Abstract
The hybrid combination between underwater optical wireless communication (UOWC) and radio frequency (RF) is a vital demand for enabling communication through the air–water boundary. On the other hand, non-orthogonal multiple access (NOMA) is a key technology for enhancing system performance in terms of spectral efficiency. In this paper, we propose a downlink NOMA-based dual-hop hybrid RF-UOWC with decode and forward (DF) relaying. The UOWC channels are characterized by exponential-generalized Gamma (EGG) fading, while the RF channel is characterized by Rayleigh fading. Exact closed-form expressions of outage probabilities and approximated closed-form expressions of ergodic capacities are derived, for each NOMA individual user and the overall system as well, under the practical assumption of imperfect successive interference cancellation (SIC). These expressions are then verified via Monte-Carlo simulation for various underwater scenarios. To gain more insight into the system performance, we analyzed the asymptotic outage probabilities and the diversity order. Moreover, we formulated and solved a power allocation optimization problem to obtain an outage-optimal performance. For the sake of comparison and to highlight the achievable gain, the system performance is compared against a benchmark orthogonal multiple access (OMA)-based system.
1. Introduction
Underwater optical wireless communication (UOWC) has received substantial research interest as an efficient transmission technology for a wide range of underwater applications such as surveillance and oceanic monitoring. Many wireless data transmission techniques faced limitations while communicating underwater, including acoustic waves and radio-frequency (RF) signals. An acoustic-based underwater communication has many drawbacks such as high latency, low data rates, and high attenuation. The situation was not much different when using RF in underwater communication scenarios [1,2]. An acoustic-based underwater communication has many drawbacks such as high latency, low data rates, high bit error rates, and high attenuation. In addition, it severely suffers from malicious attacks. This is due to the fact that acoustic communication channels are uniquely designed for networks used on land; they require more sophisticated security mechanisms [3]. The situation was not much different when using RF in underwater communication scenarios [1]. The underwater RF communications suffers from high power consumption, high latency, and incompatibility between high speed and long distance. The appropriate alternative to overcome these drawbacks was to go to the use of optical waves to communicate underwater due to its advantages over its counterparts such as low latency, high data rate, and high security when operating in the wavelength range of 450 nm to 550 nm [4,5,6]. Despite these advantages, the UOWC system suffers from harsh turbulence that prompted the researchers to search for a statistical distribution model to effectively describe the underwater turbulence. In [5], a unified exponential-generalized Gamma (EGG) model that perfectly characterizes underwater channel fading was experimentally derived.
Based on the aforementioned defects resulting from the use of RF in underwater communication, the communication between the on-land and the underwater end terminals was not applicable. Therefore, the integration between RF and UOWC communication systems via relay has become indispensable [7,8,9,10,11,12]. In [7,8], the authors measured the performance of a mixed RF-UOWC transmission systems in terms of outage probability (), average bit error rate, and ergodic capacity () for different systems models. In [9,10], the authors measured the secrecy performance of a mixed RF-UOWC system where an eavesdropper tried to intercept RF communications. The authors in [11] study the performance of a dual-hop RF-UWOC transmission system in terms of and bit error rate under both fixed and variable gain relaying schemes in which different detection techniques are derived. The performance analysis of a decode-and-forward (DF) based triple hop radio frequency free space optical communication-underwater optical communication (RF-FSO-UWOC) system was discussed with closed-form expressions for and bit-error-rate in [12].
NOMA is a spectrum access technique that has an improving impact on the spectrum efficiency of communication systems, which is considered an optimal solution for underwater internet of things (UIoT) for enabling the communication of a higher number of underwater sensors. NOMA enables simultaneous transmission of multiplexed user data using the same resources (time/frequency/code). Power domain (PD) NOMA is the most common type of NOMA, where the multiplexing is performed by assigning different power levels for the multiplexed messages based on the power allocation factor parameter at the transmitter, while the receiver needs to perform successive interference cancellation (SIC) operation to separate the messages [13,14,15]. Authors in [16,17,18] investigated the performance of NOMA assisted underwater optical communication system in terms of coverage probability and system . In [15], the authors considered a NOMA-based dual-hop hybrid RF-power line communication system in terms of and . Additionally, they proved the superiority of NOMA-based system over the OMA-based one.
