Abstract
Time-series representation is the most important task in time-series analysis. One of the most widely employed time-series representation method is symbolic aggregate approximation (SAX), which converts the results from piecewise aggregate approximation to a symbol sequence. SAX is a simple and effective method; however, it only focuses on the mean value of each segment in the time-series. Here, we propose a novel time-series representation method—distance- and momentum-based symbolic aggregate approximation (DM-SAX)—that can secure time-series distributions by calculating the perpendicular distance from the time-axis to each data point and consider the time-series trend by adding a momentum factor reflecting the direction of previous data points. Experimental results for 29 highly imbalanced classification problems on the UCR datasets revealed that DM-SAX affords the optimal area under the curve (AUC) among competing time-series representation methods (SAX, extreme-SAX, overlap-SAX, and distance-based SAX). We statistically verified that performance improvements resulted in significant differences in the rankings. In addition, DM-SAX yielded the optimal AUC for real-world wire cutting and crimping process dataset. Meaningful data points such as outliers could be identified in a time-series outlier detection framework via the proposed method.
1. Introduction
A time-series is a collection of temporal data and is one of the most frequently generated data in real-world applications. Thus, time-series analysis has been a crucial task in real-world data-mining research since time-series can be easily obtained from various data sources. To appropriately analyze a time-series, the most important task is time-series representation, which involves the extraction of feature values from the time-series. Generally, time-series consists of continuous values with enormous lengths; thus, extracting feature values that can summarize the given time-series is a crucial task.
The most widely employed approach for time-series representation is dimensionality reduction [,,,,,]. One of the initially used dimensionality reduction approaches is sampling []. In this approach, a single data point is selected for each time-series segment and is considered as the feature value that represents the corresponding segment in the time-series. Although the sampling method is easy to implement, representing each segment of the time-series involving only a single data point is difficult, particularly when there are numerous data points in each time-series segment. To improve the sampling method, extracting a feature value that can effectively represent a set of data points in each time-series segment has received significant attention. One notable method is piecewise aggregate approximation (PAA) [], which computes the mean value of each segment in a time-series to represent the corresponding set of data points. PAA has been demonstrated to be effective for time-series representations. Consequently, various extensions have been introduced in time-series representations [,,,].
Another broadly employed approach to represent time-series is discretization, which converts the numeric value to a symbolic form [,,,,,]. Specifically, this method discretizes the time-series into a predefined number of segments and then converts each segment into a symbol. One of the widely used time-series discretization methods is symbolic aggregate approximation (SAX) [], which transforms the results from PAA values to a symbol sequence. The time-series distribution space that follows the standard normal distribution was divided into equiprobable regions. Each region is represented by a specific symbol, such that each segment can be mapped into a corresponding symbol where it exists. SAX easily allows inspection of results using discretized symbols in real-world applications [,,,,,,,,,,,,,].
Nevertheless, SAX has a major limitation in which it only represents the mean value of each segment in the time-series. Thus, SAX representation is prone to missing some important information in the time-series [,,,,,,,,,,,,,,]. Especially, in classification, one of the main research topics in time-series analysis, retention of meaningful information is critical because the classification performance would be significantly affected if the symbols between different classes are ambiguously discriminated. Moreover, generating symbols that can properly represent the corresponding class is a key consideration in a highly imbalanced classification, where the number of data points between different classes is extremely different. By employing conventional SAX, the segment that contains data points of the minor class might be converted to a symbol that does not reflect them because of the relatively larger number of data points corresponding to the major class. Thus, the influence of data points in the minor class would be diminished during time-series representation. In fact, dealing with highly imbalanced data is one of the main characteristics of real-world applications [,,,]. Therefore, a time-series discretization method that can effectively summarize data points to properly represent the class which they reside in must be developed.
Herein, we propose a novel time-series representation method, named distance- and momentum-based symbolic aggregate approximation (DM-SAX), that can discriminate between majority and minority classes by considering time-series distributions and trends. As demonstrated in later sections, the proposed method considers the time-series distribution by calculating the perpendicular distance from the time-axis to each data point. In addition, the time-series trend is considered by adding a momentum factor that reflects the direction of previous data points. It will be easy to identify the meaningful data points by employing DM-SAX, such as defects in manufacturing process, in a time-series outlier detection framework.
The remainder of this paper is organized as follows. Section 2 reviews the related works. In Section 3, the conventional SAX and the proposed DM-SAX are introduced in detail. Section 4 presents the performance benchmarks of the proposed model against other time-series symbolic-representation approaches. Finally, the conclusions and possible avenues for future research are presented in Section 5.
2. Related Works
2.1. Conventional SAX
The conventional SAX represents and preserves time-series information using alphabetical symbols. It is well known for its effective representation of high-dimensional time- series while maintaining the properties of the given data points in the time-series [].
Figure 1 presents the SAX procedure. The first phase is to employ dimensionality reduction using PAA []. As shown in Figure 1a, the time-series is divided into segments with a certain length, and each segment is summarized with the mean value of the data points that it includes. Therefore, the time-series vector with a length of N is converted into a PAA vector with a length of S. The ith element of PAA is computed using the equation below.
where i ranges from 1 to S, is the jth element of .

Figure 1.
Procedure of (a) PAA (t_size = 5) and (b) SAX (n_bins = 7).
Here, a constant is called the time segment size (t_size), which is used as the main PAA hyperparameter.
