Abstract
Dynamic resistance, which can be used to express strength in the unit of stress and improve the reliability of the dynamic cone penetration test (DCPT), has been estimated by numerous methods. This study aims to compare different dynamic resistance estimation methods by using an instrumented dynamic cone penetrometer (IDCP). DCPTs are conducted using a standard dynamic cone penetrometer (DCP) and IDCP in the laboratory and field. Dynamic responses are obtained from the strain gauges and an accelerometer installed at the cone tip of the IDCP. The test results show that dynamic resistance is more efficient in distinguishing profiles than the dynamic cone penetration index. Among the methods to estimate the dynamic resistance at the cone tip, the force-velocity integration method and force integration method are more related to the conventional dynamic resistance considering the potential energy of the hammer than the force squared integration method. Additionally, the dynamic resistance estimated for a longer time period is more reliable, particularly for small driving rod lengths. Regarding the limitation of the dynamic response from an accelerometer in a previous study, the force-based dynamic resistance estimated for a longer time period can be used as the most reliable approach for further soil strength characterization.
1. Introduction
For subgrade characterization, numerous portable in situ devices have been used to assess the mechanical properties [1,2,3]. Among the portable in situ devices, the dynamic cone penetrometer (DCP) has been conventionally adopted in road and railway substructures owing to its rapid and simple procedure [4,5]. The dynamic cone penetration index (DCPI), which is a strength profiling index from the DCP test, has been widely correlated with several engineering properties such as the California bearing ratio (CBR) and deflection modulus [6,7]. The strength and stiffness indices determined from these correlations have been used for the road pavement design in the transportation engineering field [8,9].
In general, the DCPI is measured at each dynamic impact using a free-falling hammer with identical potential energy. However, the transferred energy, which causes the driving force at the cone tip, varies during penetration due to energy loss [10,11]. The energy loss may occur owing to the friction between the hammer and guide, connections of driving rods, and friction between driving rod and soils [2]. When the DCP is tilted, the unreliable DCPI profile can be obtained during the penetration [11]. Therefore, the profiling results by DCPI have a limitation, particularly in reliability, despite the many advantages of using DCP. Previous studies examined the factors of energy loss and explored methods to obtain more reliable profiling results [12,13]. Byun and Lee [2] reported that the energy transferred at the cone tip could be evaluated by installing an energy module composed of strain gauges and an accelerometer. On the other hand, the transferred energy during dynamic penetration can be overestimated or underestimated due to the large displacement or limitations of the accelerometer [14].
Several studies have attempted to estimate the dynamic resistance based on the principle of force divided by the cross-sectional area of the penetrometer [15,16]. Lee et al. [17] reported that the dynamic resistance is less affected by the transferred energy and other factors, such as tilting. Kianirad et al. [18] also installed strain gauges at the cone tip to obtain the force signal, and to estimate the dynamic resistance. Kim et al. [19] used both the force and velocity signals because the dynamic resistance can be affected by the penetration rate at the moment of impact. Consequently, there are methods to estimate the dynamic resistance. The DCP test can be improved by considering the possible and diverse estimation approach.
This study compares different dynamic resistance estimation methods during DCP tests. The DCP tests are conducted in the laboratory and field using a standard DCP and an instrumented DCP (IDCP), which is incorporated by strain gauges and an accelerometer. This paper introduces several equations to estimate dynamic resistance using different integration methods and time periods for integration. Subsequently, the estimated dynamic resistances are compared to investigate the effect of each factor, which are assessed by correlation analysis to determine the reliability.
2. Dynamic Cone Penetrometers
2.1. Standard DCP
The standard DCP consists of a hammer, guide, anvil, driving rod, and cone tip [20]. The dynamic impact for the penetration was performed by dropping a 78.5 N hammer from a free-falling height of 575 mm. The impact energy was transferred through the driving rod with a diameter of 16 mm, and the energy transferred at the cone tip with a diameter of 20 mm leads to the cone penetration into the subgrade. For each dynamic impact, the DCPI is measured, which is used for continuous subgrade profiling. The DCPI can be simply obtained using the following equation:
where Dn is the penetration depth of the DCP at a blow count of n. The DCPI is the only obtainable strength index from the DCP test, and it depends on the energy transferred at the cone tip that might reduce the reliability of the DCP results.
