Spatial Scale Effects of the Relationship between Fractional Vegetation Coverage and Land Surface Temperature in Horqin Sandy Land, North China
Abstract
:1. Introduction
2. Materials and Methods
2.1. Study Area
2.2. Data
2.3. Methodology
2.3.1. Extraction for FVC
2.3.2. Extraction for LST
2.3.3. Grading of FVC and LST
2.3.4. Selection and Analysis of Landscape Metrics
3. Results
3.1. Basic Characteristics of FVC and LST in Sample Areas
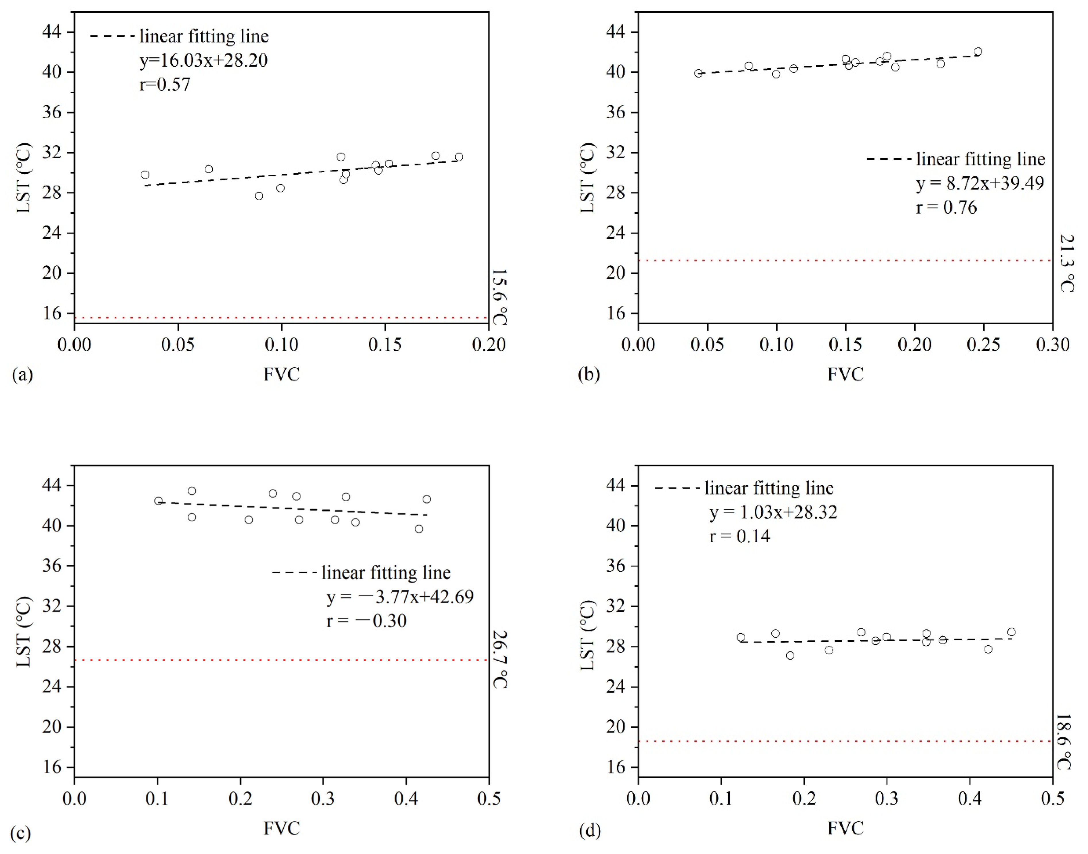
3.2. Relationship between Vegetation Coverage and Land Surface Temperature at Grid Scale
3.3. Relationship between FVC and LST at Sample Area Scale
3.4. Analysis of FVC and LST Pattern on Landscape Scale
4. Discussion
4.1. Relationship between FVC and LST
4.2. Spatial Pattern Correlation between FVC and LST
5. Conclusions
Supplementary Materials
Author Contributions
Funding
Institutional Review Board Statement
Informed Consent Statement
Data Availability Statement
Acknowledgments
Conflicts of Interest
Abbreviations
| Abbreviations | Definition |
| LST | Land Surface Temperature |
| NDVI | Normalized Difference Vegetation Index |
| FVC | Fractional Vegetation Coverage |
| UHI | Urban Heat Island |
| S1, S2, …, S12 | Sample areas selected from study area in Figure 1 |
| P1, P2, P3, P4 | Period 1, 2, 3, 4, represents 25 May, 10 June, 28 July, 29 August, 2017, respectively. |
| NP | Number of Patches |
| LPI | Largest patch index |
| ENN_MN | Euclidean nearest neighbor distance_Mean |
| SHEI | Shannon’s evenness index |
| SPLIT | Splitting index |
| CONTAG | Contagion index |
| AI | Aggregation index |
| CV | Coefficient of variation |
References
- Balling, R.C., Jr. Impact of Desertification on Regional and Global Warming. Bull. Am. Meteorol. Soc. 1991, 2, 232–234. [Google Scholar]
- Xu, J.X. Sand-Dust Storms in and around the Ordos Plateau of China as Influenced by Land Use Change and Desertification. Catena 2006, 65, 279–284. [Google Scholar] [CrossRef]
- Littmann, T. Dust Storm Frequency in Asia: Climatic Control and Variability. In. J. Climatol. 2010, 11, 393–412. [Google Scholar] [CrossRef]
- Wasson, R.J.; Nanninga, P.M. Estimating Wind Transport of Sand on Vegetated Surfaces. Earth Surf. Process. Landf. 1986, 11, 505–514. [Google Scholar] [CrossRef]
- Ding, C.; Huang, W.J.; Li, Y.; Zhao, S.; Huang, F. Nonlinear Changes in Dryland Vegetation Greenness over East Inner Mongolia, China, in Recent Years from Satellite Time Series. Sensors 2020, 20, 3839. [Google Scholar] [CrossRef] [PubMed]
- O’Neill, R.V.; Gardner, R.H.; Milne, B.T.; Turner, M.G.; Jackson, B. Heterogeneity and Spatial Hierarchies; Springer: New York, NY, USA, 1991; Volume 5, pp. 85–96. [Google Scholar]