The second phase involves discretizing the PAA values, as shown in Figure 1b. In this phase, a previously generated PAA vector is transformed into a symbol vector by mapping each element of into one of the discretization regions in accordance with its value. Note that the discretization regions follow a standard normal distribution, with the size of each region being equal to satisfy the equiprobability. For instance, Figure 1b demonstrates a case with an alphabet size of 7, indicating that ±1.07, ±0.57, and ±0.18 are the ‘breakpoints’ of each separation, and that each alphabet (a, b, c, d, e, f, and g), following the standard normal distribution, occupies 14.3% of the area. Table 1 lists the breakpoints.

Table 1.
Lookup table containing the breakpoints.
Finally, the element is converted to an alphabetical symbol, becoming the represented value for its corresponding element of . At this point, the number of discretization regions is called the number of bins (n_bins), which is employed as the main SAX hyperparameter.
2.2. Real-World Applications of SAX
SAX is a popular time-series representation method that has been extensively studied in real-world applications. In general, there are two research topics related to SAX in real-world applications, such as pattern-discovery and prediction.
With this, the pattern-discovery is an interesting research topic. Park and Jung [] proposed a pattern-discovery framework that combined SAX with association rule mining (ARM). In the SAX-ARM method, time-series generated from sensors in a die-casting process are converted to symbols. Then, apriori, one of the most employed ARM algorithms, extracts the deviant patterns from those symbols. Ferreira et al. [] suggested adaptive SAX (ASAX) to analyze heat-wave patterns from daily information. The suggested approach adopts SAX after time-series segments are automatically adapted by considering the difference between the current and average values. Similarly, Wu and Lee [] introduced an algorithm called closed flexible patterns (CFP) to identify the mining of closed flexible patterns by utilizing SAX. CFP employs SAX to convert time-series into symbols. Subsequently, frequent patterns are extracted through a depth-first search. Ohsaki et al. [] suggested a rule discovery support system for sequential medical data. The proposed system utilizes SAX to extract patterns of glutamic pyruvic transaminase (GPT) from data obtained from patients with hepatitis. In the medical field, Tseng et al. [] proposed a SAX modification to identify novel genetic relationships by mining similar subsequences in microarray data. Ordóñez [] proposed a novel pattern-visualization algorithm that can differentiate between medical conditions such as renal and respiratory failure. The proposed algorithm applies SAX to help interpret time-series data obtained from the pediatric intensive care unit (PICU). Yaik et al. [] employed SAX to identify frequent patterns generated in CPU traces. By using SAX, the proposed method can predict longer steps ahead than the conventional prediction technique (i.e., network weather services (NWS)).
Another research topic is prediction. Pouget et al. [] suggested an approach that can detect attacks that occurred on the Internet. This approach uses SAX to transform data collected in a honeypot platform into symbols, which are used to detect attacks by systematically identifying similarities between the time signatures of the attack tools. On the other hand, Zoumboulakis and Roussos [] proposed a novel method to detect complex events in sensor networks. Here, the real-valued sensor data are converted to symbols via SAX representation, and complex events that are difficult or impossible to describe using conventional SQL-like languages are detected using distance metrics. Meanwhile, McGovern et al. [] introduced a prediction system that can detect severe weather conditions such as tornados. The introduced system applies SAX to convert large multidimensional time-series into symbolic representations. Symbols that satisfy the predefined probability of detection (POD) and false alarm ratio (FAR) are selected to create rules that can identify tornados. Ciompi et al. [] adopted a technique for the automatic detection of diseased regions of vessels using intravascular ultrasound (IVUS) sequences. Morphological profiles from IVUS were obtained using the proposed technique. Thereafter, SAX was applied to convert morphological profiles to discrete codewords, which were used in the selection of keyframes that can detect unhealthy regions of the vessel. Shie et al. [] proposed an online treatment system for panic patients by combining biofeedback therapy and web technologies. Numerical biofeedback data are transformed into symbolized sequence data by employing SAX, and the classify-by-sequence (CBS) algorithm is applied to detect whether the treatment is suitable. Morgan et al. [] proposed an anomaly detection algorithm for marine engines. Here, the measured iron concentrations from the cylinder of the engine are collected. Then, these measurements are converted to symbols by applying SAX, and support vector machines (SVM) are employed to detect unexpected concentrations in the engine. He et al. [] proposed an analog circuit fault detection system using SAX. In the proposed system, data are collected from four op-amp bi-quad low-pass filter circuits and then converted to symbols to detect the type of fault.
2.3. Variations of SAX
SAX results in an appropriate time-series representation. However, as previously discussed, SAX is based on the PAA representation. Therefore, it only symbolizes the mean value of each segment in the time-series, and this representation might cause information loss. Various attempts have been devoted toward overcoming the shortcomings in existing literature.