2.2. Instrumented DCP
In this study, an IDCP was designed to improve the limitations of the DCP. The IDCP has the same composition as the DCP, as shown in Figure 1. However, the diameter of the IDCP driving rod was designed to be 24 mm, which is slightly larger than the DCP, to secure space for the installation of sensors. Note that a diameter of accelerometer sensor is 10 mm, which is tight to be installed inside the driving rod of DCP. Considering the diameter of accelerometer, the thickness of IDCP driving rod is designed to be 4 mm, so that the inner diameter of 16 mm secures the space of 6 mm for the installation of accelerometer, as shown in Figure 1. Figure 1 shows that the strain gauges and an accelerometer are installed close to the cone tip. Four strain gauges with a 120 Ω resistance are configured with a full-bridge circuit used widely for temperature compensation and to minimize eccentricity [21]. An accelerometer with a measurement range of 10,000 g was installed at the identical location of the strain gauges. Note that the strain gauges and an accelerometer were calibrated to convert the electrical signals to a force and acceleration, respectively. Finally, all the electrical signal data were visualized and stored on a computer through a data logger with a 96 kHz sampling rate.
Figure 1.
Schematic drawing of instrumented dynamic cone penetrometer with measurement system.
3. Experimental Study
3.1. Cone Resistance Profiles
Dynamic penetration tests were conducted using a standard DCP and an IDCP in the laboratory and field. For the laboratory test, weathered soils commonly found in South Korea were sampled for the preparation of specimen in a chamber. The index properties of granular weathered soils were obtained from sieve analysis, and the mean particle size (D50), coefficient of curvature (Cc), and coefficient of uniformity (Cu) were 0.57 mm, 1.2, and 11.1, respectively. Furthermore, the main components of weathered soils were quartz (32.8%) with low clay minerals. The weathered soils were dried in an oven before the preparation to minimize electrostatic force effect. Finally, the weathered soils were prepared in a chamber with dynamic compaction for five layers with 56 blows using a 44.5 N rammer. Note that the amount of soils for each layer was identical to maintain a target relative density of 97%. Thereafter, both DCP and IDCP were penetrated into the prepared weathered soils while considering the boundary effect (refer to Lee et al. [17]). For the field test, the DCP and IDCP were also applied within a 50 cm distance between the two holes. The DCPI, one of the resistance profiles obtained from the dynamic penetration test, was determined from Equation (1) and is plotted in Figure 2. The DCPI profiles of both DCP and IDCP show similar trends with a slight difference, because the dimensions of the cone tip and driving rod for the IDCP are different than those for the DCP. The DCPI obtained from the DCP varies more sensitively along the penetration depth than that obtained from the IDCP. Figure 2 shows that the DCPI continuously decreases with an increase in the penetration depth because of the increasing confining stress [22]. Notably, a lower DCPI denotes higher soil strength.
Figure 2.
Profiles of dynamic cone penetration index obtained in: (a) laboratory model test; (b) field test.
For a more direct indication of soil strength, the dynamic resistance (DR) in the unit of stress was calculated as follows:
where A, PE, and ∆d denote the cross-sectional area of the cone tip, potential energy of the hammer, and penetration distance per blow, respectively. Previous studies initially used potential energy by multiplying the hammer weight (mg) with its falling height (h) [15,23]. The dynamic resistances (DRs and DRi) calculated by Equation (2) from both the DCP and IDCP tests in this study are plotted in Figure 3. Compared with the DCPI profiles in Figure 2, the dynamic resistances from DCP and IDCP show similar trends with a smaller difference. Notably, the difference in cone tip diameter between the DCP and IDCP was considered for dynamic resistance estimation. However, the different rod diameters of the DCP and IDCP may lead to a difference in the dynamic resistance at the same depth, and the discrepancy between the respective dynamic resistances at greater depths is significant. Furthermore, the dynamic resistance continuously increases with increase in penetration depth owing to the confining stress effect, similar to that observed in the DCPI results. Particularly, for higher strengths at larger penetration depths, the dynamic resistance is more efficient and clearer in distinguishing the profiles than DCPI.
Figure 3.
Profiles of dynamic resistances obtained in: (a) laboratory model test; (b) field test.
