Nd3+-Doped TiO2 Nanoparticles as Nanothermometer: High Sensitivity in Temperature Evaluation inside Biological Windows
Abstract
:1. Introduction
2. Experimental Section
2.1. Materials Synthesis
2.2. Materials Characterization: Morphology, Structural and Elemental
2.3. Optical Characterization
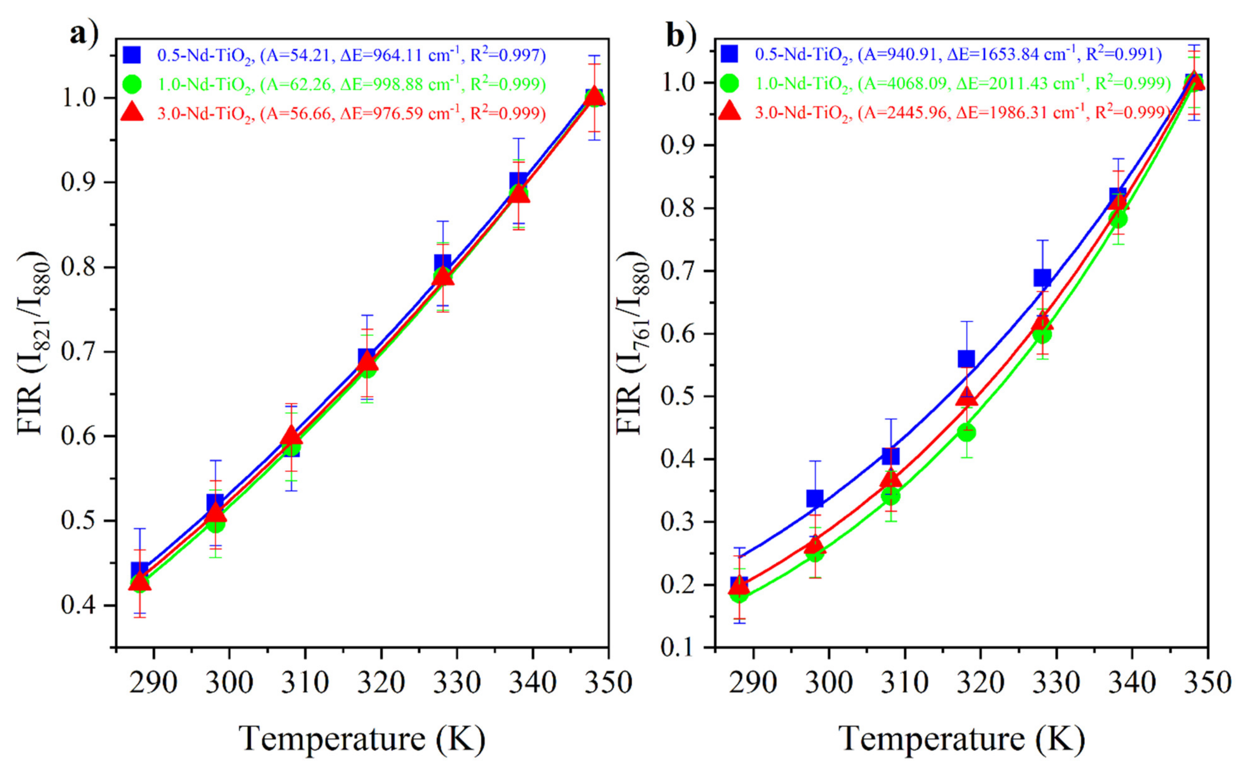
3. Results and Discussion
4. Conclusions
Supplementary Materials
Author Contributions
Funding
Institutional Review Board Statement
Informed Consent Statement
Data Availability Statement
Acknowledgments
Conflicts of Interest
References
- Daghrir, R.; Drogui, P.; Robert, D. Modified TiO2 for environmental photocatalytic applications: A review. Ind. Eng. Chem. Res. 2013, 52, 3581–3599. [Google Scholar] [CrossRef]
- Khaki, M.R.D.; Shafeeyan, M.S.; Raman, A.A.A.; Daud, W.M.A.W. Application of doped photocatalysts for organic pollutant degradation—A review. J. Environ. Manag. 2017, 198, 78–94. [Google Scholar] [CrossRef]
- Grätzel, M. Perspectives for dye-sensitized nanocrystalline solar cells. Prog. Photovolt. Res. Appl. 2000, 8, 171–185. [Google Scholar] [CrossRef]
- Wojcieszak, D.; Mazur, M.; Kurnatowska, M.; Kaczmarek, D.; Domaradzki, J.; Kępiński, L.; Chojnacki, K. Influence of Nd-doping on photocatalytic properties of TiO2 nanoparticles and thin film coatings. Int. J. Photoenergy 2014, 2014, 1–10. [Google Scholar] [CrossRef] [Green Version]
- Domaradzki, J.; Mazur, M.; Sieradzka, K.; Wojcieszak, D.; Adamiak, B. Photocatalytic properties of Ti-V oxides thin films. Opt. Appl. 2013, 43. [Google Scholar] [CrossRef]
- Rodríguez, E.M.; Rey, A.; Mena, E.; Beltrán, F.J. Application of solar photocatalytic ozonation in water treatment using supported TiO2. Appl. Catal. B Environ. 2019, 254, 237–245. [Google Scholar] [CrossRef]
- Tran, V.A.; Truong, T.T.; Phan, T.A.P.; Nguyen, T.N.; van Huynh, T.; Agresti, A.; Pescetelli, S.; Le, T.K.; di Carlo, A.; Lund, T.; et al. Application of nitrogen-doped TiO2 nanotubes in dye-sensitized solar cells. Appl. Surf. Sci. 2017, 399, 515–522. [Google Scholar] [CrossRef]
- Tugaoen, H.O.; Garcia-Segura, S.; Hristovski, K.; Westerhoff, P. Compact light-emitting diode optical fiber immobilized TiO2 reactor for photocatalytic water treatment. Sci. Total Environ. 2018, 613-614, 1331–1338. [Google Scholar] [CrossRef] [PubMed]
- Carbone, R.; Marangi, I.; Zanardi, A.; Giorgetti, L.; Chierici, E.; Berlanda, G.; Podestà, A.; Fiorentini, F.; Bongiorno, G.; Piseri, P. Biocompatibility of cluster assembled nanostructured TiO2 with primary and cancer cells. Biomaterials 2006, 27, 3221–3229. [Google Scholar] [CrossRef] [PubMed]