- Levin, S.A. The Problem of Pattern and Scale in Ecology. Ecology 1992, 73, 1943–1967. [Google Scholar] [CrossRef]
- Vancutsem, C.; Ceccato, P.; Dinku, T.; Connor, S.J. Evaluation of Modis Land Surface Temperature Data to Estimate Air Temperature in Different Ecosystems over Africa. Remote Sens. Environ. 2010, 114, 449–465. [Google Scholar] [CrossRef]
- Ji, F.; Wu, Z.; Huang, J.; Chassignet, E. Evolution of Land Surface Air Temperature Trend. Nat. Clim. Chang. 2014, 4, 462–466. [Google Scholar] [CrossRef]
- Rahimzadeh-Bajgiran, P.; Omasa, K.; Shimizu, Y. Comparative Evaluation of the Vegetation Dryness Index (VDI), the Temperature Vegetation Dryness Index (TVDI) and the Improved TVDI (iTVDI) for Water Stress Detection in Semi-Arid Regions of Iran. ISPRS-J. Photogramm. Remote Sens. 2012, 68, 1–12. [Google Scholar] [CrossRef]
- Holzman, M.E.; Rivas, R.; Piccolo, M.C. Estimating Soil Moisture and the Relationship with Crop Yield Using Surface Temperature and Vegetation Index. Int. J. Appl. Earth Obs. Geoinf. 2014, 28, 181–192. [Google Scholar] [CrossRef]
- Jiménez-Muñoz, J.C.; José, A.; Sobrino, A. Generalized Single-Channel Method for Retrieving Land Surface Temperature from Remote Sensing Data. J. Geophys. Res.-Atmos. 2003, 108, 21–29. [Google Scholar] [CrossRef] [Green Version]
- Qin, Z.; Karnieli, A.; Berliner, P. A Mono-Window Algorithm for Retrieving Land Surface Temperature from Landsat Tm Data and Its Application to the Israel-Egypt Border Region. Int. J. Remote Sens. 2001, 22, 3719–3746. [Google Scholar] [CrossRef]
- Wan, Z.; Dozier, J. A Generalized Split-Window Algorithm for Retrieving Land-Surface Temperature from Space. IEEE Trans. Geosci. Remote Sens. 1996, 34, 892–905. [Google Scholar]
- Prata, A.J. Land Surface Temperatures Derived from the Advanced Very High Resolution Radiometer and the Along-Track Scanning Radiometer. Ⅱ: Experimental Results and Validation of Avhrr Algorithms. J. Geophys. Res.-Atmos. 1993, 99, 13025–13058. [Google Scholar] [CrossRef]
- Chaiyapon, K.; Stefania, B. Urban Heat Island Analysis over the Land Use Zoning Plan of Bangkok by Means of Landsat 8 Imagery. Remote Sens. 2018, 10, 440. [Google Scholar]
- Yu, X.; Guo, X.; Wu, Z. Land Surface Temperature Retrieval from Landsat 8 Tirs—Comparison between Radiative Transfer Equation-Based Method, Split Window Algorithm and Single Channel Method. Remote Sens. 2014, 6, 9829–9852. [Google Scholar] [CrossRef] [Green Version]
- Yuan, X.L.; Wang, W.F.; Cui, J.J.; Meng, F.H.; Kurban, A.; Maeyer, P.D. Vegetation Changes and Land Surface Feedbacks Drive Shifts in Local Temperatures over Central Asia. Sci. Rep. 2017, 7, 1–8. [Google Scholar] [CrossRef] [Green Version]