3.2. Dynamic Resistance at Cone Tip
To record the dynamic responses and evaluate the transferred energy at the cone tip, strain gauges and an accelerometer were installed at the cone tip (see Figure 1). Using the energy transferred at the cone tip may improve the reliability of the estimation and characterization of cone resistance along the penetration depth. Previous studies suggested various types of dynamic cone resistances based on the transferred energy [17,19,24]. Considering that the force squared integration method (F2 method) and force–velocity integration method (F–V method) are widely used for evaluating the transferred energy at the rod head, three different types of dynamic resistances can be calculated as follows:
where c and E denote the wave velocity through the steel rod and Young’s modulus of the rod, respectively. The term t denotes the time elapsed at the cone tip and 0 indicates the initial rising time at the rod head. The terms t1 and t2 denote the times corresponding to L/c and the first zero-velocity at the cone tip, respectively. The terms L, F, and V denote the rod length, force measured from the strain gauges, and particle velocity estimated from the accelerometer, respectively. The particle velocity, which can be calculated by integrating the acceleration, is multiplied by the impedance of the material to be compared with the force signal. The typical dynamic responses obtained from Equations (3)–(5) are plotted in Figure 4. Figure 4a shows the force and velocity signals from the strain gauges and accelerometer, respectively. The first peak velocity was significantly higher than the peak force because the sensors were installed at the cone tip. Additionally, the initial rising time of both the force and velocity signals is the time corresponding to L/c at the rod head, and it is equal to the travel time of the compressional waves propagated from the rod head to cone tip. Figure 4b shows the variation in displacement calculated by the integration of velocity, which can be substituted into the denominators in Equations (3)–(5). Notably, the displacement in Equations (3)–(5) can be calculated using the signal recorded at the cone tip, while ∆d in Equation (2) is obtained by directly measuring the penetration depth.
Figure 4.
Typical dynamic responses obtained at the cone tip of IDCP: (a) force-velocity; (b) displacement; (c) force square integration; (d) transferred energy; (e) force integration.