Fuad and Marwan [] proposed extreme-SAX (E-SAX), where the symbols can represent the segment more precisely than those of conventional SAX by considering only the minimum and maximum data points of the segment. Lkhagva et al. [] used extended-SAX to reflect the trend of time-series containing a few critical data points, such as financial time-series. The proposed approach can offset the negative effect and only consider the mean value of the segment by adding the minimum and maximum values to the mean value. Lin et al. [] proposed bag-of-patterns (BOP), which constructs a histogram of SAX words using the framework of bag-of-feature (BOF). Thereafter, classification is performed by comparing the histograms to identify the nearest neighbor located in the training set. One of the popular variations of BOP is symbolic aggregate approximation and vector space model (SAX-VSM) [], which introduces term frequency-inverse document frequency (TF-IDF) to assign weights to SAX words. Each SAX word has a different weight for each class to optimize the similarity computation to a certain extent. The major contribution of SAX-VSM is the proposal of a parameter selection optimization method, DIRECT, to accelerate the SAX parameter search. Fuad and Marwan [] suggested overlap-SAX (O-SAX) to include the trend information of a given time-series. The last data point in the previous segment and the first data point in the following segment are swapped to consider the trend of the data points. Song et al. [] proposed a novel approach referred to as transitional-SAX (T-SAX) to incorporate transitional information into conventional SAX. To retain meaningful information, the proposed approach retains the upward and downward transitional information by tracing the data points traveling from the current quantile region to the next location. Sun et al. [] suggested SAX-based trend distance (SAX-TD) to reflect the trend of the time-series using the first and last data points of a segment. Yin et al. [] proposed the trend feature symbolic approximation (TFSA) to enhance the classification performance of SAX. In the proposed approach, a two-stage segmentation approach for fast segmentation of long time-series is applied, and the experimental results demonstrate that it achieves better segmentation and classification accuracy than SAX. Malinowski et al. [] adopted a novel algorithm 1d-SAX that outperformed SAX, while retaining the compression ratio. In the algorithm, linear regression is applied in sub-segments of the time-series. Then, symbols are created via mean and slope values. Fuad and Marwan [] proposed the genetic algorithm SAX (GASAX) to determine the breakpoints using a genetic algorithm. In the proposed algorithm, a genetic algorithm is employed to determine the nearly optimal configuration of breakpoints that provides the optimal fitness during the SAX process. Additional variations of SAX are described in [,,,,].
3. Proposed Method: DM-SAX
3.1. D-SAX
The conventional SAX approach results in an appropriate time-series representation. However, SAX is based on the PAA representation, minimizing the dimensionality by calculating the mean values of equal-sized segments. This implies that the mean value-based representation might overlook some important values in industrial time-series, such as outliers. In this section, we propose a two-stage time-series representation method that can summarize the time-series better than the conventional SAX algorithm.
The first stage of representing time-series in the proposed method involves the consideration of the distribution of the time-series by computing the perpendicular distance from the time-axis to each data point in the segment. It should be noted that the perpendicular distance from the time-axis to the data point implies the absolute value of the data point. For instance, the 2nd value in Figure 2 is −2; hence, the perpendicular distance from the time-axis to −2 is 2. By considering the distribution of the time-series, the information with important data points such as outliers can be preserved. Therefore, the time-series vector with length N is converted into a distance-based PAA (D-PAA) vector with length S. The ith element of D-PAA is expressed as,
where i ranges from 1 to S, is the jth element of , is the absolute value of the jth element of .

Figure 2.
Procedure of (a) D-PAA (t_size = 5) and (b) D-SAX (n_bins = 7).
Afterward, a previously generated D-PAA vector is converted into a symbol vector . In this phase, the same discretization and symbolization are processed similar to that of the SAX. In this study, we refer to this method as distance-based SAX (D-SAX). The process of D-SAX is shown in Figure 2.
3.2. DM-SAX
Although considering the distribution of data points in a time-series is an effective method, this method does not reflect the trend of the time-series. Data points in the first segment shows an increasing trend while data points in the second segment show a decreasing trend, as shown in Figure 3a. Considering only the distribution of data points by calculating the perpendicular distance from the time-axis to the data points is not sufficient to appropriately represent a given time-series.

Figure 3.
Procedure of (a) DM-PAA (t_size = 5) and (b) DM-SAX (n_bins = 7).
The second stage to represent a time-series in the proposed method involves adding a momentum factor to consider the time-series trend. The equation for the momentum factor is,
where and is the tth element of .
Note that a is the hyperparameter reflecting the direction of previous data points, and is the hyperparameter controlling the gradient of the current and previous data points.
The trend of data points is effectively reflected by considering the trend of the time-series via the momentum factor that can reflect the direction of the time-series. After adding the momentum factor to the D-PAA process, the time-series vector with length N is converted into a distance- and momentum-based PAA (DM-PAA) vector with length S. Finally, the ith element of DM-PAA is given by,
Note that, when a and are 0, the result of DM-PAA is the same as that of D-PAA.
Then, a previously generated DM-PAA vector is converted into a symbol vector . In this phase, the same discretization and symbolization are processed in the same manner as in the SAX. In this study, we refer to this method as DM-SAX. Figure 3 shows the process of DM-SAX.
4. Experimental Validation
In this section, we experimentally evaluated whether the proposed DM-SAX is superior to other methods on various datasets provided by the University of California—Riverside (UCR) time-series classification archive [], a well-known data repository for time-series data mining research, and real-world manufacturing processes.
4.1. UCR Datasets
4.1.1. Experimental Design
The comparative classification performances of five time-series representation methods (SAX, extreme-SAX (E-SAX), overlap-SAX (O-SAX), D-SAX, and DM-SAX) are presented on 29 different highly imbalanced datasets taken from the UCR time-series classification archive. This archive originally contained 128 datasets involving various numbers of data points, input features, and classes. For highly imbalanced classification, which is the scope of our study, we converted the class with the smallest number of data points to a positive class, whereas the other classes were converted to a negative class. Then, we calculated the imbalance ratio for each dataset (i.e., the proportion of the number of data points in the negative class to the number of data points in the positive class). Afterward, datasets with imbalance ratios greater than 10 were selected for this experiment, reducing the number of datasets from 128 to 29. Note that the datasets were originally divided into training and test set. Table 2 lists the datasets used.