- Rashid, K.J.; Hoque, M.A.; Esha, T.A.; Rahman, M.A.; Paul, A. Spatiotemporal Changes of Vegetation and Land Surface Temperature in the Refugee Camps and Its Surrounding Areas of Bangladesh after the Rohingya Influx from Myanmar. Environ. Dev. Sustain. 2021, 23, 3562–3577. [Google Scholar] [CrossRef]
- Weng, Q.H.; Lu, D.S.; Schubring, J. Estimation of Land Surface Temperature-Vegetation Abundance Relationship for Urban Heat Island Studies. Remote Sens. Environ. 2015, 89, 467–483. [Google Scholar] [CrossRef]
- Amiri, R.; Weng, Q.H.; Alimohammadi, A.; Alavipanah, S.K. Spatial–Temporal Dynamics of Land Surface Temperature in Relation to Fractional Vegetation Cover and Land Use/Cover in the Tabriz Urban Area, Iran. Remote Sens. Environ. 2009, 113, 2606–2617. [Google Scholar] [CrossRef]
- Chakraborty, T.; Lee, X. A Simplified Urban-Extent Algorithm to Characterize Surface Urban Heat Islands on a Global Scale and Examine Vegetation Control on Their Spatiotemporal Variability. Int. J. Appl. Earth Obs. Geoinf. 2019, 74, 269–280. [Google Scholar] [CrossRef]
- Ghaderpour, E.; Abbes, A.B.; Rhif, M.; Pagiatakis, S.D. Non-stationary and unequally spaced NDVI time series analyses by the LSWAVE software. Int. J. Remote Sens. 2020, 41, 2374–2390. [Google Scholar] [CrossRef]
- Wu, T.; Guo, L.; Chen, S. Multi-Scale Relationship between Land Surface Temperature and Landscape Pattern Based on Wavelet Coherence: The Case of Metropolitan Beijing, China. Remote Sens. 2019, 11, 3021. [Google Scholar] [CrossRef] [Green Version]
- Liu, H.; Li, X.J.; Mao, F.J.; Zhang, M.; Du, H.Q. Spatiotemporal Evolution of Fractional Vegetation Cover and Its Response to Climate Change Based on Modis Data in the Subtropical Region of China. Remote Sens. 2021, 13, 913. [Google Scholar] [CrossRef]
- Dutta, K.; Basu, D.; Agrawal, S. Synergetic Interaction between Spatial Land Cover Dynamics and Expanding Urban Heat Islands. Environ. Monit. Assess. 2021, 193, 1–22. [Google Scholar] [CrossRef]
- Kumar, D.; Shekhar, S. Statistical Analysis of Land Surface Temperature–Vegetation Indexes Relationship through Thermal Remote Sensing. Ecotox. Environ. Safe 2015, 121, 39–44. [Google Scholar] [CrossRef] [PubMed]
- Breshears, D.D.; Cobb, N.S.; Rich, P.M.; Price, K.P.; Meyer, C.W. Regional Vegetation Die-Off in Response to Global-Change-Type Drought. Proc. Natl. Acad. Sci. USA 2005, 102, 15144–15148. [Google Scholar] [CrossRef] [Green Version]
- Jiapaer, G.; Xi, C.; Bao, A. A Comparison of Methods for Estimating Fractional Vegetation Cover in Arid Regions. Agric. For. Meteorol. 2011, 151, 1698–1710. [Google Scholar] [CrossRef]