Recently, a force-based dynamic resistance has also been suggested by several researchers [18,19,25]. By adopting the same interval of integration as that used in Equations (3)–(5), the dynamic resistances based on the force integration (F method) can be expressed as follows:
where Δt denotes the duration between zero and t1 or t2. The typical variation in force integration calculated by Equations (6) and (7) is plotted in Figure 4e. Using the F2, F, and F–V methods, five types of dynamic resistances can be obtained by two different integration intervals. Notably, different time periods for integration were adopted in previous studies [17,25].
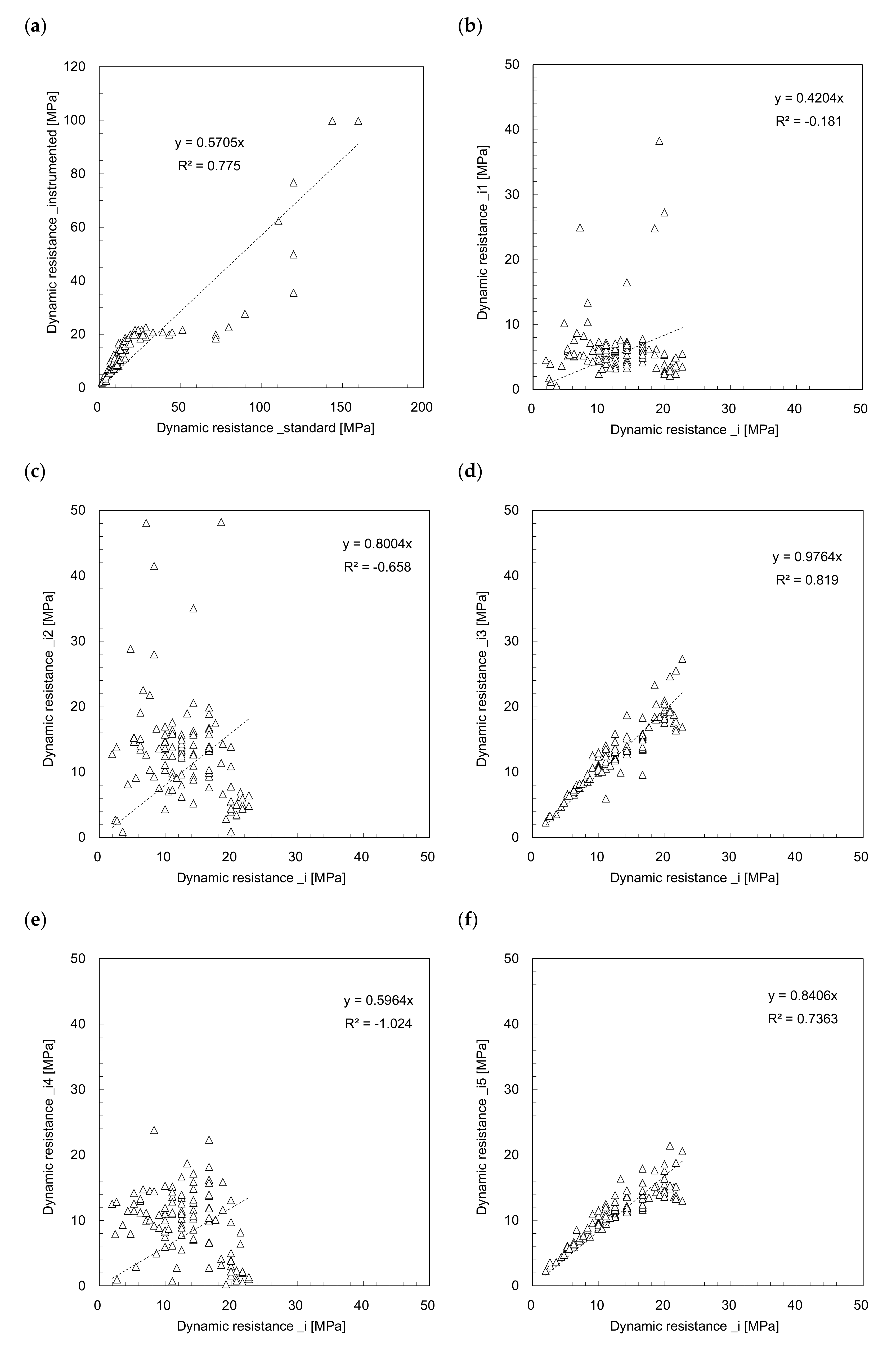
The dynamic resistance profiles estimated from Equations (3)–(7) are plotted in Figure 5 and Figure 6. Figure 5a and Figure 6a show the dynamic resistance profiles for the time period from 0 to t1, and the dynamic resistances significantly fluctuate along the penetration depth. Contrarily, the dynamic resistances (DRi3 and DRi5) for the time period 0 to t2 (see Figure 5b and Figure 6b), increase with the penetration depth; this is similar to the trends of the dynamic resistance profiles (see Figure 3). The dynamic resistance generally increases with depth owing to the confining stress (see Figure 3). Additionally, DRi3 and DRi5 present notably similar trends with a very slight difference. All the dynamic resistances obtained from the IDCP are plotted in Figure 7 to compare the relationships among the estimated values. Figure 7a shows the dynamic resistances obtained using Equation (2) from the standard DCP and IDCP, respectively, and most dynamic resistances from the IDCP are higher than those from the standard DCP. Considering the difference in tip shape between the IDCP and DCP, the higher friction along the rod of the IDCP may lead to overestimation of the dynamic cone resistance (DRi). Among the relationships between the dynamic resistance (DRi) and those (DRi1 to DRi5) from Equations (3)–(7), the relationships of DRi–DRi3 and DRi–DRi5 in Figure 7d,f show a linear trend with a relatively higher coefficient of determinant. Considering that DRi3 and DRi5 were obtained from a longer interval compared with DRi1, DRi2, and DRi4, it was found that DRi is more related to the dynamic resistance estimated for longer time periods.
Figure 5.
Profiles of dynamic resistances in laboratory model estimated at the different durations from zero to: (a) t1; (b) t2.
Figure 6.
Profiles of dynamic resistances in field estimated at the different durations from zero to: (a) t1; (b) t2.
Figure 7.
Comparison of dynamic resistances between: (a) DRs‒DRi; (b) DRi‒DRi1; (c) DRi‒DRi2; (d) DRi‒DRi3; (e) DRi‒DRi4; (f) DRi‒DRi5.