Hybrid communication systems, where transmission propagates through different environments, are currently attracting a lot of attention. In this paper, to enhance the spectral efficiency, we propose a downlink NOMA-based dual-hop hybrid RF-UOWC system, where the source exploits NOMA to convey two messages intended for two underwater destinations in presence of imperfect SIC. To the best of our knowledge, none of the previous work in the literature has studied hybrid RF–underwater based on NOMA as a spectrum access technique. The authors in [15] have investigated the performance of a wireless/power-line communication system, while our work investigates another hybrid system where the relay works as an intermediate node between wireless and underwater mediums. There are a lot of differences between them in terms of the field of application of the two systems. Our proposed system can find applications in many underwater applications, such as offshore oil field exploration, oceanic monitoring, and data collection. On the other hand, the system in [15] may find applications in situations where the signals suffer from penetration loss within buildings and factories. In [15], the PLC link was assumed to undergo lognormal distribution with Bernoulli Gaussian noise, including both background and impulsive noise components, while this work investigated UOWC channels that are characterized by EGG fading with AWGN.
The main contributions of this paper can be summarized as follows. (1) We derived a new closed-form and asymptotic expressions for the and , assuming that the wireless channel is characterized by Rayleigh fading with an additive white Gaussian noise (AWGN) and the UOWC links are characterized by EGG fading with AWGN. (2) We analyzed the diversity order of the OPs. (3) We proposed and solved a power allocation optimization problem to obtain an outage-optimal power allocation factor. (4) We validated the analytical derivations through Monte-Carlo simulations for varying underwater scenarios of air bubbles level () under thermally uniform and temperature gradient UOWC channels, then we analyzed the impact of system parameters on the system performance. (5) Finally, we carried out a comparison between the proposed system with an OMA-based benchmark system.
The rest of the paper is organized as follows, the system model is introduced in Section 2. The performance of the considered system is analytically evaluated by deriving the and in Section 3 and Section 4, respectively. The proposed power allocation algorithm is provided in Section 5. Analytical and simulation results are discussed and compared with a benchmark system in Section 6. Finally, conclusions are provided in Section 7.
2. System Model
In this paper, we propose a downlink NOMA-based dual-hop hybrid RF-UOWC system depicted in Figure 1, where the source (S) is equipped with an RF interface that aims to communicate with two destinations ( and ) equipped with UOWC interface via an intermediate decode and forward relay (R). The relay has an RF interface to receive from S and then transmit to and through the UOWC interface, where is the far or weak user and is the near or strong user. Such a scenario can find applications in many areas in the UIoT [19] (e.g., offshore oil field exploration, oceanic monitoring, and data collection). The S-R channel () is assumed to be a RF channel characterized by Rayleigh fading with AWGN and the R- channels () are assumed to be UOWC channels characterized by EGG fading with AWGN, where .
Figure 1.
Downlink NOMA-based hybrid RF-UOWC system model.
For the sake of improving the spectral efficiency, we assume that S and R adopt PD-NOMA for multiplexing their messages. The communication is initiated at S by multiplexing the two messages and intended for and , respectively. The S-to-R message is , where is the total transmitted power at S and is the NOMA power allocation factor for at S. Without loss of generality, we assume that and . The received message at R through the RF link is , where the expectation of RF channels gain is , d is the S-to-R link distance, v is the RF channel path-loss exponent, and represents AWGN with . Utilizing NOMA concept, R decodes first, then applies the SIC operation, which is assumed to be imperfect, to decode . So, the signal-to-interference-plus noise ratios (SINRs) for decoding and are expressed as and , respectively, where , and is the residual power factor of the imperfect SIC.
In the second phase, R retransmits the received messages over the UOWC channels that are characterized by independent but not necessarily identical mixture EGG distribution [5]. The relay multiplexes the detected messages using PD-NOMA again, such that , where is the total transmitted power at R and is the NOMA power allocation factor for at R. Without loss of generality, and . The received message at through the UOWC link is , where is the EEG fading of UOWC channel from R-to- with expectation , is responsivity that is considered to be unity, and represents AWGN with . Utilizing NOMA concept, decodes first. So, the SINR for decoding at is expressed as where .
The received message at through the UOWC link is , where is the EEG fading of UOWC channel from R-to- with expectation . Following the NOMA principle, decodes first and then applies the SIC operation, which is assumed to be imperfect, to decode . So, the SINRs for decoding and are expressed as and .
