Abstract
A quantitative and rapid burn injury detection method has been proposed based on the electrical impedance spectroscopy (EIS) of blood with a seven-parameter equivalent circuit. The degree of burn injury is estimated from the electrical impedance characteristics of blood with different volume proportions of red blood cells (RBCs) and heated red blood cells (HRBCs). A quantitative relationship between the volume portion HHCT of HRBCs and the electrical impedance characteristics of blood has been demonstrated. A seven -parameter equivalent circuit is employed to quantify the relationship from the perspective of electricity. Additionally, the traditional Hanai equation has been modified to verify the experimental results. Results show that the imaginary part of impedance ZImt under the characteristic frequency (fc) has a linear relationship with HHCT which could be described by ZImt = −2.56HHCT − 2.01 with a correlation coefficient of 0.96. Moreover, the relationship between the plasma resistance Rp and HHCT is obtained as Rp = −7.2HHCT + 3.91 with a correlation coefficient of 0.96 from the seven -parameter equivalent circuit. This study shows the feasibility of EIS in the quantitative detection of burn injury by the quantitative parameters ZImt and Rp, which might be meaningful for the follow-up clinical treatment for burn injury.
1. Introduction
It is reported that about 11 million people suffer from burn injuries every year all around the world [1,2,3]. The diagnosis of burn injury degrees which could provide an important reference for clinical treatment has always been an important part of burn injury studies. The quantitative measurement of burn injury is still a hot topic in the fields of research and clinical treatment.
Nowadays, some methods have been developed by researchers to measure the degrees of burn injury. The observation method is one of the most common utilized methods with an advantage of low cost [4]. However, since it is measured by the eyes of doctors, the result is greatly influenced by personal experience which may lead to a low accuracy [5]. The pathological biopsy method (PB) is another method which means the removal of diseased tissue, and its accuracy is generally high. Nevertheless, it brings harm to patients’ body, and it also takes a long time to determine the degrees of burn injury [6,7]. Sometimes, other methods, like fluorescence detection (FD), infrared thermal imaging (ITI), ultrasonic imaging (UI) and computed tomography (CT) are also applied for the measurement of burn injury. However, all these methods have their own advantages and disadvantages [4,5,8,9]. New methods with high efficiency, high speed, low cost and less body harm are still necessary to be investigated to save the life and time of patients with burn injury.
In recent years, the EIS method has gained the attention of researchers for its rapid speed, non-invasive and low cost measurement characteristics [10,11,12,13,14]. It has been confirmed that EIS is sensitive to the microscopic compositions of cells and proteins (such as concentration, cell size, survival state) by measuring the variation of electrical impedance characteristics [15,16]. EIS has been utilized in many aspects of medical monitoring, such as the thrombus detection [17]; myoglobin detection [18]; circulating tumor cell detection [19]; status of tissue or cell detection [20,21]. It is reported that the membrane of heated red blood cells (HRBCs) is destroyed in patients with burn injury, and different degrees of burn injury lead to different proportions of red blood cells (RBCs) and HRBCs which causes the variation of blood’s electrical impedance characteristics [22]. Wu et al. [23] pointed out that the hematocrit (HCT) increased as the patients gradually recovered. Therefore, it is feasible to exploit EIS method to determine the degrees of burn injury by measuring the impedance of blood with different HCT and the hematocrit of HRBCs (HHCT). Nevertheless, how to quantitatively evaluate the degrees of burn injury by EIS method, and which parameters are suitable for the quantitative measurement are still unknown to the real application.
In this study, to explore a new method for burn injury detection and investigate the effective parameters, a quantitative and rapid measurement has been proposed based on EIS method by detecting the proportion of HRBCs. The content of this paper is as the following: in Section 2, an experiment system is built up to detect the electrical impedance characteristics of blood with different HCT and HHCT. In Section 3, a seven-parameter equivalent circuit is employed to quantify the relationship from the perspective of electricity. Additionally, the conventional Hanai equation has been modified to quantify the relationship. This study might be meaningful to a more efficient, economical and rapid burn injury detection method.