3.3. Comparison
In this study, the type of dynamic resistance determined using the sensors can be allocated to three integration methods with two different intervals. To investigate the effect of integration interval on dynamic resistance estimation, the relationships of DRi2–DRi3 and DRi4–DRi5 are plotted in Figure 8. Figure 8 shows that the dynamic resistances are scattered even for the same integration method, and that they have an insignificant relationship when estimated at different intervals. For the same interval of 0 to t1, the relationships of DRi1–DRi2 and DRi1–DRi4 are plotted in Figure 9 to compare the F2 method with the F–V and F methods. Figure 9 shows that most DRi2 and DRi4 are greater than DRi1. The relationship between the dynamic resistances estimated from the F2 and F–V methods presents a linear trend, as shown in Figure 9a. Figure 9b shows a linear relationship between the dynamic resistances estimated from the F2 and F methods. The linear trend for F2 and F–V methods has higher coefficient of determination than the trend for F2 and F methods. To compare the dynamic resistances estimated from the F–V method with those estimated from the F method for the same interval, the relationships of DRi2–DRi4 and DRi3–DRi5 are plotted in Figure 10. The relationship estimated for the interval of 0 to t2 shows a higher coefficient of determinant than that estimated for the interval of 0 to t1. The relationship between DRi3 and DRi5 estimated for the interval of 0 to t2 is the most reliable, as mentioned previously. Considering that the driving rod length for the DCP is small and that the interval of 0 to t1 is extremely short, the longer interval of 0 to t2 is more reasonable for estimating the dynamic resistance using the IDCP. Lee et al. [17] also reported that the dynamic cone resistance estimated from the F method for the interval of 0 to t2 was strongly correlated with strength parameters, such as DCPI, internal friction angles, and CBR values. According to Kim et al. [26], in the view of resonant frequency, the dynamic responses obtained from strain gauges are more reliable than those obtained from accelerometers. Therefore, the effect of integration interval on dynamic resistance estimation is significant, regardless of the integration methods, and the force-based dynamic resistance estimated for longer intervals would be a promising approach for soil strength characterization. Considering that previous studies simulated the characteristics and behavior of granular materials under similar penetration condition [27,28], further study on the simulation of dynamic penetration in the granular material may be meaningful to better understand the dynamic resistances estimated by using IDCP.
Figure 8.
Comparison of dynamic resistances between: (a) DRi2‒DRi3; (b) DRi4‒DRi5.
Figure 9.
Comparison of dynamic resistances between: (a) DRi1‒DRi2; (b) DRi1‒DRi4.
Figure 10.
Comparison of dynamic resistances between: (a) DRi2‒DRi4; (b) DRi3‒DRi5.
4. Summary and Conclusions
This study mainly considered an IDCP to compare the dynamic resistances estimated by different methods. The standard DCP and an IDCP were used for laboratory and field tests. Strain gauges and an accelerometer were installed at the cone tip of the IDCP. The DCPI and dynamic resistance, considering the potential energy from the DCP and IDCP tests, were estimated. Thereafter, the dynamic resistances estimated by different integration methods and time periods using dynamic responses at the cone tip were compared, and the most important findings are as follows:
- Dynamic cone resistances, considering the potential energy from the DCP and IDCP, showed a similar trend with a slight difference. Particularly, the dynamic resistance continuously increased with increase in penetration depth owing to the confining stress effect, whereas the DCPI decreased. Thus, for higher strength at deeper penetration depth, dynamic resistance is more efficient in distinguishing the profiles than DCPI;
- For the relationships between dynamic resistances determined using potential energy and dynamic response at the cone tip, the F–V and F methods for longer time periods present a linear trend with a high coefficient of determination;
- Among the dynamic resistances estimated by using the dynamic responses at the cone tip, the relationships between short and long time periods with the same integration methods showed an insignificant trend. Meanwhile, the relationship between the F2 and F–V methods was more reliable than that between the F2 and F methods for a short time period. However, for long time periods, the relationship between the F–V and F methods was the most reliable than the other relationships;
- Consequently, the F–V and F methods for long time periods are efficient for obtaining reliable estimations. Furthermore, considering the limitation of accelerometers, the force-based dynamic resistance for long time periods could be a promising approach for soil characterization.