Table 2.
Dataset descriptions.
The experiment was controlled such that a random forest with 20 iterations was used as a base classifier since it is well known for its stable predictive performances [,,,]. As previously discussed, t_size and n_bins are the two main hyperparameters of the SAX. In this experiment, we set t_size to 3 and 5 and n_bins to 4, 6, 8, and 10; thus, a total of 8 experiments were conducted. Note that classes containing a positive class are represented as positive classes in the PAA process. For example, classes 0, 1, 0, 0, 0, and 0 are converted to 1 and 0 if t_size is set to 3. For DM-SAX, a and were fixed at 0.9 and 0.01, respectively. Note that the area under the curve (AUC) was employed as a performance measure because it is regarded as a comprehensive and balanced metric that better reflects the classification performance on highly imbalanced data [,].
4.1.2. Experimental Results
Table 3 summarizes the results of the performance benchmarks. The AUCs were obtained by averaging the results from the validation repeated eight times, as mentioned above. The highest AUCs obtained for each dataset are highlighted in bold. On an average, DM-SAX achieved the highest AUC, 73.44(%), followed by D-SAX, E-SAX, O-SAX, and SAX. Moreover, DM-SAX demonstrated an optimal performance with a mean rank value of 2.24. Specifically, DM-SAX outperformed the other methods in 10 out of 29 datasets. Furthermore, we recognized that considering both the distribution and trend of the time-series resulted in a more beneficial effect than solely considering the distribution of the time-series in 16 out of 29 datasets.

Table 3.
Performance benchmarks (UCR datasets).
Note that DM-SAX was superior to conventional SAX particularly when the dataset was difficult to classify, with DistalPhalanxTW, MiddlePhalanxTW, Phoneme, PigArtPressure, and ProximalPhalanxTW being the typical cases in point. It may be hard to attribute these comparative results to a specific factor. Nevertheless, the results indicate that time-series representation by calculating the perpendicular distance from the time-axis to each data point and computing the trend of data points resulted in data representation that could appropriately deal with ‘hard-to-classify’ problems.
The Friedman omnibus test [] was first performed on the rank values of the classification performances for each competing method across the datasets to verify the statistical significance of the difference between the methods. Therefore, the p-value (<0.5 × 10−4) was demonstrated to be less than the alpha risk of 0.05, indicating statistically significant differences in the rankings between the AUCs of time-series representation methods. Subsequently, a post-hoc Wilcoxon rank test was employed to enforce the pairwise comparison of the time-series representation methods, with an adjusted alpha risk of 0.005 (=0.05/10) [,].
Table 4 presents the test results. Although there was no statistically significant difference between DM-SAX and D-SAX, DM-SAX outperformed SAX, E-SAX, and O-SAX, whereas D-SAX was observed to be insignificant in contrast to DM-SAX. This indicates that the computation of the time-series trend redeemed the classification performance of the method that only considered the distribution of the time-series.

Table 4.
Post-hoc test (Wilcoxon) results (p-value).
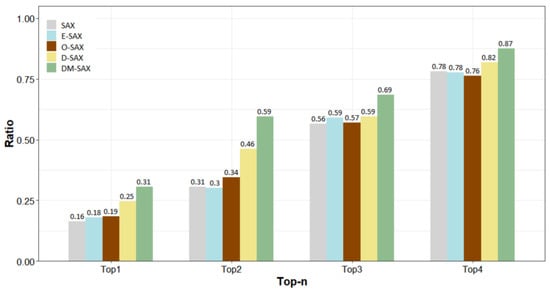
Figure 4 shows the ratio of each algorithm included in the top-n rank by AUC. DM-SAX is considered the top-performing algorithm in 31% (73/232) of repeated experiments among 29 datasets, and it was at least the 2nd ranked algorithm in 59% (137/232) of the results. Overall, DM-SAX showed a better classification performance than the other methods.

Figure 4.
Ratio of each algorithm included in the top-n rank on 29 UCR datasets.
4.2. Real-World Manufacturing Process Dataset
4.2.1. Experimental Design
A manufacturing process dataset compiled from cutting and crimping process in the wiring harness manufacturing was used to further prove the applicability of the proposed DM-SAX. A wiring harness is used to transmit electrical signals between control devices in a vehicle. To produce a wiring harness, a cutting machine was used to cut the wire to a certain length. Then, both ends of the wire were connected to the terminals and were pressed using an applicator.
The dataset was collected from 20:38 19 July to 13:02 22 July 2021, with 285,297 data points, and each consecutive 100 data points represented approximately 1 min. Failures were recorded at 656 data points, and the imbalance ratio was 433, indicating a highly imbalanced ratio. In this section, three features (B/S, RCFA, and MPP) are used to predict whether the products prepared by wire cutting and crimping are normal or abnormal. Table 5 and Table 6 lists a brief description and detailed statistical information on these features, respectively.

Table 5.
Description of features.

Table 6.
Descriptive statistics.