2. Experiment
2.1. Experimental Setup
The experimental setup for the burn injury detection by EIS method is shown in Figure 1a. It mainly consists of a cuvette, an impedance analyzer (IM7581, Hioki E.E. Corporation, Nagano-ken, Japan) with a fixture (16092A, Agilent Technologies Inc., Palo Alto, CA, USA), and a personal computer (PC). In the experimental setup, blood is put inside the cuvette with two electrodes which are fabricated by copper. The structural dimension parameters of the cuvette are 12 mm × 12 mm × 45 mm, and the size of the electrodes in the cuvette is 10 mm × 20 mm with a distance of 2 mm, as is shown in Figure 1b. During the experiment, the impedance analyzer is utilized to measure the electrical impedance parameters of blood with the cuvette fixed in the fixture. The PC is used to process the data from the impedance analyzer.
Figure 1.
(a) Experimental setup; (b) structural dimension of the cuvette; (c) sample preparation of blood with different burn injury degrees (plasma, RBCs and HRBCs); (d) sample preparation of blood with different concentrations of RBCs.
2.2. Sample Preparation
Swine blood is utilized in this study instead of human blood because of the ethical and regulatory considerations. The swine blood is taken from a slaughterhouse within 12 h. A trisodium citrate solution with a concentration of 3.28% is injected into the swine blood with a volume ration of 1:9 to prevent blood clotting. Before the experiment, swine blood is put into the thermostatic water bath (HH-4, Jintan Chengdong Xinrui Instrument Factory, Changzhou, China) at 55 ℃ for 1 h to get the heated swine blood, which has been confirmed to be effective to mimic the burn injury for blood [24]. Then, the heated swine blood is put into the centrifuge to get the HRBCs, and normal swine blood is put into the centrifuge to get RBCs and plasma after centrifuging at 2000× g rpm for 30 min under room temperature. Two experiments are designed to measure the difference between the electrical impedance characteristics of RBCs and HRBCs. As illustrated in Figure 1c, experiment is to mimic the blood with different burn injury degrees by mixing plasma with RBCs, HRBCs of different proportions. In the second experiment, plasma is mixed with RBCs to mimic the normal blood, as is shown in Figure 1d.
2.3. Experimental Results