Author Contributions
Conceptualization, J.-S.L. and Y.-H.B.; methodology, J.-S.L. and S.Y.K.; validation, J.-S.L. and Y.-H.B.; formal analysis, D.-J.K. and Y.-H.B.; investigation, S.Y.K. and Y.-H.B.; data curation, D.-J.K.; writing—original draft preparation, S.Y.K. and Y.-H.B.; writing—review and editing, Y.-H.B.; supervision, J.-S.L.; funding acquisition, S.Y.K. and Y.-H.B. All authors have read and agreed to the published version of the manuscript.
Funding
This work was supported by the National Research Foundation of Korea (NRF) grant funded by the Korean government (MSIT) (No. NRF-2020R1C1C1008925; NRF-2021R1C1C2008932).
Data Availability Statement
The data presented in this study are available on request from the corresponding author. The data are not publicly available due to ongoing research project.
Conflicts of Interest
The authors declare no conflict of interest.
References
- Sawangsuriya, A.; Edil, T.B. Evaluating stiffness and strength of pavement materials. Proc. Inst. Civ. Eng. Geotech. Eng. 2005, 158, 217–230. [Google Scholar] [CrossRef]
- Byun, Y.H.; Lee, J.S. Instrumented dynamic cone penetrometer corrected with transferred energy into a cone tip: A laboratory study. Geotech. Test. J. 2013, 36, 533–542. [Google Scholar] [CrossRef]
- Nazzal, M.; Abu-Farsakh, M.; Alshibli, K.; Mohammad, L. Evaluating the Potential Use of a Portable LFWD for Characterizing Pavement Layers and Subgrades. In Geotechnical Engineering for Transportation Projects; ASCE: Reston, VA, USA, 2004; pp. 915–924. [Google Scholar]
- Mohammadi, S.D.; Nikoudel, M.R.; Rahimi, H.; Khamehchiyan, M. Application of the Dynamic Cone Penetrometer (DCP) for determination of the engineering parameters of sandy soils. Eng. Geol. 2008, 101, 195–203. [Google Scholar] [CrossRef]
- Du, Y.J.; Jiang, N.J.; Liu, S.Y.; Horpibulsuk, S.; Arulrajah, A. Field evaluation of soft highway subgrade soil stabilized with calcium carbide residue. Soils Found. 2016, 56, 301–314. [Google Scholar] [CrossRef]
- Putri, E.E.; Rao, N.S.V.K.; Mannan, M.A. Evaluation of modulus of elasticity and modulus of subgrade reaction of soils using CBR test. J. Civ. Eng. Res. 2012, 2, 34–40. [Google Scholar] [CrossRef]
- Sujatha, E.R.; Geetha, A.R.; Jananee, R.; Karunya, S.R. Strength and mechanical behaviour of coir reinforced lime stabilized soil. Geomech. Eng. 2018, 16, 627–634. [Google Scholar]
- Gabr, M.A.; Hopkins, K.; Coonse, J.; Hearne, T. DCP criteria for performance evaluation of pavement layers. J. Perform. Constr. Facil. 2000, 14, 141–148. [Google Scholar] [CrossRef]
- George, V.; Rao, N.C.; Shivashankar, R. PFWD, DCP and CBR correlations for evaluation of lateritic subgrades. Int. J. Pavement Eng. 2009, 10, 189–199. [Google Scholar] [CrossRef]
- Byun, Y.H.; Yoon, H.K.; Kim, Y.S.; Hong, S.S.; Lee, J.S. Active layer characterization by instrumented dynamic cone penetrometer in Ny-Alesund, Svalbard. Cold Reg. Sci. Technol. 2014, 104, 45–53. [Google Scholar] [CrossRef]
- Kim, S.Y.; Lee, J.S. Energy correction of dynamic cone penetration index for reliable evaluation of shear strength in frozen sand–silt mixtures. Acta Geotech. 2020, 15, 947–961. [Google Scholar] [CrossRef]
- Herrick, J.E.; Jones, T.L. A dynamic cone penetrometer for measuring soil penetration resistance. Soil Sci. Soc. Am. J. 2002, 66, 1320–1324. [Google Scholar] [CrossRef]
- Sun, Y.; Cheng, Q.; Lin, J.; Lammers, P.S.; Berg, A.; Meng, F.; Li, L. Energy-based comparison between a dynamic cone penetrometer and a motor-operated static cone penetrometer. Soil Till. Res. 2011, 115, 105–109. [Google Scholar] [CrossRef]