Channels Distributions: We assume that the UOWC links and are characterized by the EGG distribution [5], which models the underwater turbulence fading resulting from air bubbles and gradient of temperature in an effective manner. EGG is a weighted combination of the exponential and generalized Gamma distributions, it effectively matches the experimental results obtained under different scenarios of channel impairments of UOWC. A closed-form expression for the cumulative distribution function (CDF) of EGG distribution is given as [5]
where represents the mixture ratio between exponential and generalized Gamma distributions, is the exponential distribution scale parameter of the exponential distribution, are the parameters associated with generalized Gamma distribution, and is the Mejier-G function [20]. According to the receiver detection method, heterodyne detection or intensity modulation/direct detection (IM/DD) , the electrical signal to noise ratio (SNR) is
where is the average SNR of the UOWC links. We assume that , thus . The values of for different scenarios of air bubbles under thermally uniform and gradient-based UOWC channels are experimentally obtained in [5] (Table 1 and Table 2). Finally, the RF-links undergo a Rayleigh fading with AWGN noise, therefore follows an exponential distribution whose CDF is given as
Table 1.
EGG parameters for temperature gradient water [5].
Table 2.
EGG parameters for thermally uniform salty water [5].
3. Outage Probability Analysis
In this section, the system performance analysis in terms of is presented. The are defined as the probability that the received SINR falls below a certain threshold limit. We derived closed-form expressions for the outage at each destination as well as the overall system outage. Then, we derive an asymptotic expression for each of them at a high SNR regime. To gain more insight into the system performance, the outage diversity order is further derived.
3.1. Outage Probability
The outage event of , , occurs if R or fails to decode , which can be formulated as
where stems from the independence between and , with as the target data rate of , under condition that or , and similarly under condition that or . With the aid of CDFs in (1) and (3), we obtain a closed-form expression of as in (5).
3.2. Outage Probability
The outage occurs if R or fails to decode or ; this is due to NOMA SIC concept that involves receiving and cancels it before receiving . It is formulated as
where stems from the independence between and , with is the target data rate of , under condition that or , similarly under condition that or , , and . With the aid of CDFs in (1) and (3), we obtain a closed-form expression of as in (7).
3.3. System Outage Probability
3.4. Asymptotic Outage Probability
A deep insight on the system performance under high SNRs regime is obtained through the derivation of the asymptotic outage probabilities. A tight asymptotic expression for the CDF of the exponential and EGG distributions at high SNR are [5]
3.5. Diversity Order
To gain more insight, we study the achievable diversity order of the obtained . is the slope of where . According to [21], we can calculate diversity order as . It is clear from (12)–(14) that . As in all scenarios, this result is consistent with the plots in Figure 2.
Figure 2.
OPs versus SNR for thermally uniform UOWC links for both IM/DD as well as heterodyne detection.
4. Ergodic Capacity Analysis
In this section, we derive an approximated closed-form expression for the ergodic capacity () of the proposed system under the condition . The instantaneous channel capacities for the two messages, , are given by [13,22]
The EC, defined as the expectation of the channel capacity, can be mathematically expressed as [21]
where . The ergodic sum capacity (ESC) can be expressed as
In the following subsections, we derive the individual ECs.
4.1. Ergodic Capacity
The CDF is given as
where stems from the independence of the channels gain and . Then
then applying variable transformation of and using the exponential distribution CDF in (3) and the tight approximated EGG CDF at high SNR in (11), we can write
where , , and . Using binomial expansion
where
where and is the element in the vector . Utilizing [23] (Equation 3.383.10), can be expressed as
4.2. Ergodic Capacity
The CDF is given as
where stems from the independence of the channels gain and . Then
then applying variable transformation of and using the Rayleigh CDF (3) and the tight approximated EGG CDF at high SNR (11), we can write
where
where and is the Mth element in the vector . Using [23] (Equation 3.383.10), can be expressed as
By Substituting (28) into (26), a closed-form expression of is obtained.
5. Proposed Power Allocation Algorithm
In this section, we propose a power allocation algorithm for optimizing the system OP under the condition , where or equivalently and . The proposed optimization problem is expressed as
We provide the following Theorem to solve Problem (29).
Theorem 1.
Problem (29) is a convex problem, and the optimal power allocation factor value is .
Proof.
See Appendix A. □
Figure 6 graphically verifies that the obtained result in Theorem 1 is correct. We set and as a test values, which implies that mathematically, which is consistent with the optimal value in Figure 6.