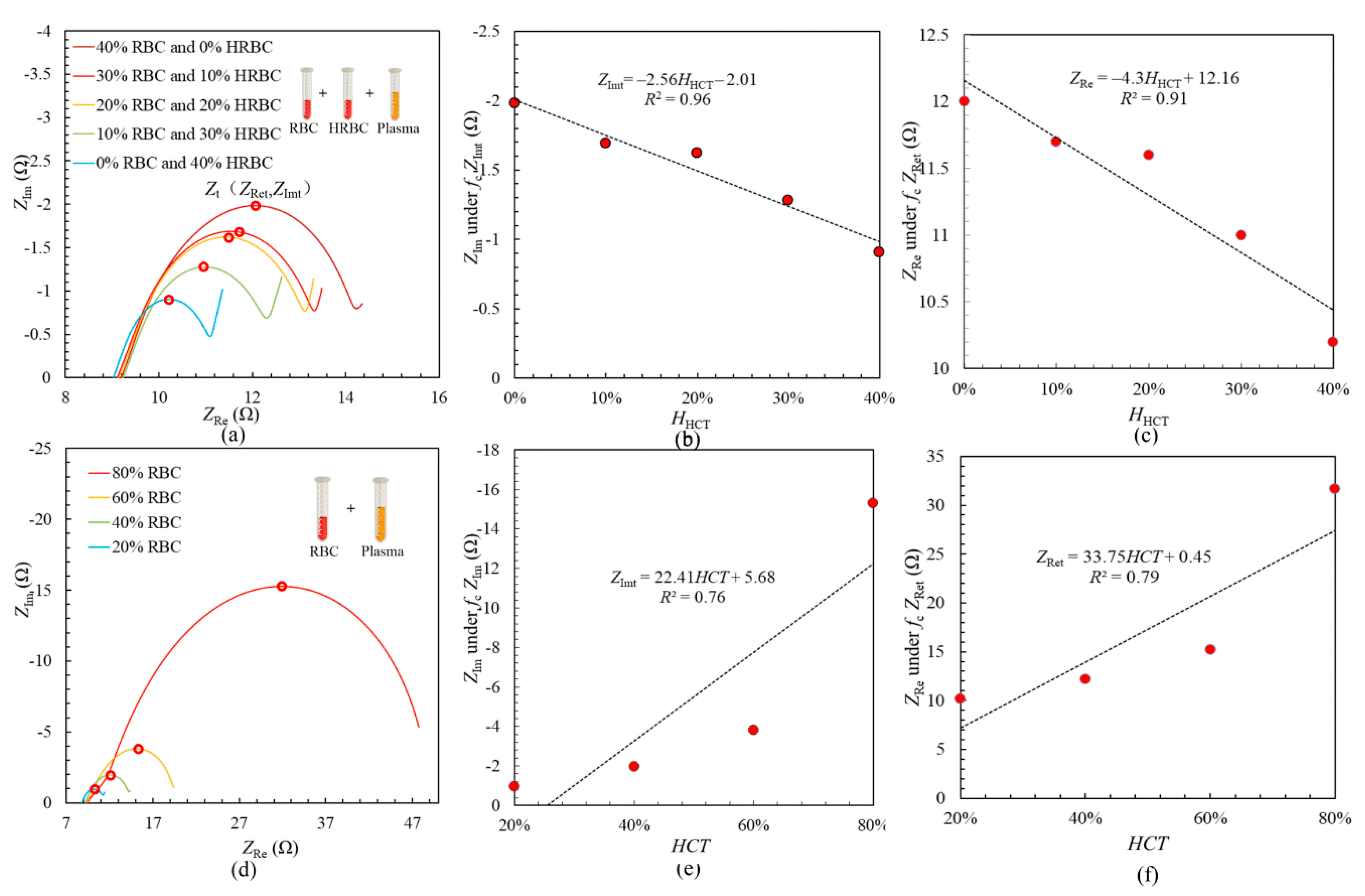
Figure 2a illustrates the experimental results about the impedance characteristics of blood with different proportions of HRBCs and RBCs measured by the system in Figure 1a. The experiments were carried out under the conditions of room temperature t = 25 °C. By inserting different volumes of RBCs and HRBCs into plasma, the obtained HCT is 0%, 10%, 20%, 30%, 40%, and HHCT is 40%, 30%, 20%, 10%, 0% which ensures the the value of ‘HCT + HHCT’ is always 40%. It has been reported that different degrees of burn injury bring different HCT and HHCT in blood [23]. Hence, the blood for the first experiment is mixed by different HCT and HHCT to mimic blood with different injury degrees. The experiments were taken under the sweeping frequency from f = 100 kHz to f = 300 MHz and the applied current of I = 10 mA. It is to note that because of the effect of inductance, some experimental date whose imaginary part of impedance is larger than 0 is going to be not shown in the figures. As shown in Figure 2a, the Nyquist plots of the blood with different HCT and HHCT all follow the classical shape of a semicircle: as frequency f goes up, the value of impedance increases at low frequencies and then it decreases after the characteristic frequency (peak point Zt, the impedance under characteristic frequency fc). To clearly clarify the electrical impedance characteristic variation, the peak point Zt (ZRet, ZImt) of each Nyquist plot is investigated. Here, ZRet is the real part of impedance under the characteristic frequency fc, ZImt is the imaginary part of impedance under the characteristic frequency fc. The radius of the Nyquist plot has a negative correlation with HHCT, and the value of ZImt reduces from 1.98 Ω to 0.91 Ω under the condition that HHCT is from 0% to 40%. Moreover, as is seen in Figure 2b, the linear relationship between ZImt and HHCT is shown as: ZImt = −2.56 HHCT + 2.01 with a great linearity of R2 = 0.96. Figure 2c shows the linear relationship between ZRet and HHCT which is obtained as: ZRet = −4.3 HHCT +12.16 with a linearity of R2 = 0.91. Compared with linearity of two relationships, ZImt is more sensitive to HHCT. According to previous studies [23,25], HHCT is related to the degrees of burn injury. It means that ZImt might be an effective parameter to detect the degree of burn injury.
