | 1.917 | 0.234 | 0.964 | 0.895 |
| sands_28 | 28 | 39 | 31 | 41 | 119 | 733 | 0.565 | 0.776 | 0.620 | 0.820 | 2.378 | 0.293 | 0.728 | 0.807 |
| sands_42 | 26 | 41 | 28 | 43 | 115 | 749 | 0.518 | 0.819 | 0.560 | 0.860 | 2.303 | 0.299 | 0.632 | 0.842 |
| sands_71 | 16 | 34 | 18 | 36 | 86 | 421 | 0.311 | 0.679 | 0.360 | 0.720 | 1.715 | 0.168 | 0.458 | 0.848 |
| sands_80 | 22 | 27 | 25 | 33 | 91 | 438 | 0.445 | 0.538 | 0.500 | 0.660 | 1.830 | 0.175 | 0.828 | 0.810 |
| sands_98 | 32 | 35 | 32 | 45 | 119 | 779 | 0.639 | 0.690 | 0.640 | 0.900 | 2.371 | 0.312 | 0.926 | 0.834 |
| sands_1139 | 20 | 23 | 24 | 28 | 76 | 324 | 0.394 | 0.465 | 0.480 | 0.560 | 1.514 | 0.129 | 0.846 | 0.842 |
| sands_1180 | 22 | 35 | 25 | 37 | 98 | 510 | 0.446 | 0.698 | 0.500 | 0.740 | 1.962 | 0.204 | 0.639 | 0.816 |
| sands_1182 | 20 | 30 | 22 | 33 | 86 | 393 | 0.392 | 0.604 | 0.440 | 0.660 | 1.717 | 0.157 | 0.649 | 0.818 |
| sands_1191 | 21 | 27 | 22 | 30 | 81 | 380 | 0.410 | 0.537 | 0.440 | 0.600 | 1.625 | 0.152 | 0.763 | 0.850 |
| sands_1201 | 36 | 37 | 39 | 39 | 133 | 922 | 0.720 | 0.740 | 0.780 | 0.780 | 2.661 | 0.369 | 0.973 | 0.809 |
| sands_1205 | 20 | 35 | 23 | 37 | 97 | 545 | 0.400 | 0.695 | 0.460 | 0.740 | 1.943 | 0.218 | 0.576 | 0.851 |
| sands_1214 | 20 | 48 | 22 | 50 | 123 | 581 | 0.394 | 0.957 | 0.440 | 1.000 | 2.466 | 0.232 | 0.411 | 0.693 |
| sands_1226 | 25 | 33 | 25 | 38 | 106 | 527 | 0.495 | 0.656 | 0.500 | 0.760 | 2.113 | 0.211 | 0.755 | 0.770 |
| sands_1284 | 21 | 26 | 21 | 31 | 80 | 389 | 0.411 | 0.512 | 0.420 | 0.620 | 1.609 | 0.156 | 0.802 | 0.869 |
| sands_1292 | 23 | 28 | 27 | 30 | 86 | 491 | 0.467 | 0.552 | 0.540 | 0.600 | 1.722 | 0.196 | 0.846 | 0.912 |
| CEmin | UNetGE | ||||
|---|---|---|---|---|---|
| Sub-Group | Setting Number of Voids | Time to Remove Voids (Secs) | Number of Grains Directly Extracted | Time for Extraction (Secs) | Time for Model Application (Secs) |
| one-eighteenth part | 40 | 4 | 59 | 9 | It is used to train model about 294 secs |
| one-ninth part | 80 | 4 | 111 | 28 | 11 |
| one-sixth part | 120 | 6 | 167 | 75 | 13 |
| one-third part | 160 | 11 | 219 | 132 | 25 |
| one-second part | 200 | 19 | 304 | 288 | 41 |
| the whole image | 250 | 43 | 633 | 1074 | 75 |
Publisher’s Note: MDPI stays neutral with regard to jurisdictional claims in published maps and institutional affiliations. |
© 2022 by the authors. Licensee MDPI, Basel, Switzerland. This article is an open access article distributed under the terms and conditions of the Creative Commons Attribution (CC BY) license (https://creativecommons.org/licenses/by/4.0/).
Share and Cite
Zeng, L.; Li, T.; Wang, X.; Chen, L.; Zeng, P.; Herrin, J.S. UNetGE: A U-Net-Based Software at Automatic Grain Extraction for Image Analysis of the Grain Size and Shape Characteristics. Sensors 2022, 22, 5565. https://doi.org/10.3390/s22155565
Zeng L, Li T, Wang X, Chen L, Zeng P, Herrin JS. UNetGE: A U-Net-Based Software at Automatic Grain Extraction for Image Analysis of the Grain Size and Shape Characteristics. Sensors. 2022; 22(15):5565. https://doi.org/10.3390/s22155565
Chicago/Turabian StyleZeng, Ling, Tianbin Li, Xiekang Wang, Lei Chen, Peng Zeng, and Jason Scott Herrin. 2022. "UNetGE: A U-Net-Based Software at Automatic Grain Extraction for Image Analysis of the Grain Size and Shape Characteristics" Sensors 22, no. 15: 5565. https://doi.org/10.3390/s22155565
APA StyleZeng, L., Li, T., Wang, X., Chen, L., Zeng, P., & Herrin, J. S. (2022). UNetGE: A U-Net-Based Software at Automatic Grain Extraction for Image Analysis of the Grain Size and Shape Characteristics. Sensors, 22(15), 5565. https://doi.org/10.3390/s22155565

