GAN-FDSR: GAN-Based Fault Detection and System Reconfiguration Method
Abstract
:1. Introduction
2. Data Preprocessing
2.1. Tightly Coupled GNSS/INS Integration Model
2.2. Chaotic Characteristic Analysis and Phase Space Reconstruction
2.2.1. Determining the Time Delay
2.2.2. Finding the Embedding Dimension
2.2.3. Calculating the Lyapunov Exponent
- 1.
- Perform a fast Fourier transform (FFT) on the time series to obtain the average period ;
- 2.
- Reconstruct in the phase space according to and . The obtained multidimensional sequence can be expressed as:where is an dimensional matrix, denotes the phase points, and is the number of phase points in the reconstructed phase space;
- 3.
- Find the closest point for each in the phase space and calculate the initial distance as follows:where and ;
- 4.
- Calculate the distance between each and the corresponding in the phase space after steps.
- 5.
- Calculate the average of all for each as follows:where is the number of non-zero , and represents the sample period. The slope of the line is the largest Lyapunov exponent when linear regression is performed by the least square method.
3. GAN-FDSR: GAN-Based Fault Detection and System Reconfiguration Method
3.1. Model Training
- Feed random sequences generated from random space into the generator to generate pseudo-sequences.
- Pseudo-sequences and original sequences are inputted to the discriminator for discriminating.
- Optimize the parameters of the discriminator.
- Optimize the parameters of the generator.
- Record the parameters of the discriminator and generator in the current iteration after completing the iterative training.
3.2. Detection Function and Detection Threshold
- 1.
- Calculate the generation error using the pseudo-sequences and the original sequences: ;
- 2.
- is obtained after normalization, where .
- 3.
- The dispersion degree of the generation error can be given as:where is the mean value of the elements in .
3.3. System Reconfiguration
- ①
- Preprocess raw pseudo-range data.
- ②
- The pre-processed data is fed into a trained GAN model to calculate the detection score. The system is considered faulty and requires system reconfiguration if the score is greater than the detection threshold , otherwise the integrated filtering continues.
- ③
- Calculate the RDPOP value of the faulty satellite. If RDPOP is greater than , use the generated pseudo-range to replace the faulty measurement for integrated filtering; otherwise, isolate the fault measurement.
- ④
- Obtain the navigation solution of the tightly coupled system by correcting the INS output with the error estimation from the integrated filtering.
4. Field Test Results and Analysis
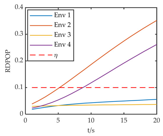
4.1. Analysis of RDPOP
4.2. Analysis of Fault Detection Performance and Positioning Accuracy
5. Conclusions
Author Contributions
Funding
Institutional Review Board Statement
Informed Consent Statement
Data Availability Statement
Conflicts of Interest
Appendix A. Fault Detection and Identification
Appendix B. Fault Isolation
Appendix C. Fault Adaptation
References
- Wang, C.; Xu, A.; Sui, X.; Hao, Y.; Shi, Z.; Chen, Z. A seamless navigation system and applications for autonomous vehicles using a tightly coupled GNSS/UWB/INS/MAP integration scheme. Remote Sens. 2022, 14, 27. [Google Scholar] [CrossRef]
- Sun, R.; Zhang, W.; Zheng, J.; Ochieng, W.Y. GNSS/INS Integration with Integrity Monitoring for UAV No-fly Zone Management. Remote Sens. 2020, 12, 524. [Google Scholar] [CrossRef] [Green Version]