Figure 2.
(a) The Nyquist plots of the blood with different HCT and HHCT; (b) Relationship between HHCT and ZImt; (c) Relationship between HHCT and ZRet; (d) The Nyquist plots of the blood with different HCT; (e) Relationship between HCT and ZImt; (f) Relationship between HCT and ZRet.
In order to further investigate the parameter ZImt and the influence of HCT, the second experiment is conducted with the obtained HCT changing from HCT = 20% to HCT =80%. As shown in Figure 2c, the Nyquist plots of blood with different HCT also follow the shape of a semicircle. The radius of Nyquist plot increases under the condition that HCT enhances. Additionally, the value of ZImt climbs from 0.98 Ω to 15.3 Ω in the case that HHCT jumps from 20% to 80%. The relationship between ZImt and HCT is shown as: ZImt = 22.41 HCT +5.68 with a low linearity of R2 = 0.76, which means ZImt is not so sensitive to HCT. Similarly, in Figure 2f, relationship between ZRet and HCT is shown as: ZRet = 33.75 HCT +0.45 with a low linearity of R2 = 0.79, which is also not sensitive to HCT. As a result, ZImt is confirmed to be effective to measure HHCT, which means that it could be treated as a quantitative parameter to measure the degrees of burn injury.
3. Discussion
3.1. Equivalent Circuit
In order to obtain the information of the electrical impedance properties of blood with different degrees of burn injury, the electrical impedance system is described by the seven -parameter equivalent circuit in Figure 3a. The blood system is divided into three parts: electrode polarization portion A, RBC polarization portion B and plasma portion C. R1 is the electrolyte resistance; CRBC is the RBC capacity, RRBC is the resistance of RBC; Rp is the resistance of plasma and Cp is the capacitance of plasma. The impedance of the CPE is [26,27]:
where CPE is a ideal capacitor if p is close to 1 or a resistor if p is close to 0; t is the CPE constant, j is the imaginary unit, 2πf is angular frequency.
Figure 3.
(a) Seven-parameter equivalent circuit of blood; (b) Fitting results: HRBC and relationship between HHCT and Rp; (c) The Nyquist plots of blood with different HCT and HHCT; (d) Relationship between HHCT and ZImt; (e) Relationship between HHCT and ZRet.
By taking the seven-parameter equivalent circuit, the fitting results in Figur 3b show that there is a great linear relationship between HHCT and plasma resistance Rp. Table 1 shows the fitting parameters. The value of Rp goes up from Rp = 3.93 Ω to Rp = 0.83 Ω in the case that HHCT increases from HHCT = 0% to HHCT = 40%. Moreover, the relationship between Rp and HHCT is obtained as: Rp = −7.2HHCT +3.91 with a linearity of R2 = 0.96. This is thought to be caused by the fact that burn injury leads to the rupture of HRBCs. The capacitive properties of the cell membrane decreases after the rupture of HRBCs, and the hemoglobin inside cells escapes into the plasma which enhances the resistive properties of the plasma. From the proposed seven-parameter equivalent circuit, it is found that the parameter plasma resistance Rp is also effective to be applied as an indicator of burn injury degrees.