There were two major differences although the overall experimental design was almost the same as that of the UCR datasets. One major difference is the training and test split criterion. As previously mentioned, training and test sets were originally divided in UCR datasets. In contrast, we arbitrarily divided the real-world dataset into training and test sets in a ratio of 0.7 and 0.3. The other difference is that we set t_size to 25, 50, 75, 100, and 150 for the real-world dataset, which is larger than those on the UCR dataset experiments. Table 7 summarizes the detailed similarities and differences between the experiments on the real-world and UCR datasets.

Table 7.
Similarities and differences between experiments of UCR and real-world datasets.
4.2.2. Experimental Results
Table 8 lists the experimental results, and the best AUCs for each case are marked in bold. The results demonstrate that DM-SAX obtained the optimal AUC (98.88%), followed by D-SAX, E-SAX, O-SAX, and SAX. In addition, DM-SAX demonstrated the optimal performance while outperforming other methods in 10 out of 20 experimental cases, with a mean rank value of 1.15.

Table 8.
Performance benchmarks (real-world dataset).
Note that DM-SAX outperformed D-SAX, particularly when the t_size was larger than 100. This implies that the addition of a momentum factor resulted in a favorable effect when there were sufficient data points to reflect the overall trend of the time-series.
5. Conclusions
In this study, we developed a novel time-dimensionality representation method, called DM-SAX, and compared it with other well-known time-series representation methods. The proposed method secures the time-series characteristics by computing the perpendicular distance from the time-axis to data points and considers the trend of time-series by employing the momentum factor that can reflect the direction of previous data points.
The experimental results on 29 UCR problems proved that DM-SAX exhibited the optimum AUC among the competing methods. Moreover, we empirically verified that DM-SAX is superior to other methods using real-world wire cutting and crimping process data. Defect detection would be applicable in the real-time industrial process using the proposed method. To be more specific, if the symbols generated in the proposed method are located at both ends of the discretization region, one could easily determine that those symbols represent the defects. Furthermore, the proposed method can also be employed in unsupervised learning, such as for human behavior pattern discovery, traffic pattern discovery, and failure rule discovery.
As an extension of the proposed method, a new type of factor that can further represent the characteristics of a given time-series will be developed in the future. Here, an additional factor related to momentum factor that could better reflect the trend of the data will be considered. In addition, a heuristic method for selecting a and may be another future research topic. The current configuration (a: 0.9, : 0.01) may have overlooked the optimal trend of the time-series. Thus, it is necessary investigating various search algorithms.
Author Contributions
Conceptualization, D.-H.Y.; methodology, D.-H.Y.; software, D.-H.Y.; validation, D.-H.Y.; formal analysis, D.-H.Y.; investigation, D.-H.Y.; resources, D.-H.Y.; data curation, D.-H.Y.; writing—original draft preparation, D.-H.Y.; writing—review and editing, D.-H.Y. and Y.-S.K.; visualization, D.-H.Y.; supervision, Y.-S.K.; project administration, Y.-S.K.; funding acquisition, Y.-S.K. All authors have read and agreed to the published version of the manuscript.
Funding
This research was funded Korea Institute of Police Technology (KIPoT) grant funded by the Korea government (KNPA) (092021C28S01000) and Basic Science Research Program through the National Research Foundation of Korea (NRF) funded by the Ministry of Education (2021R1F1A104541512).
Institutional Review Board Statement
Not applicable.
Informed Consent Statement
Not applicable.
Data Availability Statement
Not applicable.
Conflicts of Interest
The authors declare no conflict of interest.
References
- Åström, K.J. On the Choice of Sampling Rates in Parametric Identification of Time Series. Inf. Sci. 1969, 1, 273–278. [Google Scholar] [CrossRef] [Green Version]
- Keogh, E.J.; Pazzani, M.J. A Simple Dimensionality Reduction Technique for Fast Similarity Search in Large Time Series Databases. In Lecture Notes in Computer Science, Proceedings of the 4th Pacific-Asia Conference on Knowledge Discovery and Data Mining, Kyoto, Japan, 18–20 April 2000; Springer: Berlin/Heidelberg, Germany, 2000; pp. 122–133. [Google Scholar] [CrossRef] [Green Version]
- Keogh, E.; Chakrabarti, K.; Pazzani, M.; Mehrotra, S. Locally Adaptive Dimensionality Reduction for Indexing Large Time Series Databases. In SIGMOD Rec, Proceedings of the 2001 ACM SIGMOD International Conference on Management of Data, Santa Barbara, CA, USA, 21–24 May 2001; Association for Computing Machinery: New York, NY, USA, 2001; Volume 30, pp. 151–162. [Google Scholar] [CrossRef] [Green Version]