- Gu, S.; Dai, C.; Fang, W.; Zheng, F.; Wang, Y.; Zhang, Q.; Lou, Y.; Niu, X. Multi-GNSS PPP/INS tightly coupled integration with atmospheric augmentation and its application in urban vehicle navigation. J. Geod. 2021, 95, 64. [Google Scholar] [CrossRef]
- LaForest, L.; Hasheminasab, S.M.; Zhou, T.; Flatt, J.E.; Habib, A. New strategies for time delay estimation during system calibration for UAV-based GNSS/INS-assisted imaging systems. Remote Sens. 2019, 11, 1811. [Google Scholar] [CrossRef] [Green Version]
- Stepanov, O.A. Optimal and Suboptimal Filtering in Integrated Navigation Systems. In Aerospace Navigation Systems; John Wiley & Sons, Ltd.: Hoboken, NJ, USA, 2016; Chapter 8; pp. 244–298. [Google Scholar] [CrossRef]
- Zhao, Y. Performance evaluation of Cubature Kalman filter in a GPS/IMU tightly-coupled navigation system. Signal Process. Off. Publ. Eur. Assoc. Signal Process. 2016, 119, 67–79. [Google Scholar] [CrossRef]
- Hu, G.; Gao, S.; Zhong, Y. A derivative UKF for tightly coupled INS/GPS integrated navigation. ISA Trans. 2015, 56, 135–144. [Google Scholar] [CrossRef]
- Gao, D.; Hu, B.; Qin, F.; Chang, L.; Xu, L. A real time gravity compensation method for INS based on BPNN. IEEE Sens. J. 2021, 21, 13584–13593. [Google Scholar] [CrossRef]
- Shaheen, E.M. Mathematical Analysis for the GPS Carrier Tracking Loop Phase Jitter in Presence of Different Types of Interference Signals. Gyroscopy Navig. 2018, 9, 267–276. [Google Scholar] [CrossRef]
- Liu, W.; Gu, M.; Mou, M.; Hu, Y.; Wang, S. A distributed GNSS/INS integrated navigation system in a weak signal environment. Meas. Sci. Technol. 2021, 32, 115108. [Google Scholar] [CrossRef]
- Gautier, J.D.; Parkinson, B.W. Using the GPS/INS generalized evaluation tool (GIGET) for the comparison of loosely coupled, tightly coupled and ultra-tightly coupled integrated navigation systems. In Proceedings of the 59th Annual Meeting of the Institute of Navigation and CIGTF 22nd Guidance Test Symposium (2003), Albuquerque, NM, USA, 23–25 June 2003; pp. 65–76. [Google Scholar]
- Zhang, C.; Zhao, X.; Pang, C.; Zhang, L.; Feng, B. The influence of satellite configuration and fault duration time on the performance of fault detection in GNSS/INS integration. Sensors 2019, 19, 2147. [Google Scholar] [CrossRef] [Green Version]
- Sukkarieh, S.; Nebot, E.M.; Durrant-Whyte, H.F. A high integrity IMU/GPS navigation loop for autonomous land vehicle applications. IEEE T rans. Robot. Autom. 1999, 15, 572–578. [Google Scholar] [CrossRef] [Green Version]
- Gao, G.; Gao, S.; Hong, G.; Peng, X.; Yu, T. A robust INS/SRS/CNS integrated navigation system with the chi-square test-based robust Kalman filter. Sensors 2020, 20, 5909. [Google Scholar] [CrossRef]
- Liu, Y.; Li, S.; Fu, Q.; Liu, Z.; Zhou, Q. Analysis of Kalman filter innovation based GNSS spoofing detection method for INS/GNSS integrated navigation system. IEEE Sens. J. 2019, 19, 5167–5178. [Google Scholar] [CrossRef]
- Zhong, L.; Liu, J.; Li, R.; Wang, R. Approach for detecting soft faults in GPS/INS integrated navigation based on LS-SVM and AIME. J. Navig. 2017, 70, 561–579. [Google Scholar] [CrossRef]
- Yang, L.; Shen, Y.; Li, B.; Rizos, C. Simplified algebraic estimation for the quality control of DIA estimator. J. Geod. 2021, 95, 14. [Google Scholar] [CrossRef]
- Zaminpardaz, S.; Teunissen, P.j.G. DIA-datasnooping and identifiability. J. Geod. 2019, 93, 85–101. [Google Scholar] [CrossRef] [Green Version]
- Crespillo, O.G.; Medina, D.; Skaloud, J.; Meurer, M. Tightly coupled GNSS/INS integration based on robust M-estimators. In Proceedings of the IEEE/ION Position, Location and Navigation Symposium (PLANS) (2018), Monterey, CA, USA, 23–26 April 2018; pp. 1554–1561. [Google Scholar] [CrossRef]