- Wang, Y.; Wen, C.; Hodgson, P.; Li, Y. Biocompatibility of TiO2 nanotubes with different topographies. J. Biomed. Mater. Res. Part A 2013, 102, 743–751. [Google Scholar] [CrossRef] [PubMed]
- Abazović, N.; Comor, M.; Dramicanin, M.; Jovanovic, D.; Ahrenkiel, S.P.; Nedeljkovic, J. Photoluminescence of anatase and rutile TiO2 particles. J. Phys. Chem. B 2006, 110, 25366–25370. [Google Scholar] [CrossRef] [PubMed]
- Mazierski, P.; Mikołajczyk, A.; Bajorowicz, B.; Malankowska, A.; Zaleska-Medynska, A.; Nadolna, J. The role of lanthanides in TiO2-based photocatalysis: A review. Appl. Catal. B Environ. 2018, 233, 301–317. [Google Scholar] [CrossRef]
- Zaleska-Medynska, A. Doped-TiO2: A review. Recent Pat. Eng. 2008, 2, 157–164. [Google Scholar] [CrossRef]
- Le Boulbar, E.; Millon, E.; Ntsoenzok, E.; Hakim, B.; Seiler, W.; Boulmer-Leborgne, C.; Perrière, J. UV to NIR photon conversion in Nd-doped rutile and anatase titanium dioxide films for silicon solar cell application. Opt. Mater. 2012, 34, 1419–1425. [Google Scholar] [CrossRef]
- Choudhury, B.; Choudhury, A. Dopant induced changes in structural and optical properties of Cr3+ doped TiO2 nanoparticles. Mater. Chem. Phys. 2012, 132, 1112–1118. [Google Scholar] [CrossRef]
- Kaleji, B.K.; Sarraf-Mamoory, R.; Fujishima, A. Influence of Nb dopant on the structural and optical properties of nanocrystalline TiO2 thin films. Mater. Chem. Phys. 2012, 132, 210–215. [Google Scholar] [CrossRef]
- Singh, J.; Sharma, S.; Sharma, S.; Singh, R.C. Effect of tungsten doping on structural and optical properties of rutile TiO2 and band gap narrowing. Optik 2019, 182, 538–547. [Google Scholar] [CrossRef]
- Garskaite, E.; Flø, A.S.; van Helvoort, A.T.J.; Kareiva, A.; Olsen, E. Investigations of near IR photoluminescence properties in TiO2: Nd, Yb materials using hyperspectral imaging methods. J. Lumin. 2013, 140, 57–64. [Google Scholar] [CrossRef]
- Bünzli, J.-C.G.; Eliseeva, S. Basics of lanthanide photophysics. In Lanthanide Luminescence; Hänninen, P., Härmä, H., Eds.; Springer: Berlin, Germany, 2011; pp. 1–45. [Google Scholar]
- Liu, F.; Ma, E.; Chen, D.; Yu, Y.; Wang, Y. Tunable red-green upconversion luminescence in novel transparent glass ceramics containing Er: NaYF4 nanocrystals. J. Phys. Chem. B 2006, 110, 20843–20846. [Google Scholar] [CrossRef] [PubMed]
- Quach, A.; Escax, V.; Nicole, L.; Goldner, P.; Guillot-Noël, O.; Aschehoug, P.; Hesemann, P.; Moreau, J.; Gourier, D.; Sanchez, C. Rare earth doped mesoporous hybrid thin films with tunable optical responses. J. Mater. Chem. 2007, 17, 2552–2560. [Google Scholar] [CrossRef]