Table 1.
Fitting parameters.
3.2. Modified Hanai Equation
In this research, in order to quantitatively analyze the impedance variation of blood with different degrees of burn injury, traditional Hanai equation is modified for the theoretical calculation. Hanai equation is widely applied for the electrical impedance calculation in heterogeneous systems of dense colloids. The conventional Hanai equation has already been modified from the viewpoint of different proportions of RBCs and HRBCs. Moreover, from the previous experimental results in Section 2, the blood is simplified as the solution of RBCs, HRBCs and plasma. The RBCs and HRBCs have been simplified as the 2-dimensional elliptical cells.
Here, modified Hanai equation with the elliptical model including all these influencing factors is calculated as follows:
where is the complex permittivity of blood, is the complex permittivity of cell-free plasma and plasma is the complex permittivity of plasma with RBCs; is the complex permittivity of RBC and is the complex permittivity of HRBC; A′ and B′ are the orientation factors influenced by RBCs orientation. C1, C2, C3 are the deformation factors influenced by electrical field. is the relative permittivity of membrane. σplasma and σm are the conductivity of plasma and membrane, respectively. The other values based on the elliptical cell model have been described as:
Based on the modified Hanai equation [17], the impedance Z* of blood is achieved according to Equation (6):
where A is the area of the electrode of the container; d is the distance between the two electrodes of container, which is shown in Figure 1b.
3.3. Calculation Results
Figure 3c illustrates the calculation results of the impedance characteristics with different HCT and HHCT based on the modified Hanai equation. The Nyquist plots of blood with different HCT and HHCT all have semicircles, and the radius of the Nyquist plot reduces as HHCT enhances. The value of impedance climbs at low frequencies and then it decreases after the characteristic frequency fc (peak point Zt). To clearly clarify the electrical impedance characteristic variation, the peak point Zt (ZRet, ZImt) of each Nyquist plot is also investigated. The value of ZImt reduces from 0.29 Ω to 0.07 Ω under the condition that HHCT goes up from 10% to 40% in the calculation results. Figure 3d illustrates ZImt is linearly related to HHCT, moreover, the linear relationship between them is shown as ZImt = −0.75HHCT +0.36. This linear relationship has a great linearity of R2 = 0.99. The linear relationship between ZRet and HHCT is illustrated in Figure 3e as: ZRet = −0.34HHCT + 1.01 with a great linearity of R2 = 0.99. According to the calculation results in Figure 3 and the experimental results in Figure 2, it is confirmed that the parameter ZImt has a great linear relationship with HHCT, which is effective to measure the degrees of burn injury quantitatively.
4. Conclusions
In this study, a quantitative and rapid burn injury detection method based on EIS has been proposed. The degrees of burn injury are estimated from the impedance values of blood with different HCT and HHCT. Results show that the parameter ZImt and Rp are effective to be applied for the quantitative detection of burn injury. The linear relationship between ZImt and HHCT could be obtained as ZImt = −2.56HHCT −2.01 with a high approximation of R2 = 0.96. Additionally, the linear relationship between plasma resistance Rp and HHCT could be obtained as Rp = −7.2HHCT +3.91 with a high approximation of R2 = 0.96. In the future, more work is still needed to make the practical application for burn injury patients.
Author Contributions
H.B.: Writing—original draft, data curation. J.L.: Writing—review & editing, Funding acquisition. J.W.: Conceptualization, Funding acquisition. L.C.: Data curation. Y.H.: Conceptualization, Review. Y.Z.: Conceptualization, Review. N.W.: Review, Funding acquisition. M.T.: Review. All authors have read and agreed to the published version of the manuscript.
Funding
This work was supported the Natural Science Foundation of Zhejiang Province: LY19E050010, LY20E050009 and LGF20E050001, and the General Research Projects of Zhejiang Provincial Department of Education: Y201943038.