6. Results and Discussion
In this section, we provide a detailed discussion on the derived metrics of the proposed system under varying conditions of air bubbles for both fresh/salty and thermally uniform waters under heterodyne or IM/DD detection techniques to gain more insight and highlight some conclusions. The correctness of the obtained analysis is verified via a Monte-Carlo simulation with samples. Throughout this section, we used the distribution parameters provided in Table 1 and Table 2. Unless otherwise mentioned, the system parameters are set to , , bits/sec/Hz, and bits/sec/Hz; is the normalized distance with respect to the cell radius, and , , and . In the following, we denote “Ana” as the analytical result, “Asym” as an asymptotic result, and “Sim” as Monte-Carlo simulation results.
Figure 2 presents the outage probability for the proposed system under uniform temperature salty water for both IM/DD and heterodyne techniques. As expected, it can be deduced that the significantly improve when heterodyne detection is implemented compared to IM/DD. This result is due to the ability of the heterodyne receiver to overcome the UOWC link’s turbulence effects, while this leads to a more complex receiver compared to IM/DD receiver. For example, the of is achieved at dB under the heterodyne receiver and dB using the IM/DD receiver. It is remarkable that the analytical and the simulation results are a match, which validates our analytical derivations. Additionally, they match the asymptotic curves at high SNR regime. In addition, to validate the derived in Section 3.5, we can observe that for heterodyne detection , the at dB and at dB; therefore, the falls with a slope of . Following the same procedure for IM/DD, we can observe that the at dB while at dB, so the falls with a slope of . These results are consistent with the diversity order .
Figure 3 depicts the for the proposed system under uniform temperature salty water with varying air bubbles levels and L/min. It is clear that the increase in the level of air bubbles leads to a degradation in the performance. This is due to the rise of the water turbulence. To evaluate the performance of the proposed system in this work, we compared its performance with a benchmark scheme: the OMA-based dual-hop hybrid RF-UOWC system. Figure 3 provides the comparison between the proposed NOMA-based system versus the OMA-based system under the same system settings. According to the figure, the proposed system outperforms the benchmark in terms of performance. This is due to the fact that the NOMA technique is more spectral efficient than the OMA technique.
Figure 3.
OPs versus SNR for thermally uniform UOWC links for varying air bubbles levels applicable to NOMA and OMA based systems.