- Zhang, F.; Wang, Y.; Gao, Y. A novel method of fault detection and identification in a tightly coupled, INS/GNSS-integrated system. Sensors 2021, 21, 2922. [Google Scholar] [CrossRef]
- Wang, S.; Zhan, X.; Zhai, Y.; Liu, B. Fault detection and exclusion for tightly coupled GNSS/INS system considering fault in state prediction. Sensors 2020, 20, 590. [Google Scholar] [CrossRef] [Green Version]
- Liu, F.; Sun, X.; Xiong, Y.; Huang, H.; Guo, X.; Zhang, Y.; Shen, C. Combination of iterated cubature Kalman filter and neural networks for GPS/INS during GPS outages. Rev. Sci. Instrum. 2019, 90, 125005. [Google Scholar] [CrossRef]
- Zhu, Y.; Cheng, X.; Wang, L. A novel fault detection method for an integrated navigation system using Gaussian process regression. J. Navig. 2016, 69, 905–919. [Google Scholar] [CrossRef] [Green Version]
- Sun, R.; Cheng, Q.; Wang, G.; Ochieng, W.Y. A novel online data-driven algorithm for detecting UAV navigation sensor faults. Sensors 2017, 17, 2243. [Google Scholar] [CrossRef] [Green Version]
- Guo, C.; Li, F.; Tian, Z.; Guo, W.; Tan, S. Intelligent active fault-tolerant system for multi-source integrated navigation system based on deep neural network. Neural Comput. Appl. 2020, 32, 16857–16874. [Google Scholar] [CrossRef]
- Peng, D.; Yang, W.; Liu, C.; Lü, S. SAM-GAN: Self-Attention supporting Multi-stage Generative Adversarial Networks for text-to-image synthesis. Neural Netw. 2021, 138, 57–67. [Google Scholar] [CrossRef]
- Mosser, L.; Dubrule, O.; Blunt, M.J. Stochastic reconstruction of an oolitic limestone by Generative Adversarial Networks. Transp. Porous Med. 2018, 125, 81–103. [Google Scholar] [CrossRef] [Green Version]
- Li, R.; Wu, C.; Liu, S.; Wang, J.; Wang, G.; Liu, G.; Zeng, B. SDP-GAN: Saliency detail preservation Generative Adversarial Networks for high perceptual quality style transfer. IEEE Trans. Image Process. 2021, 30, 374–385. [Google Scholar] [CrossRef]
- Liang, J.; Tang, W. Sequence Generative Adversarial Networks for wind power scenario generation. IEEE J. Sel. Areas Commun. 2020, 38, 110–118. [Google Scholar] [CrossRef]
- Li, D.; Chen, D.; Shi, L.; Jin, B.; Goh, J.; Ng, S.K. MAD-GAN: Multivariate Anomaly Detection for Time Series Data with Generative Adversarial Networks. In Proceedings of the International Conference on Artificial Neural Networks (2019), Munich, Germany, 17–19 September 2019. [Google Scholar] [CrossRef] [Green Version]
- Thomas, S.; Philipp, S.; Sebastian, M.W.; Georg, L.; Ursula, S.E. f-AnoGAN: Fast unsupervised anomaly detection with Generative Adversarial Networks. Med. Image Anal. 2019, 56, 30–44. [Google Scholar] [CrossRef]
- Takens, F. Detecting strange attractors in turbulence. In Dynamical Systems and Turbulence, Warwick; Rand, D., Young, L.S., Eds.; Springer: Berlin/Heidelberg, Germany, 1980; Volume 898. [Google Scholar] [CrossRef]
- Xu, Y.; Huang, Y.; Xu, X.; Xiao, F. Improved hybrid model for predicting concrete crack openings based on chaos theory. Math. Probl. Eng. 2022, 2022, 5147744. [Google Scholar] [CrossRef]
- Wei, N.; Yin, L.; Li, C.; Liu, J.; Li, C.; Huang, Y.; Zeng, F. Data complexity of daily natural gas consumption: Measurement and impact on forecasting performance. Energy 2022, 238, 122090. [Google Scholar] [CrossRef]
- Wang, X.; Li, W.; Yin, C.; Zeng, S.; Liu, P. A multiple-parameter approach for short-term traffic flow prediction. Mod. Phys. Lett. B 2021, 35, 2150245. [Google Scholar] [CrossRef]
- Fraser, A.M.; Swinney, H.L. Independent coordinates for strange attractors from mutual information. Phys. Rev. A Gen Phys. 1986, 33, 1134–1140. [Google Scholar] [CrossRef] [PubMed]