Institutional Review Board Statement
The study was conducted according to the guidelines of the Declaration of Helsinki, and approved by the Institutional Review Board (or Ethics Committee) of Zhejiang Normal University (protocol code: 202001 and from 2021.01 to 2023.12).
Conflicts of Interest
The authors declare no conflict of interest.
References
- François, P.; Rémi, G.; François, M.; Stéphan, T.; Josée, B. Continuous venovenous hemofiltration using customized replacement fluid for acute kidney injury with severe hypernatremia. Clin. Kidney J. 2016, 9, 540–542. [Google Scholar]
- Priya, K.S.; Gnanamani, A.; Radhakrishnan, N.; Babu, M. Healing potential of Datura alba on burn wounds in albino rats. J. Ethnopharmacol. 2002, 83, 193–199. [Google Scholar] [CrossRef]
- Upadhyay, N.; Kumar, K.R.; Mandotra, S.K.; Meena, R.N.; Siddiqui, M.S.; Sawhney, R.C.; Gupta, A. Safety and healing efficacy of Sea buckthorn (Hippophae rhamnoides L.) seed oil on burn wounds in rats. Food Chem. Toxicol. 2009, 47, 1146–1153. [Google Scholar] [CrossRef]
- Monstrey, S.; Hoeksema, H.; Verbelen, J.; Pirayesh, A.; Blondeel, P. Assessment of burn depth and burn wound healing potential. Burns 2008, 34, 761–769. [Google Scholar] [CrossRef] [PubMed]
- Heimbach, D.; Engrav, L.; Grube, B.; Marvin, J. Burn Depth: A Review. World J. Surg. 1992, 16, 10–15. [Google Scholar] [CrossRef]
- Godina, M.; Derganc, M.; Brčič, A. The reliability of clinical assessment of the depth of burns. Burns 1977, 4, 92–96. [Google Scholar] [CrossRef]
- Kahn, A.M.; McCrady, V.L.; Rosen, V.J. Burn wound biopsy multiple uses in patient management. Scand. J. Plast. Recons. 1979, 13, 53–56. [Google Scholar] [CrossRef]
- Niazi, Z.B.M.; Essex, T.J.H.; Papini, R.; Scott, D.; McLean, N.R.; Black, M.J.M. New laser doppler scanner, a valuable adjunct in burn depth assessment. Burns 1993, 19, 485–489. [Google Scholar] [CrossRef]
- Brink, J.A.; Sheets, P.W.; Dines, K.A.; Etchison, M.R.; Hanke, C.W.; Sadove, A.M. Quantitative assessment of burn Injury in porcine skin with high-frequency ultrasonic imaging. Invest. Radiol. 1986, 21, 645–651. [Google Scholar] [CrossRef]
- Anand, G.; Lowe, A. Investigating electrical impedance spectroscopy for estimating blood flow-induced variations in human forearm. Sensors 2020, 20, 5333. [Google Scholar] [CrossRef]
- Bruna, G.P.; David, C.M.; Pedro, B.F. Analytical Model for Blood Glucose Detection Using Electrical Impedance Spectroscopy. Sensors 2020, 20, 6928. [Google Scholar]
- Wan, Y.; Su, Y.; Zhu, X.; Liu, G.; Fan, C. Development of electrochemical immunosensors towards point of care diagnostics. Biosens. Bioelectron. 2013, 47, 1–11. [Google Scholar] [CrossRef] [PubMed]
- Xu, Y.; Xie, X.; Duan, Y.; Wang, L.; Cheng, Z.; Cheng, J. A review of impedance measurements of whole cells. Biosens. Bioelectron. 2016, 77, 824–836. [Google Scholar] [CrossRef]
- Negahdary, M. Aptamers in nanostructure-based electrochemical biosensors for cardiac biomarkers and cancer biomarkers: A review. Biosens. Bioelectron. 2020, 152, 112018. [Google Scholar] [CrossRef] [PubMed]