- Odebrecht, E.; Schnaid, F.; Rocha, M.M.; de Paula Bernardes, G. Energy efficiency for standard penetration tests. J. Geotech. Geoenviron. Eng. 2005, 131, 1252–1263. [Google Scholar] [CrossRef]
- Meshalkina, J.L.; Stein, A.; Dmitriev, Y.A. Spatial variability of penetration data on Russian plots in different land use. Soil Technol. 1995, 8, 43–59. [Google Scholar] [CrossRef]
- Vaz, C.M.P.; Hopmans, J.W. Simultaneous measurement of soil penetration resistance and water content with a combined penetrometer–TDR moisture probe. Soil Sci. Soc. Am. J. 2001, 65, 4–12. [Google Scholar] [CrossRef]
- Lee, J.S.; Kim, S.Y.; Hong, W.T.; Byun, Y.H. Assessing subgrade strength using an instrumented dynamic cone penetrometer. Soils Found. 2019, 59, 930–941. [Google Scholar] [CrossRef]
- Kianirad, E.; Gamache, R.W.; Brady, D.; Alshawabkeh, A.N. Equivalent Quasi-Static Estimation of Dynamic Penetration Force for Near Surface Soil Characterization. In Geo-Frontiers 2011: Advances in Geotechnical Engineering; ASCE: Reston, VA, USA, 2011; pp. 2325–2334. [Google Scholar]
- Kim, S.Y.; Hong, W.T.; Lee, J.S. Role of the coefficient of uniformity on the California bearing ratio, penetration resistance, and small strain stiffness of coarse arctic soils. Cold Reg. Sci. Technol. 2019, 160, 230–241. [Google Scholar] [CrossRef]
- ASTM D6951. Standard Test Method for Use of the Dynamic Cone Penetrometer in Shallow Pavement Applications; ASTM International: West Conshohocken, PA, USA, 2009. [Google Scholar]
- Yoon, H.K.; Lee, J.S. Microcones configured with full-bridge circuits. Soil Dyn. Earthq. Eng. 2012, 41, 119–127. [Google Scholar] [CrossRef]
- Siekmeier, J.; Pinta, C.; Merth, S.; Jensen, J.; Davich, P.; Camargo, F.F.; Beyer, M. Using the Dynamic Cone Penetrometer and Light Weight Deflectometer for Construction Quality Assurance (No. MN/RC 2009-12); Minnesota Department of Transportation, Office of Materials and Road Research: Saint Paul, MN, USA, 2009.
- Vanags, C.; Minasny, B.; McBratney, A.B. The dynamic penetrometer for assessment of soil mechanical resistance. In Proceedings of the 3rd Australian New Zealand Soils Conference, Sydney, Australia, 5–9 December 2004. [Google Scholar]
- Nazarian, S.; Tandon, V.; Crain, K.; Yuan, D. Use of Instrumented Dynamic Cone Penetrometer in Pavement Characterization. In Nondestructive Testing of Pavements and Backcalculation of Moduli: Third Volume; ASTM International: West Conshohocken, PA, USA, 2000. [Google Scholar]
- Lee, J.S.; Byun, Y.H. Instrumented Cone Penetrometer for Dense Layer Characterization. Sensors 2020, 20, 5782. [Google Scholar] [CrossRef]
- Kim, S.Y.; Lee, J.S.; Tutumluer, E.; Byun, Y.H. Interpretation of Dynamic Response and Transferred Energy on Drill Rod. Sensors 2021. (under review). [Google Scholar]
- Fan, F.; Parteli, E.J.; Pöschel, T. Origin of granular capillarity revealed by particle-based simulations. Phys. Rev. Lett. 2017, 118, 218001. [Google Scholar] [CrossRef] [PubMed]
- Miyai, S.; Kobayakawa, M.; Tsuji, T.; Tanaka, T. Influence of particle size on vertical plate penetration into dense cohesionless granular materials (large-scale DEM simulation using real particle size). Granul. Matter 2019, 21, 1–21. [Google Scholar] [CrossRef]
Publisher’s Note: MDPI stays neutral with regard to jurisdictional claims in published maps and institutional affiliations. |
© 2021 by the authors. Licensee MDPI, Basel, Switzerland. This article is an open access article distributed under the terms and conditions of the Creative Commons Attribution (CC BY) license (https://creativecommons.org/licenses/by/4.0/).