- Al-Quraishi, A.; Gaznayee, H.A.; Crespi, M. Drought Trend Analysis in a Semi-Arid Area of Iraq Based on Normalized Difference Vegetation Index, Normalized Difference Water Index and Standardized Precipitation Index. J. Arid Land. 2021, 13, 413–430. [Google Scholar] [CrossRef]
- Zuo, X.A.; Zhao, X.Y.; Zhao, H.L.; Zhang, T.H.; Li, Y.L.; Wang, S.K.; Li, W.J.; Powers, R. Scale Dependent Effects of Environmental Factors on Vegetation Pattern and Composition in Horqin Sandy Land, Northern China. Geoderma 2012, 173, 1–9. [Google Scholar] [CrossRef]
- Luo, Y.; Zhao, X.; Zuo, X.; Li, Y.; Wang, T. Plant Responses to Warming and Increased Precipitation in Three Categories of Dune Stabilization in Northeastern China. Ecol. Res. 2017, 32, 1–12. [Google Scholar] [CrossRef]
- Yan, C.; Guo, Q.; Li, H.; Li, L.; Qiu, G.Y. Quantifying the Cooling Effect of Urban Vegetation by Mobile Traverse Method: A Local-Scale Urban Heat Island Study in a Subtropical Megacity. Build. Environ. 2020, 169, 1065411–10654112. [Google Scholar] [CrossRef]
- Sobrino, J.A.; Jimenez-Muoz, J.C.; Soria, G.; Romaguera, M.; Guanter, L.; Moreno, J.; Plaza, A.; Martinez, P. Land Surface Emissivity Retrieval from Different VNIR and TIR Sensors. IEEE Trans. Geosci. Remote Sens. 2008, 46, 316–327. [Google Scholar] [CrossRef]
- Chen, S.; Wang, T. Comparison Analyses of Equal Interval Method and Mean-Standard Deviation Method Used to Delimitate Urban Heat Island. J. Geo-Inf. Sci. 2009, 11, 145–150. [Google Scholar] [CrossRef]
- Sinclair, T.R.; Park, W.I. Inadequacy of the Liebig limiting-factor paradigm for explaining varying crop yields. Agron. J. 1993, 85, 742–746. [Google Scholar] [CrossRef]
- Zheng, S.; Zhao, L.; Li, Q. Numerical Simulation of the Impact of Different Vegetation Species on the Outdoor Thermal Environment. Urban For. Urban Green. 2016, 18, 138–150. [Google Scholar] [CrossRef]
- Ke, J.; Lu, M.; Fang, X.; Bing, X.; Yu, Z. Relationship between Forest City Landscape Pattern and Thermal Environment: A Case Study of Longquan City, China. J. Appl. Ecol. 2019, 30, 3066–3074. [Google Scholar]
- Peng, J.; Xie, P.; Liu, Y.; Ma, J. Urban Thermal Environment Dynamics and Associated Landscape Pattern Factors: A Case Study in the Beijing Metropolitan Region. Remote Sens. Environ. 2016, 173, 145–155. [Google Scholar] [CrossRef]
- Mathew, A.; Sumit, K.; Nivedita, K. Investigating Spatial and Seasonal Variations of Urban Heat Island Effect over Jaipur City and Its Relationship with Vegetation, Urbanization and Elevation Parameters-ScienceDirect. Sustain. Cities Soc. 2017, 35, 157–177. [Google Scholar] [CrossRef]
- Lin, Y.; Han, G.; Zhao, M.; Chang, S.X. Spatial Vegetation Patterns as Early Signs of Desertification: A Case Study of a Desert Steppe in Inner Mongolia, China. Landsc. Ecol. 2010, 25, 1519–1527. [Google Scholar] [CrossRef]