- Guo, C.; Li, H.; Pan, D. An Improved Piecewise Aggregate Approximation Based on Statistical Features for Time Series Mining. In Lecture Notes in Computer Science, Proceedings of the International Conference on Knowledge Science, Engineering and Management, Belfast, UK, 1–3 September 2010; Springer: Berlin/Heidelberg, Germany, 2010; pp. 234–244. [Google Scholar] [CrossRef]
- Ren, H.; Liao, X.; Li, Z.; Ai-Ahmari, A. Anomaly Detection Using Piecewise Aggregate Approximation in the Amplitude Domain. Appl. Intell. 2018, 48, 1097–1110. [Google Scholar] [CrossRef]
- Dan, J.; Shi, W.; Dong, F.; Hirota, K. Piecewise trend approximation: A ratio-based time series representation. In Abstract and Applied Analysis; Hindawi Publishing: London, UK, 2013; Volume 2013. [Google Scholar]
- Yang, Z.; Zhao, G. Application of Symbolic Techniques in Detecting Determinism in Time Series. In Proceedings of the 20th Annual International Conference of the IEEE Engineering in Medicine and Biology Society, Hong Kong, China, 1 November 1998; Volume 20, pp. 2670–2673. [Google Scholar]
- Yang, O.; Jia, W.; Zhou, P.; Meng, X. A New Approach to Transforming Time Series into Symbolic Sequences. In Proceedings of the First Joint Conference Between the Biomedical Engineering Society and Engineers in Medicine and Biology, Atlanta, GA, USA, 13–16 October 1999; p. 974. [Google Scholar]
- Motoyoshi, M.; Miura, T.; Watanabe, K. Mining Temporal Classes from Time Series Data. In Proceedings of the 11th ACM International Conference on Information and Knowledge Management, McLean, VA, USA, 4–9 November 2002; pp. 493–498. [Google Scholar]
- Aref, W.G.; Elfeky, M.G.; Elmagarmid, A.K. Incremental, Online, and Merge Mining of Partial Periodic Patterns in Time-Series Databases. IEEE Trans. Knowl. Data Eng. 2004, 16, 335–345. [Google Scholar] [CrossRef] [Green Version]
- Lin, J.; Keogh, E.; Wei, L.; Lonardi, S. Experiencing SAX: A Novel Symbolic Representation of Time Series. Data Min. Knowl. Disc. 2007, 15, 107–144. [Google Scholar] [CrossRef] [Green Version]
- Zhao, X.; Shang, P.; Huang, J. Mutual-Information Matrix Analysis for Nonlinear Interactions of Multivariate Time Series. Nonlinear Dyn. 2017, 88, 477–487. [Google Scholar] [CrossRef]
- Park, H.; Jung, J.Y. SAX-ARM: Deviant Event Pattern Discovery from Multivariate Time Series Using Symbolic Aggregate Approximation and Association Rule Mining. Expert Syst. Appl. 2020, 141, 112950. [Google Scholar] [CrossRef]
- Ferreira, A.A.; Barbosa, I.; Rameh, M.B.; Aquino, R.R.; Manuel, H.; Natarajan, S.; Coley, D. Adaptive Piecewise and Symbolic Aggregate Approximation as an Improved Representation Method for Heat Waves Detection. In Science and Information Conference; Springer: Cham, Switzerland, 2018; pp. 658–671. [Google Scholar]
- Wu, H.W.; Lee, A.J. Mining Closed Flexible Patterns in Time-Series Databases. Expert Syst. Appl. 2010, 37, 2098–2107. [Google Scholar] [CrossRef]
- Ohsaki, M.; Sato, Y.; Yokoi, H.; Yamaguchi, T. A Rule Discovery Support System for Sequential Medical Data, in the Case Study of a Chronic Hepatitis Dataset. In Workshop Notes of the International Workshop on Active Mining, Proceedings of the IEEE International Conference on Data Mining; 2002; p. 121. Available online: https://scholar.google.com/scholar?hl=ko&as_sdt=0%2C5&q=A+Rule+Discovery+Support+System+for+Sequential+Medical+Data%2C+in+the+Case+Study+of+a+Chronic+Hepatitis+Dataset&btnG= (accessed on 30 May 2022).
- Tseng, V.S.; Chen, L.C.; Liu, J.J. Gene Relation Discovery by Mining Similar Subsequences in Time-Series Microarray Data. In IEEE Symposium on Computational Intelligence and Bioinformatics and Computational Biology; IEEE Publications: Piscataway, NJ, USA, 2007; Volume 2007, pp. 106–112. [Google Scholar]
- Ordóñez, P.; DesJardins, M.; Feltes, C.; Lehmann, C.U.; Fackler, J. Visualizing Multivariate Time Series Data to Detect Specific Medical Conditions. In AMIA Annual Symposium Proceedings; American Medical Informatics Association: Bethesda, MD, USA, 2008; Volume 2008. [Google Scholar]
- Yaik, O.B.; Yong, C.H.; Haron, F. CPU Usage Pattern Discovery Using Suffix Tree. In Proceedings of the 2nd International Conference on Distributed Frameworks for Multimedia Applications, Penang, Malaysia, 15–17 May 2006; IEEE Publications: Piscataway, NJ, USA, 2006; pp. 1–8. [Google Scholar]
- Pouget, F.; Urvoy-Keller, G.; Dacier, M. Time Signatures to Detect Multi-headed Stealthy Attack Tools. In Proceedings of the 18th Annual First Conference, Baltimore, MD, USA, 25–30 June 2006; Baltimore, M.D., Ed.; pp. 25–30. Available online: https://scholar.google.com/scholar?hl=ko&as_sdt=0%2C5&q=Time+Signatures+to+Detect+Multi-headed+Stealthy+Attack+Tools&btnG=#d=gs_cit&t=1657109401025&u=%2Fscholar%3Fq%3Dinfo%3A1whwFcShTrgJ%3Ascholar.google.com%2F%26output%3Dcite%26scirp%3D0%26hl%3Dko (accessed on 30 May 2022).