- Wojcieszak, D.; Mazur, M.; Kaczmarek, D.; Morgiel, J.; Zatryb, G.; Domaradzki, J.; Misiewicz, J. Influence of Nd dopant amount on microstructure and photoluminescence of TiO2: Nd thin films. Opt. Mater. 2015, 48, 172–178. [Google Scholar] [CrossRef]
- Pandiyan, R.; Bartali, R.; Micheli, V.; Gottardi, G.; Luciu, I.; Ristic, D.; Alombert-Goget, G.; Ferrari, M.; Laidani, N. Influence of Nd3+ doping on the structural and near-IR photoluminescence properties of nanostructured TiO2 films. Energy Procedia 2011, 10, 167–171. [Google Scholar] [CrossRef] [Green Version]
- Jia, C.; Xie, E.; Peng, A.; Jiang, R.; Ye, F.; Lin, H.; Xu, T. Photoluminescence and energy transfer of terbium doped titania film. Thin Solid Film. 2006, 496, 555–559. [Google Scholar] [CrossRef]
- Malakhovskii, A.; Gnatchenko, S.; Kachur, I.; Piryatinskaya, V.; Temerov, V. Peculiarities of magnetic properties of Nd3+ ions in the Nd0.5Gd0.5Fe3(BO3)4 crystal in the optically excited states 4(F7/2 + S3/2) and (4G9/2 + 2K13/2 + 4G7/2). J. Alloy. Compd. 2016, 680, 87–94. [Google Scholar] [CrossRef]
- Páez-Hernández, D. Effect of the crystal environment on the optical and magnetic properties of Nd3+ and U3+ ions. Polyhedron 2016, 105, 35–41. [Google Scholar] [CrossRef]
- Vijayalakshmi, L.; Kumar, K.N.; Kumar, G.B.; Hwang, P. Structural, dielectric and photoluminescence properties of Nd3+ doped Li2O-LiF-B2O3-ZnO multifunctional optical glasses for solid state laser applications. J. Non Cryst. Solids 2017, 475, 28–37. [Google Scholar] [CrossRef]
- Li, W.; Wang, Y.; Lin, H.; Shah, S.I.; Huang, C.P.; Doren, D.J.; Rykov, S.A.; Chen, J.G.; Barteau, M.A. Band gap tailoring of Nd3+-doped TiO2 nanoparticles. Appl. Phys. Lett. 2003, 83, 4143–4145. [Google Scholar] [CrossRef]
- Hassan, M.S.; Amna, T.; Yang, O.-B.; Kim, H.-C.; Khil, M.-S. TiO2 nanofibers doped with rare earth elements and their photocatalytic activity. Ceram. Int. 2012, 38, 5925–5930. [Google Scholar] [CrossRef]
- Silva, W.; Silva, A.; Rocha, U.; Dantas, N.; Jacinto, C. Nd3+ doped TiO2 nanocrystals as self-referenced optical nanothermometer operating within the biological windows. Sens. Actuators A Phys. 2021, 317, 112445. [Google Scholar] [CrossRef]
- Jaque, D.; Vetrone, F. Luminescence nanothermometry. Nanoscale 2012, 4, 4301–4326. [Google Scholar] [CrossRef]
- Dramićanin, M.D. Trends in luminescence thermometry. J. Appl. Phys. 2020, 128, 040902. [Google Scholar] [CrossRef]
- Brites, C.; Lima, P.; Silva, N.; Millán, A.; Amaral, V.; Palacio, F.; Carlos, L. Thermometry at the nanoscale. Nanoscale 2012, 4, 4799–4829. [Google Scholar] [CrossRef] [PubMed] [Green Version]