Figure 4 illustrates the influence of the residual power factor of imperfect SIC on performance of the proposed system under uniform thermally salty water at L/min utilizing three varying levels of . We can see that the performance degrades by increasing while the best performance is achieved with the perfect SIC scenario (). This is due to the fact that an increase in leads to a higher interference level, hence the SINRs and decrease while decoding the near user message. However, the SINRs , , and are not affected by changing .
Figure 4.
OPs versus SNR for thermally uniform salty UOWC links at BL = 2.4 L/min for varying values of .
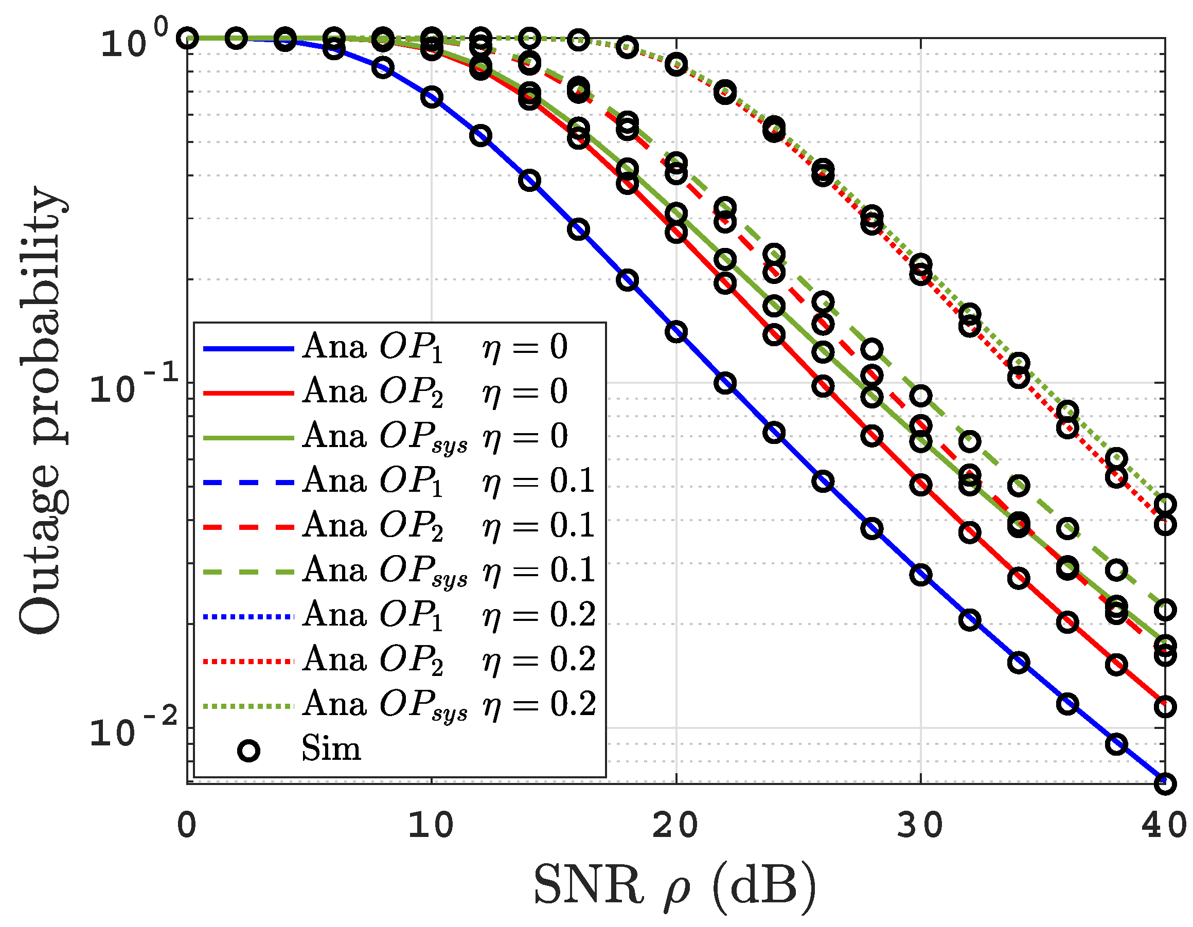
Furthermore, Figure 5 depicts the temperature gradient () and air bubbles level effect on the performance. This figure investigated three different scenarios. We set and in case1, and in case2, and and in case3. It is clear that the higher the level of the air bubbles and/or the temperature gradient, the stronger the turbulence, leading to a performance deterioration.
Figure 5.
The effect of temperature gradient and air bubbles level on OPs performance.
Figure 6 demonstrates the influence of the power allocation factor , which varies from to , on the performance with dB in two varying air bubble levels of and L/min. We can observe that the enhances with the increase in due to the increase of its own message power. On the other hand, the witnesses an improvement at first with increase as needs to decode first before decoding its own message . However, with the continuous increase in , an inflection point is reached since increasing means decreasing the allocated power for message () that degrades the . Finally, the follows the same trend as with a bit increase. Additionally, this figure graphically proves the convexity of the optimization problem in (29).
Figure 6.
OPs over the entire range of power allocation factor at SNR = 40 dB.
Figure 7 illustrates the influence of the residual power factor of imperfect SIC on performance of the proposed system under uniform thermally salty water at L/min where and . We can see that the and performance degrades by increasing . This is due to the fact that an increase in leads to a higher interference level at the decoding process of . On the other hand, the performance is not affected by changing . The figure also shows a perfect agreement between the simulation and the obtained analytical results at high SNR with a small deviation at low SNR. This deviation is due to the usage of the tight approximated expression for the CDF of the EGG distributions at high SNR.
Figure 7.
ECs versus SNR for thermally uniform salty UOWC links at BL = 2.4 L/min for varying values of .
Figure 8 illustrates the for the proposed system under uniform temperature salty water with two air bubble levels of and L/min. It is clear that the increase in the level of air bubbles leads to a deterioration in the performance; this is due to the increase in water turbulence.
Figure 8.
ECs versus SNR for thermally uniform UOWC links for varying air bubbles levels.