- Asami, K. Characterization of heterogeneous systems by dielectric spectroscopy. Prog. Polym. Sci. 2002, 27, 1617–1659. [Google Scholar] [CrossRef]
- Li, J.; Sapkota, A.; Kikuchi, D.; Sakota, D.; Maruyama, O.; Takei, M. Red blood cells aggregability measurement of coagulating blood in extracorporeal circulation system with multiple-frequency electrical impedance spectroscopy. Biosens. Bioelectron. 2018, 112, 79–85. [Google Scholar] [CrossRef] [PubMed]
- Li, J.; Wan, N.; Wen, J.; Cheng, G.; He, L.; Cheng, L. Quantitative detection and evaluation of thrombus formation based on electrical impedance spectroscopy. Biosens. Bioelectron. 2019, 141, 111437. [Google Scholar] [CrossRef]
- DMishra, S.K.; Kumar, D.; Biradar, A.M.; Rajesh. Electrochemical impedance spectroscopy characterization of mercaptopropionic acid capped ZnS nanocrystal based bioelectrode for the detection of the cardiac biomarker—myoglobin. Bioelectrochemistry 2012, 88, 118–126. [Google Scholar] [CrossRef]
- Nguyen, N.-V.; Jen, C.-P. Impedance detection integrated with dielectrophoresis enrichment platform for lung circulating tumor cells in a microfluidic channe. Biosens. Bioelectron. 2018, 121, 10–18. [Google Scholar] [CrossRef]
- Ngoc, L.; Hien, T.; Kim, J.; Park, J.; Cho, S. A Review of Electrical Impedance Characterization of Cells for Label-Free and Real-Time Assays. Biochip. J. 2019, 13, 295–305. [Google Scholar] [CrossRef]
- Hassan, Q.; Ahmadi, S.; Kerman, K. Recent Advances in Monitoring Cell Behavior Using Cell-Based Impedance Spectroscopy. Micromachines 2020, 11, 590. [Google Scholar] [CrossRef]
- Sen, S.; Hsei, L.; Tran, N.; Romanowski, K.; Palmieri, T.; Greenhalgh, D.; Cho, K. Early clinical complete blood count changes in severe burn injuries. Burns 2018, 45, 97–102. [Google Scholar] [CrossRef]
- Wu, Y.; Zhang, J.; Wu, J. Autoimmune hemolytic anemia occurred in burn patient: A case report. Burns 2014, 40, e9–e11. [Google Scholar] [CrossRef]
- Grzelińska, E.; Bartosz, G.; Leyko, W.; Chapman, I.V. Effect of hyperthermia and ionizing radiation on the erythrocyte membrane. Nt. J. Radiat. Biol. 1982, 42, 45–55. [Google Scholar] [CrossRef]
- Zahid, M.F.; Alsammak, M.S. Spurious thrombocytosis in the setting of hemolytic anemia and microcytosis secondary to extensive burn injury. Turk. J. Hematol. 2018, 35, 205–206. [Google Scholar] [CrossRef]
- Shoar Abouzari, M.R.; Berkemeier, F.; Schmitz, G.; Wilmer, D. On the physical interpretation of constant phase elements. Solid. State. Ionics 2009, 180, 922–927. [Google Scholar] [CrossRef]
- Zhbanov, A.; Yang, S. Electrochemical impedance spectroscopy of blood for sensitive detection of blood hematocrit, sedimentation and dielectric properties. Anal. Methods. 2017, 9, 3302–3313. [Google Scholar] [CrossRef]
Publisher’s Note: MDPI stays neutral with regard to jurisdictional claims in published maps and institutional affiliations. |
© 2021 by the authors. Licensee MDPI, Basel, Switzerland. This article is an open access article distributed under the terms and conditions of the Creative Commons Attribution (CC BY) license (http://creativecommons.org/licenses/by/4.0/).