- Brites, C.; Balabhadra, S.; Carlos, L.D. Lanthanide-based thermometers: At the cutting-edge of luminescence thermometry. Adv. Opt. Mater. 2018, 7. [Google Scholar] [CrossRef] [Green Version]
- Borrero-González, L.; Acosta, S.; Bittencourt, C.; Garvas, M.; Umek, P.; Nunes, L.A.O. Eu3+-doped titanium oxide nanoparticles for optical thermometry in the first biological window. Opt. Mater. 2020, 101, 109770. [Google Scholar] [CrossRef]
- De Sá, G.; Malta, O.; de Mello Donegá, C.; Simas, A.; Longo, R.; Santa-Cruz, P.; da Silva, E., Jr. Spectroscopic properties and design of highly luminescent lanthanide coordination complexes. Coord. Chem. Rev. 2000, 196, 165–195. [Google Scholar] [CrossRef]
- Wade, S.; Collins, S.F.; Baxter, G. Fluorescence intensity ratio technique for optical fiber point temperature sensing. J. Appl. Phys. 2003, 94, 4743–4756. [Google Scholar] [CrossRef]
- Sontakke, A.; Biswas, K.; Mandal, A.K.; Annapurna, K. Concentration quenched luminescence and energy transfer analysis of Nd3+ ion doped Ba-Al-metaphosphate laser glasses. Appl. Phys. A 2010, 101, 235–244. [Google Scholar] [CrossRef]
- Rim, K.T.; Koo, K.H.; Park, J.S. Toxicological evaluations of rare earths and their health impacts to workers: A literature review. Saf. Health Work 2013, 4, 12–26. [Google Scholar] [CrossRef] [PubMed] [Green Version]
- Balabhadra, S.; Debasu, M.; Brites, C.; Nunes, L.A.O.; Malta, O.; Rocha, J.; Bettinelli, M.; Carlos, L. Boosting the sensitivity of Nd3+-based luminescent nanothermometers. Nanoscale 2015, 7, 17261–17267. [Google Scholar] [CrossRef]
- Sugimoto, T.; Zhou, X.; Muramatsu, A. Synthesis of uniform anatase TiO2 nanoparticles by gel–sol method. J. Colloid Interface Sci. 2003, 259, 43–52. [Google Scholar] [CrossRef]
- Guttmann, P.; Bittencourt, C.; Rehbein, S.; Umek, P.; Ke, X.; van Tendeloo, G.; Ewels, C.P.; Schneider, G. Nanoscale spectroscopy with polarized X-rays by NEXAFS-TXM. Nat. Photon. 2011, 6, 25–29. [Google Scholar] [CrossRef]
- Bittencourt, C.; Hitchock, A.P.; Ke, X.; van Tendeloo, G.; Ewels, C.P.; Guttmann, P. X-ray absorption spectroscopy by full-field X-ray microscopy of a thin graphite flake: Imaging and electronic structure via the carbon K-edge. Beilstein J. Nanotechnol. 2012, 3, 345–350. [Google Scholar] [CrossRef] [Green Version]
- Colomer, M.T.; Roa, C.; Ortiz, A.L.; Ballesteros, L.M.; Molina, P. Influence of Nd3+ doping on the structure, thermal evolution and photoluminescence properties of nanoparticulate TiO2 xerogels. J. Alloy. Compd. 2020, 819, 152972. [Google Scholar] [CrossRef]
- Biesinger, M.C.; Payne, B.P.; Grosvenor, A.P.; Lau, L.W.; Gerson, A.R.; Smart, R.S. Resolving surface chemical states in XPS analysis of first row transition metals, oxides and hydroxides: Cr, Mn, Fe, Co and Ni. Appl. Surf. Sci. 2011, 257, 2717–2730. [Google Scholar] [CrossRef]