- Liu, Y.; Huang, X.; Yang, Q.; Cao, Y. The Turning Point between Urban Vegetation and Artificial Surfaces for Their Competitive Effect on Land Surface Temperature. J. Clean Prod. 2021, 292, 126–134. [Google Scholar] [CrossRef]
- Zhang, Y.S.; Balzter, H.; Li, Y. Influence of Impervious Surface Area and Fractional Vegetation Cover on Seasonal Urban Surface Heating/Cooling Rates. Remote Sens. 2021, 13, 1263. [Google Scholar] [CrossRef]
- Karnieli, A.; Agam, N.; Pinker, R.T.; An De Rson, M.; Imhoff, M.L.; Gutman, G.G.; Panov, N.; Goldberg, A. Use of NDVI and Land Surface Temperature for Drought Assessment: Merits and Limitations. J. Clim. 2010, 23, 618–633. [Google Scholar] [CrossRef]
- Xiong, Y.; Zhao, S.; Yin, J.; Li, C.; Qiu, G. Effects of Evapotranspiration on Regional Land Surface Temperature in an Arid Oasis Based on Thermal Remote Sensing. IEEE Geosci. Remote Sens. Lett. 2016, 13, 1885–1889. [Google Scholar] [CrossRef]






| Station | Parameters | 25 May 2017 | 10 June 2017 | 28 July 2017 | 29 August 2017 |
|---|---|---|---|---|---|
| Naiman | air temperature | 15.6 | 21.4 | 27.5 | 19.0 |
| maximum sLST | 37.0 | 53.7 | 54.5 | 38.8 | |
| minimum sLST | 4.0 | 2.4 | 12.5 | 1.8 | |
| Kulun | air temperature | 15.5 | 21.2 | 25.8 | 18.2 |
| maximum sLST | 43.0 | 56.3 | 47.8 | 34.0 | |
| minimum sLST | 5.7 | 8.2 | 16.1 | 4.3 |
| Grade | Interval | P1 | P2 | P3 | P4 | |
|---|---|---|---|---|---|---|
| FVC | 1st | fvc ≤ μa 1 – stda 2 | ≤0.05 | ≤0.06 | ≤0.09 | ≤0.12 |
| 2nd | μa – stda < fvc ≤ stda | 0.05–0.12 | 0.06–0.15 | 0.09–0.27 | 0.12–0.29 | |
| 3rd | stda < fvc ≤ μa + stda | 0.12–0.20 | 0.15–0.24 | 0.27–0.44 | 0.29–0.46 | |
| 4th | fvc > μa + stda | >0.20 | >0.24 | >0.44 | >0.46 | |
| LST/°C | 1st | lst ≤ μb 3 – stdb 4 | ≤28.63 | ≤39.75 | ≤40.10 | ≤27.52 |
| 2nd | μb – stdb < lst ≤ stdb | 28.63–30.27 | 39.75–40.8 | 40.1–41.68 | 27.52–28.62 | |
| 3rd | stdb < lst ≤ μb – stdb | 30.27–31.92 | 40.8–41.85 | 41.68–43.26 | 28.62–29.72 | |
| 4th | lst > μb + stdb | >31.92 | >41.85 | >43.26 | >29.72 |
| Landscape Pattern Metrics | Comments |
|---|---|
| NP (Number of patches) | The total number of patches of FVC (LST), expressing the landscape heterogeneity and fragmentation of FVC (LST). |
| LPI (Largest patch index) | The maximum patch area is divided by the total landscape area of the FVC (LST), expressing the landscape dominance. |
| ENN_MN (Euclidean nearest neighbor distance_Mean) | Nearest neighbor distance (average) between patches of FVC (LST). |
| SHEI (Shannon’s evenness index) | The landscape degree of uneven distribution of patches of FVC (LST). |