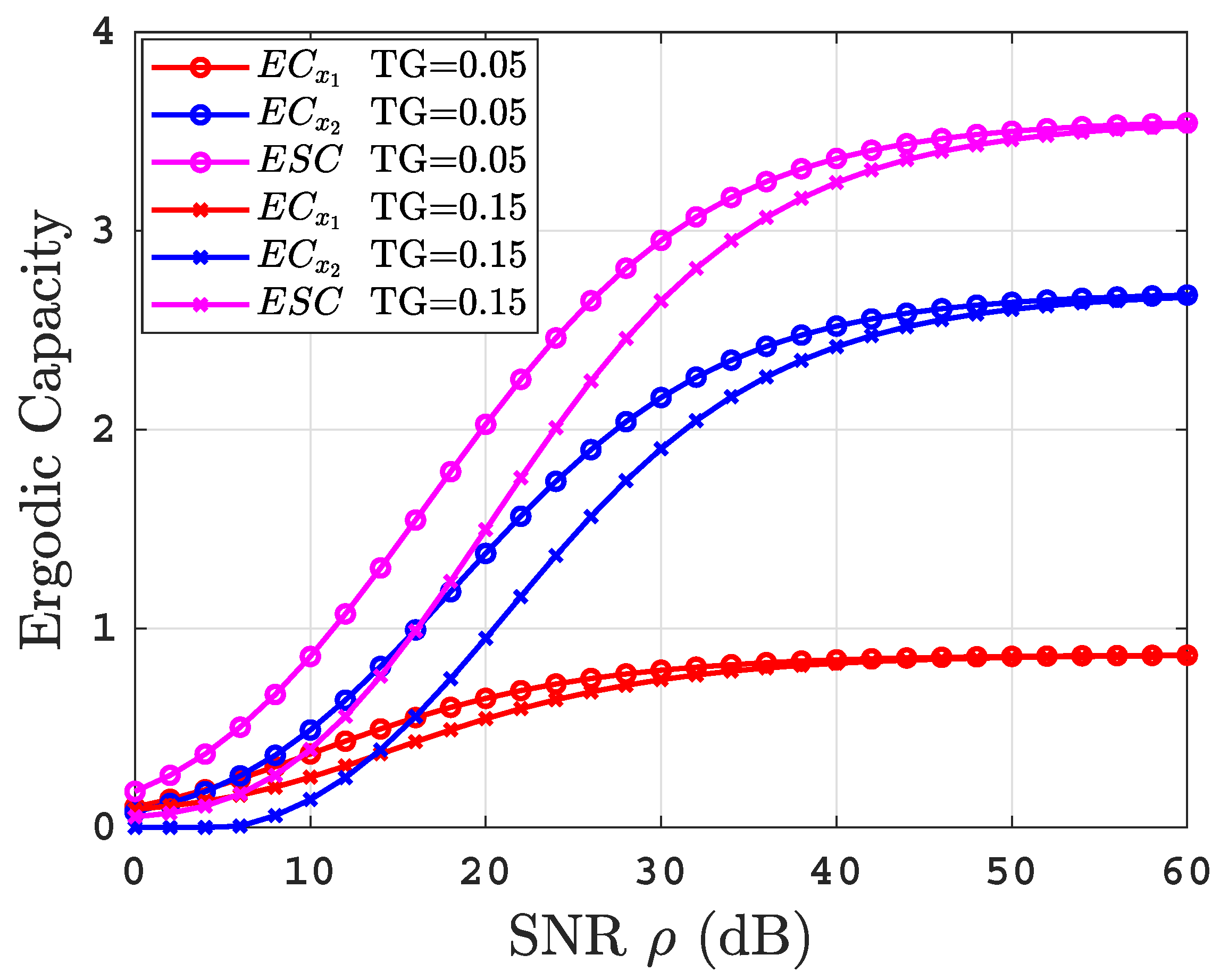
Moreover, Figure 9 shows the effect of on the performance in salty water under the air bubbles level L/min. The figure investigated two different values of . It is obvious that the higher the level of the temperature gradient, the stronger the turbulence, leading to a performance degradation. From Figure 8 and Figure 9, we can conclude that the effect of the variation in water turbulence (, ) is negligible at the high SNR regime.
Figure 9.
The effect of temperature gradient on ECs performance.
Figure 10 demonstrates the influence of the power allocation factor , which varies from to , on the performance to gain insight into the effectiveness and the fairness with dB, under uniform temperature salty water with . We can see that increases as increases because the higher power allocation factor means a higher SINRs , , and , but drops as power allocation factor increases because the SINRs and degrade. Furthermore, we can see that is approximately constant over the entire range of the power allocation factor, which is owing to the fact that the rate of increase in is approximately the same as the rate of decline in .
Figure 10.
ECs over the entire range of power allocation factor at dB.
7. Conclusions
In this paper, we analyzed the system performance in terms of and and optimized the of a downlink NOMA-based dual-hop hybrid RF-UOWC system with DF relaying under the practical assumption of imperfect SIC, where the UOWC channels are characterized by EGG distribution. We derived new analytical closed-form expressions for and and asymptotic expressions for the and the . To gain more insight, we investigated the influence of system parameters on performance. Consequently, we deduced that the increase in the level of air bubbles and/or temperature gradient leads to a degradation in the and performances, and the outage performance improves when implementing heterodyne detection compared to IM/DD. Moreover, we investigated the feasibility of obtaining an outage-optimal power allocation factor. Finally, we carried out a comparison with a benchmark system, from which we realize that our proposed system is suitable for UIoT applications. As a future work, we may study the a multi-underwater destination system with amplify and forward relay assuming imperfect channel state information.