- Zoumboulakis, M.; Roussos, G. Escalation: Complex Event Detection in Wireless Sensor Networks. In Lecture Notes in Computer Science, Proceedings of the European Conference on Smart Sensing and Context, Kendal, UK, 23–25 October 2007; Springer: Berlin/Heidelberg, Germany, 2007; pp. 270–285. [Google Scholar] [CrossRef] [Green Version]
- McGovern, A.; Rosendahl, D.H.; Brown, R.A. Toward Understanding Tornado Formation Through Spatiotemporal Data Mining. In Data Mining for Geoinformatics; Springer: New York, NY, USA, 2014; pp. 29–47. [Google Scholar]
- Ciompi, F.; Pujol, O.; Balocco, S.; Carrillo, X.; Mauri-Ferré, J.; Radeva, P. Automatic Key Frames Detection in Intravascular Ultrasound Sequences. In Proceedings of the 14th Medical Image Computing and Computer Assisted Intervention Society, Toronto, ON, Canada, 18–22 September 2011; pp. 78–94. [Google Scholar]
- Shie, B.E.; Jang, F.L.; Tseng, V.S. Intelligent Panic Disorder Treatment by Using Biofeedback Analysis and Web Technologies. Int. J. Bus. Intell. Data Min. 2010, 5, 77–93. [Google Scholar] [CrossRef]
- Morgan, I.; Liu, H.; Turnbull, G.; Brown, D. Time Discretisation Applied to Anomaly Detection in a Marine Engine. In Proceedings of the International Conference on Knowledge-Based and Intelligent Information and Engineering Systems, Vietri sul Mare, Italy, 12–14 September 2007; Springer: Berlin/Heidelberg, Germany, 2007; pp. 405–412. [Google Scholar]
- He, W.; Xiang, H.; Tang, J. Analog-Circuit Fault Diagnosis Using Three-Stage Preprocessing and Time Series Data Mining. In Proceedings of the IEEE Circuits and Systems International Conference on Testing and Diagnosis, Chengdu, China, 28–29 April 2009; IEEE Publications: Piscataway, NJ, USA, 2009; Volume 2009, pp. 1–4. [Google Scholar]
- Fuad, M.; Marwan, M. Extreme-SAX: Extreme Points Based Symbolic Representation for Time Series Classification. In Proceedings of the International Conference on Big Data Analytics and Knowledge Discovery, Bratislava, Slovakia, 14–17 September 2020; Springer: Cham, Switzerland, 2020; pp. 122–130. [Google Scholar]
- Lkhagva, B.; Suzuki, Y.; Kawagoe, K. Extended SAX: Extension of Symbolic Aggregate Approximation for Financial Time Series Data Representation. DEWS2006 4A-i8, 7. Available online: https://www.ieice.org/~de/DEWS/DEWS2006/doc/4A-i8.pdf (accessed on 30 May 2022).
- Lin, J.; Li, Y. Finding Structural Similarity in Time Series Data Using Bag-of-Patterns Representation. In Lecture Notes in Computer Science, Proceedings of the International Conference on Scientific and Statistical Database Management, New Orleans, LA, USA, 2–4 June 2009; Springer: Berlin/Heidelberg, Germany, 2009; pp. 461–477. [Google Scholar] [CrossRef]
- Senin, P.; Malinchik, S. Sax-Vsm: Interpretable Time Series Classification Using Sax and Vector Space Model. In Proceedings of the 13th International Conference on Data Mining, Dallas, TX, USA, 7–10 December 2013; IEEE Publications: Piscataway, NJ, USA, 2013; Volume 2013, pp. 1175–1180. [Google Scholar]
- Fuad, M.; Marwan, M. Modifying the Symbolic Aggregate Approximation Method to Capture Segment Trend Information. In Proceedings of the International Conference on Modeling Decisions for Artificial Intelligence, Sant Cugat, Spain, 2–4 September 2020; Springer: Cham, Switzerland, 2020; pp. 230–239. [Google Scholar]
- Song, K.; Ryu, M.; Lee, K. Transitional Sax Representation for Knowledge Discovery for Time Series. Appl. Sci. 2020, 10, 6980. [Google Scholar] [CrossRef]
- Sun, Y.; Li, J.; Liu, J.; Sun, B.; Chow, C. An Improvement of Symbolic Aggregate Approximation Distance Measure for Time Series. Neurocomputing 2014, 138, 189–198. [Google Scholar] [CrossRef]
- Yin, H.; Yang, S.Q.; Zhu, X.Q.; Ma, S.D.; Zhang, L.M. Symbolic Representation Based on Trend Features for Knowledge Discovery in Long Time Series. Front. Inf. Technol. Electron. Eng. 2015, 16, 744–758. [Google Scholar] [CrossRef]
- Malinowski, S.; Guyet, T.; Quiniou, R.; Tavenard, R. 1d-Sax: A Novel Symbolic Representation for Time Series. In Lecture Notes in Computer Science, Proceedings of the International Symposium on Intelligent Data Analysis, London, UK, 17–19 October 2013; Springer: Berlin/Heidelberg, Germany, 2013; pp. 273–284. [Google Scholar] [CrossRef] [Green Version]
- Fuad, M.; Marwan, M. Genetic Algorithms-Based Symbolic Aggregate Approximation. In Proceedings of the International Conference on Data Warehousing and Knowledge Discovery, Vienna, Austria, 3–6 September 2012; Springer: Berlin/Heidelberg, Germany, 2012; pp. 105–116. [Google Scholar]