| SPLIT (Splitting index) | The landscape degree of segmentation and fragmentation of FVC (LST). |
| CONTAG (Contagion index) | The degree of aggregation or extension trend of patches with different grades of FVC (LST) in the landscape. |
| AI (Aggregation index) | Indicates the patches degree of dispersion and aggregation of FVC (LST). |
| Periods | Sample Area with Minimum FVC | Sample Area Closest to the Mean FVC | Sample Area with Maximum FVC |
|---|---|---|---|
| P1 | S4 | S2 | S3 |
| P2 | S4 | S10 | S3 |
| P3 | S4 | S5 | S3 |
| P4 | S4 | S8 | S3 |
| Periods | FVC | LST/°C | ||||||
|---|---|---|---|---|---|---|---|---|
| Min_FVC | Max_FVC | Mean_FVC | CV/% | Min_LST | Max_ LST | Mean_LST | CV/% | |
| P1 | 0.03 | 0.19 | 0.12 | 34.3 | 27.67 | 31.68 | 30.18 | 4.16 |
| P2 | 0.04 | 0.25 | 0.15 | 37.0 | 39.80 | 42.07 | 40.80 | 1.62 |
| P3 | 0.10 | 0.42 | 0.27 | 37.7 | 39.70 | 43.46 | 41.68 | 3.21 |
| P4 | 0.12 | 0.45 | 0.29 | 33.5 | 27.11 | 29.44 | 28.62 | 2.66 |
| CV/% | - | - | 40.1 | - | - | - | 19.47 | - |
| Sample Areas | P1 | P2 | P3 | P4 |
|---|---|---|---|---|
| Min_FVC | 0.902 ** | 0.952 ** | 0.940 ** | 0.996 ** |
| Median 1_FVC | 0.725 * | 0.989 ** | 0.892 ** | 0.748 ** |
| Max_FVC | 0.690 * | 0.889 ** | 0.934 ** | 0.939 ** |
Publisher’s Note: MDPI stays neutral with regard to jurisdictional claims in published maps and institutional affiliations. |
© 2021 by the authors. Licensee MDPI, Basel, Switzerland. This article is an open access article distributed under the terms and conditions of the Creative Commons Attribution (CC BY) license (https://creativecommons.org/licenses/by/4.0/).
Share and Cite
Qiao, R.; Dong, C.; Ji, S.; Chang, X. Spatial Scale Effects of the Relationship between Fractional Vegetation Coverage and Land Surface Temperature in Horqin Sandy Land, North China. Sensors 2021, 21, 6914. https://doi.org/10.3390/s21206914
Qiao R, Dong C, Ji S, Chang X. Spatial Scale Effects of the Relationship between Fractional Vegetation Coverage and Land Surface Temperature in Horqin Sandy Land, North China. Sensors. 2021; 21(20):6914. https://doi.org/10.3390/s21206914
Chicago/Turabian StyleQiao, Rongrong, Chunyuan Dong, Shuxin Ji, and Xueli Chang. 2021. "Spatial Scale Effects of the Relationship between Fractional Vegetation Coverage and Land Surface Temperature in Horqin Sandy Land, North China" Sensors 21, no. 20: 6914. https://doi.org/10.3390/s21206914
APA StyleQiao, R., Dong, C., Ji, S., & Chang, X. (2021). Spatial Scale Effects of the Relationship between Fractional Vegetation Coverage and Land Surface Temperature in Horqin Sandy Land, North China. Sensors, 21(20), 6914. https://doi.org/10.3390/s21206914