Author Contributions
Conceptualization, A.A.A.E.-B.; Data curation, A.S. and M.E.; Formal analysis, A.S. and M.E.; Funding acquisition, I.S.A. and K.R.; Methodology, A.S. and M.E.; Project administration, B.M.E.; Software, A.S. and M.E.; Supervision, I.S.A., K.R. and B.M.E.; Validation, A.A.A.E.-B.; Writing—original draft, A.S. and M.E.; Writing—review & editing, K.R. and B.M.E. All authors have read and agreed to the published version of the manuscript.
Funding
This research received no external funding.
Institutional Review Board Statement
Not applicable.
Informed Consent Statement
Not applicable.
Conflicts of Interest
The authors declare no conflict of interest.
Appendix A
As the constraints in (29b) and (29c) are convex, consequently, we need to prove that the objective function (29a) is convex. Equation (14) is rewritten as
where , , and .
As , we can write (A1) as a piece-wise function based on the value of as
- For or , we rewrite (A1) as
- For or , we rewrite (A1) as
References
- Saeed, N.; Celik, A.; Al-Naffouri, T.Y.; Alouini, M.S. Underwater optical wireless communications, networking, and localization: A survey. Ad Hoc Netw. 2019, 94, 101935. [Google Scholar] [CrossRef] [Green Version]
- El-Banna, A.A.A.; Wu, K.; ElHalawany, B.M. Opportunistic Cooperative Transmission for Underwater Communication Based on the Water’s Key Physical Variables. IEEE Sens. J. 2020, 20, 2792–2802. [Google Scholar] [CrossRef]
- Aziz El-Banna, A.A.; Zaky, A.B.; ElHalawany, B.M.; Zhexue Huang, J.; Wu, K. Machine Learning Based Dynamic Cooperative Transmission Framework for IoUT Networks. In Proceedings of the 2019 16th Annual IEEE International Conference on Sensing, Communication, and Networking (SECON), Boston, MA, USA, 10–13 June 2019; pp. 1–9. [Google Scholar] [CrossRef]
- Jain, M.; Sharma, N.; Gupta, A.; Rawal, D.; Garg, P. Performance Analysis of NOMA Assisted Underwater Visible Light Communication System. IEEE Wirel. Commun. Lett. 2020, 9, 1291–1294. [Google Scholar] [CrossRef]
- Zedini, E.; Oubei, H.M.; Kammoun, A.; Hamdi, M.; Ooi, B.S.; Alouini, M.S. Unified Statistical Channel Model for Turbulence-Induced Fading in Underwater Wireless Optical Communication Systems. IEEE Trans. Commun. 2019, 67, 2893–2907. [Google Scholar] [CrossRef] [Green Version]
- Ruby, R.; Zhong, S.; ElHalawany, B.M.; Luo, H.; Wu, K. SDN-Enabled Energy-Aware Routing in Underwater Multi-Modal Communication Networks. IEEE/ACM Trans. Netw. 2021, 29, 965–978. [Google Scholar] [CrossRef]
- Li, S.; Yang, L.; da Costa, D.B.; Zhang, J.; Alouini, M.S. Performance Analysis of Mixed RF-UWOC Dual-Hop Transmission Systems. IEEE Trans. Veh. Technol. 2020, 69, 14043–14048. [Google Scholar] [CrossRef]
- Li, S.; Yang, L.; da Costa, D.B.; Yu, S. Performance Analysis of UAV-Based Mixed RF-UWOC Transmission Systems. IEEE Trans. Commun. 2021, 69, 5559–5572. [Google Scholar] [CrossRef]
- Ibrahim; Badrudduza, A.S.M.; Hossen, S.; Kundu, M.K.; Ansari, I.S. Enhancing Security of TAS/MRC Based Mixed RF-UOWC System with Induced Underwater Turbulence Effect. arXiv 2021, arXiv:2105.09088. [Google Scholar] [CrossRef]
- Lou, Y.; Sun, R.; Cheng, J.; Nie, D.; Qiao, G. Secrecy Outage Analysis of Two-Hop Decode-and-Forward Mixed RF/UWOC Systems. IEEE Commun. Lett. 2021, 26, 989–993. [Google Scholar] [CrossRef]