- Allani, S. SAX-BOP: Epileptic Seizure Detection Using Symbolic Aggregate Approximation and Bag of Patterns. Master’s Thesis, University of Maryland, Baltimore County, MD, USA, 2014. [Google Scholar]
- Aremu, O.O.; Hyland-Wood, D.; McAree, P.R. A Relative Entropy Weibull-Sax Framework for Health Indices Construction and Health Stage Division in Degradation Modeling of Multivariate Time Series Asset Data. Adv. Eng. Inform. 2019, 40, 121–134. [Google Scholar] [CrossRef]
- Kamath, U.; Lin, J.; De Jong, K. SAX-EFG: An Evolutionary Feature Generation Framework for Time Series Classification. In Proceedings of the 2014 Annual Conference on Genetic and Evolutionary Computation, Vancouver, BC, Canada, 12–16 July 2014; pp. 533–540. [Google Scholar]
- Mekami, H.; Benabderrahmane, S. SAX2FACE: Estimating Facial Poses with Peano-Hilbert Curves and Sax Symbolic Time Series. Procedia Comput. Sci. 2017, 109, 217–224. [Google Scholar] [CrossRef]
- Zan, C.T.; Yamana, H. An Improved Symbolic Aggregate Approximation Distance Measure Based on its Statistical Features. In Proceedings of the 18th International Conference on Information Integration and Web-Based Applications and Services, Singapore, 28–30 November 2016; pp. 72–80. [Google Scholar]
- Geng, Y.; Luo, X. Cost-Sensitive Convolution Based Neural Networks for Imbalanced Time-Series Classification. arXiv 2018, arXiv:1801.04396. [Google Scholar]
- Duque-Pintor, F.J.; Fernández-Gómez, M.J.; Troncoso, A.; Martínez-Álvarez, F. A New Methodology Based on Imbalanced Classification for Predicting Outliers in Electricity Demand Time Series. Energies 2016, 9, 752. [Google Scholar] [CrossRef] [Green Version]
- Troncoso, A.; Ribera, P.; Asencio-Cortés, G.; Vega, I.; Gallego, D. Imbalanced Classification Techniques for Monsoon Forecasting Based on a New Climatic Time Series. Environ. Modell. Softw. 2018, 106, 48–56. [Google Scholar] [CrossRef]
- He, H.; Garcia, E.A. Learning from imbalanced data. IEEE Trans. Knowl. Data Eng. 2009, 21, 1263–1284. [Google Scholar] [CrossRef]
- Dau, H.A.; Bagnall, A.; Kamgar, K.; Yeh, C.M.; Zhu, Y.; Gharghabi, S.; Ratanamahatana, C.A.; Keogh, E.; Keogh, E. The UCR Time Series Archive. IEEE CAA J. Autom. Sin. 2019, 6, 1293–1305. [Google Scholar] [CrossRef]
- Breiman, L. Random Forests. Mach. Learn. 2001, 45, 5–32. [Google Scholar] [CrossRef] [Green Version]
- Oshiro, T.M.; Perez, P.S.; Baranauskas, J.A. How Many Trees in a Random Forest? In Lecture Notes in Computer Science, Proceedings of the International Workshop on Machine Learning and Data Mining in Pattern Recognition, Berlin, Germany, 13–20 July 2012; Springer: Berlin/Heidelberg, Germany, 2012; pp. 154–168. [Google Scholar] [CrossRef]
- Biau, G.; Scornet, E. A Random Forest Guided Tour. Test 2016, 25, 197–227. [Google Scholar] [CrossRef] [Green Version]
- Svetnik, V.; Liaw, A.; Tong, C.; Culberson, J.C.; Sheridan, R.P.; Feuston, B.P. Random Forest: A Classification and Regression Tool for Compound Classification and QSAR Modeling. J. Chem. Inf. Comput. Sci. 2003, 43, 1947–1958. [Google Scholar] [CrossRef] [PubMed]
- Cao, P.; Zhao, D.; Zaiane, O. An Optimized Cost-Sensitive SVM for Imbalanced Data Learning. In Lecture Notes in Computer Science, Proceedings of the Pacific-Asia Conference on Knowledge Discovery and Data Mining, Gold Coast, Australia, 14–17 April 2013; Springer: Berlin/Heidelberg, Germany, 2013; pp. 280–292. [Google Scholar] [CrossRef] [Green Version]
- Akosa, J. Predictive Accuracy: A Misleading Performance Measure for Highly Imbalanced Data. In Proceedings of the SAS Global Forum; 2017; Volume 12, Available online: https://support.sas.com/resources/papers/proceedings17/0942-2017.pdf (accessed on 30 May 2022).
- Demšar, J. Statistical Comparisons of Classifiers over Multiple Data Sets. J. Mach. Learn. Res. 2006, 7, 1–30. [Google Scholar]
- Benavoli, A.; Corani, G.; Mangili, F. Should We Really Use Post-hoc Tests Based on Mean-Ranks? J. Mach. Learn. Res. 2016, 17, 152–161. [Google Scholar]
- Armstrong, R.A. When to Use the Bonferroni Correction. Ophthalmic Physiol. Opt. 2014, 34, 502–508. [Google Scholar] [CrossRef] [PubMed]
Publisher’s Note: MDPI stays neutral with regard to jurisdictional claims in published maps and institutional affiliations. |
© 2022 by the authors. Licensee MDPI, Basel, Switzerland. This article is an open access article distributed under the terms and conditions of the Creative Commons Attribution (CC BY) license (https://creativecommons.org/licenses/by/4.0/).