- Cao, L. Practical method for determining the minimum embedding dimension of a scalar time series. Phys. D 1997, 110, 43–50. [Google Scholar] [CrossRef]
- Huang, Y.; Han, X.; Zhao, L. Recurrent neural networks for complicated seismic dynamic response prediction of a slope system. Eng. Geol. 2021, 289, 106198. [Google Scholar] [CrossRef]
- Jalayer, A.; Kahani, M.; Pourmasoumi, A.; Beheshti, A. HAM-Net: Predictive business process monitoring with a hierarchical attention mechanism. Knowl.-Based Syst. 2022, 236, 107722. [Google Scholar] [CrossRef]
- Gao, S.; Huang, Y.; Zhang, S.; Han, J. Short-term runoff prediction with GRU and LSTM networks without requiring time step optimization during sample generation. J. Hydrol. 2020, 589, 125188. [Google Scholar] [CrossRef]
- Wu, Y.; Jiang, B.; Wang, Y. Incipient winding fault detection and diagnosis for squirrel-cage induction motors equipped on CRH trains. ISA Trans. 2020, 99, 488–495. [Google Scholar] [CrossRef]
- Zhang, C.; Zhao, X.; Pang, C.; Li, T.; Zhang, L. Adaptive fault isolation and system reconfiguration method for GNSS/INS integration. IEEE Access 2020, 8, 17121–17133. [Google Scholar] [CrossRef]













| Satellites | Largest Lyapunov Exponent | ||
|---|---|---|---|
| G1 1 | 8 | 7 | 0.2105 |
| G3 | 7 | 11 | 0.1081 |
| G6 | 8 | 11 | 0.1436 |
| G7 | 6 | 9 | 0.2074 |
| G8 | 10 | 9 | 0.1545 |
| G10 | 7 | 9 | 0.1694 |
| G11 | 6 | 9 | 0.1176 |
| G17 | 7 | 10 | 0.1898 |
| G20 | 5 | 11 | 0.2333 |
| Inertial Sensor | Bias | Bias Stability | Measuring Range |
|---|---|---|---|
| Gyro | 0.5°/h | 0.5°/h | ± 300°/s |
| Accelerometer | 25 mg | 25 mg | ±10 g |
| Fault Section | Faulty Satellite | Number of Visible Satellites | Geometric Configuration | |
|---|---|---|---|---|
| Env 1 | 199–219 | G6 | 9 | / |
| Env 2 | 199–219 | G6 | 5 | / |
| Env 3 | 256–276 | G11 | 5 | Configuration 1 |
| Env 4 | 256–276 | G11 | 5 | Configuration 2 |
| Fault Type | Failure Mode | Characteristics of Fault |
|---|---|---|
| Type 1 | Step fault | 20 m |
| Type 2 | Step fault | 10 m |
| Type 3 | Gradual fault | 1 m/s |
| Type 4 | Gradual fault | 0.5 m/s |
| Type 5 | Gradual fault | 0.3 m/s |
| Detection Delay | Missing Alarm Rate | |||||
|---|---|---|---|---|---|---|
| FDI | FDA | GAN-FDSR | FDI | FDA | GAN-FDSR | |
| Type 1 | 0 | 0 | 0 | 0 | 0 | 0 |
| Type 2 | 60 | 60 | 0 | 100% | 100% | 0 |
| Type 3 | 18 | 18 | 3 | 30% | 30% | 5% |
| Type 4 | 34 | 34 | 6 | 57% | 57% | 10% |
| Type 5 | 54 | 54 | 9 | 90% | 90% | 15% |
Publisher’s Note: MDPI stays neutral with regard to jurisdictional claims in published maps and institutional affiliations. |
© 2022 by the authors. Licensee MDPI, Basel, Switzerland. This article is an open access article distributed under the terms and conditions of the Creative Commons Attribution (CC BY) license (https://creativecommons.org/licenses/by/4.0/).
Share and Cite
Shen, Z.; Zhao, X.; Pang, C.; Zhang, L. GAN-FDSR: GAN-Based Fault Detection and System Reconfiguration Method. Sensors 2022, 22, 5313. https://doi.org/10.3390/s22145313
Shen Z, Zhao X, Pang C, Zhang L. GAN-FDSR: GAN-Based Fault Detection and System Reconfiguration Method. Sensors. 2022; 22(14):5313. https://doi.org/10.3390/s22145313
Chicago/Turabian StyleShen, Zihan, Xiubin Zhao, Chunlei Pang, and Liang Zhang. 2022. "GAN-FDSR: GAN-Based Fault Detection and System Reconfiguration Method" Sensors 22, no. 14: 5313. https://doi.org/10.3390/s22145313
APA StyleShen, Z., Zhao, X., Pang, C., & Zhang, L. (2022). GAN-FDSR: GAN-Based Fault Detection and System Reconfiguration Method. Sensors, 22(14), 5313. https://doi.org/10.3390/s22145313