- Lei, H.; Zhang, Y.; Park, K.H.; Ansari, I.S.; Pan, G.; Alouini, M.S. Performance Analysis of Dual-Hop RF-UWOC Systems. IEEE Photonics J. 2020, 12, 7901915. [Google Scholar] [CrossRef]
- Sarma, P.; Deka, R.; Anees, S. Performance Analysis of DF based Mixed Triple Hop RF-FSO-UWOC Cooperative System. In Proceedings of the 2020 IEEE 92nd Vehicular Technology Conference (VTC2020-Fall), Victoria, BC, Canada, 18 November–16 December 2020; pp. 1–5. [Google Scholar] [CrossRef]
- Elsayed, M.; Samir, A.; El-Banna, A.A.; Li, X.; Elhalawany, B.M. When NOMA Multiplexing Meets Symbiotic Ambient Backscatter Communication: Outage Analysis. IEEE Trans. Veh. Technol. 2021, 71, 1026–1031. [Google Scholar] [CrossRef]
- ElHalawany, B.M.; Jameel, F.; da Costa, D.B.; Dias, U.S.; Wu, K. Performance Analysis of Downlink NOMA Systems Over κ-μ Shadowed Fading Channels. IEEE Trans. Veh. Technol. 2020, 69, 1046–1050. [Google Scholar] [CrossRef]
- Samir, A.; Elsayed, M.; El-Banna, A.A.; Wu, K.; Elhalawany, B.M. Performance of NOMA-Based Dual-hop Hybrid Powerline-Wireless Communication Systems. IEEE Trans. Veh. Technol. 2022. [Google Scholar] [CrossRef]
- Jain, M.; Sharma, N.; Gupta, A.; Rawal, D.; Garg, P. NOMA assisted underwater visible light communication system with full-duplex cooperative relaying. Veh. Commun. 2021, 31, 100359. [Google Scholar] [CrossRef]
- Zhang, L.; Chen, Y.; Zhang, K.; Quan, J.; Li, Z.; Dong, Y. On Performance of Multiuser Underwater Wireless Optical Communication Systems. In Proceedings of the 2020 International Conference on Computing, Networking and Communications (ICNC), Big Island, HI, USA, 17–20 February 2020; pp. 1042–1046. [Google Scholar]
- Khan, W.U.; Li, X.; Ihsan, A.; Ali, Z.; Elhalawany, B.M.; Sidhu, G.A.S. Energy Efficiency Maximization for beyond 5G NOMA-enabled Heterogeneous Networks. Peer Peer Netw. Appl. 2021, 14, 3250–3264. [Google Scholar] [CrossRef]
- Aziz El-Banna, A.A.; Wu, K. Machine Learning Modeling for IoUT Networks: Internet of Underwater Things; Springer International Publishing: Cham, Switzerland, 2021. [Google Scholar]
- Adamchik, V.S.; Marichev, O.I. The Algorithm for Calculating Integrals of Hypergeometric Type Functions and Its Realization in REDUCE System. In Proceedings of the international symposium on Symbolic and Algebraic Computation, Tokyo, Japan, 20–24 August 1990; Association for Computing Machinery: New York, NY, USA, 1990. [Google Scholar]
- ElHalawany, B.M.; El-Banna, A.A.A.; Wu, K. Physical-Layer Security and Privacy for Vehicle-to-Everything. IEEE Commun. Mag. 2019, 57, 84–90. [Google Scholar] [CrossRef]
- Rauniyar, A.; Engelstad, P.; Østerbø, O.N. Ergodic Capacity Performance of NOMA-SWIPT Aided IoT Relay Systems with Direct Link. In Proceedings of the 2020 18th International Symposium on Modeling and Optimization in Mobile, Ad Hoc, and Wireless Networks (WiOPT), Volos, Greece, 15–19 June 2020; pp. 1–8. [Google Scholar]
- Gradshteyn, I.S.; Ryzhik, I.M.; Zwillinger, D.; Moll, V. Table of Integrals, Series, and Products, 8th ed.; Academic Press: Amsterdam, The Netherlands, 2014; ISBN 0123849330. [Google Scholar]
Publisher’s Note: MDPI stays neutral with regard to jurisdictional claims in published maps and institutional affiliations. |
© 2022 by the authors. Licensee MDPI, Basel, Switzerland. This article is an open access article distributed under the terms and conditions of the Creative Commons Attribution (CC BY) license (https://creativecommons.org/licenses/by/4.0/).