- Wei, Z.; Rosa, L.; Wang, K.; Endo, M.; Juodkazis, S.; Ohtani, B.; Kowalska, E. Size-controlled gold nanoparticles on octahedral anatase particles as efficient plasmonic photocatalyst. Appl. Catal. B Environ. 2017, 206, 393–405. [Google Scholar] [CrossRef] [PubMed]
- Janczarek, M.; Wei, Z.; Endo, M.; Ohtani, B.; Kowalska, E. Silver- and copper-modified decahedral anatase titania particles as visible light-responsive plasmonic photocatalyst. J. Photon. Energy 2016, 7, 012008. [Google Scholar] [CrossRef] [Green Version]
- Parnicka, P.; Mazierski, P.; Grzyb, T.; Wei, Z.; Kowalska, E.; Ohtani, B.; Lisowski, W.; Klimczuk, T.; Nadolna, J. Preparation and photocatalytic activity of Nd-modified TiO2 photocatalysts: Insight into the excitation mechanism under visible light. J. Catal. 2017, 353, 211–222. [Google Scholar] [CrossRef]
- Nithyaa, N.; Jaya, N.V. Effect of Nd on structural, optical and magnetic behaviour of TiO2 nanoparticles. Appl. Phys. A 2021, 127, 1–13. [Google Scholar] [CrossRef]
- Thole, B.T.; van der Laan, G.; Fuggle, J.C.; Sawatzky, G.A.; Karnatak, R.C.; Esteva, J.-M. 3d X-ray-absorption lines and the 3d94fn+1 multiplets of the lanthanides. Phys. Rev. B 1985, 32, 5107–5118. [Google Scholar] [CrossRef]
- Palina, N.; Wang, L.; Dash, S.; Yu, X.; Breese, M.B.H.; Wang, J.; Rusydi, A. Investigation of the metal–insulator transition in Nd NiO3 films by site-selective X-ray absorption spectroscopy. Nanoscale 2017, 9, 6094–6102. [Google Scholar] [CrossRef] [Green Version]
- Pallotti, D.K.; Passoni, L.; Maddalena, P.; Di Fonzo, F.; Lettieri, S. Photoluminescence mechanisms in anatase and rutile TiO2. J. Phys. Chem. C 2017, 121, 9011–9021. [Google Scholar] [CrossRef]
- Melnyk, V.; Shymanovska, V.; Puchkovska, G.; Bezrodna, T.; Klishevich, G. Low-temperature luminescence of different TiO2 modifications. J. Mol. Struct. 2005, 744, 573–576. [Google Scholar] [CrossRef]
- Luo, W.; Li, R.; Chen, X. Host-sensitized luminescence of Nd3+ and Sm3+ ions incorporated in anatase titania nanocrystals. J. Phys. Chem. C 2009, 113, 8772–8777. [Google Scholar] [CrossRef]
- Ghigna, P.; Speghini, A.; Bettinelli, M. Unusual Ln3+ substitutional defects: The local chemical environment of Pr3+ and Nd3+ in nanocrystalline TiO2 by Ln–K edge EXAFS. J. Solid State Chem. 2007, 180, 3296–3301. [Google Scholar] [CrossRef]
- Rocha, U.; da Silva, C.J.; Silva, W.F.; Guedes, I.; Benayas, A.; Maestro, L.M.; Elias, M.A.A.; Bovero, E.; van Veggel, F.C.J.M.; Solé, J.A.G.; et al. Subtissue thermal sensing based on neodymium doped LaF3 nanoparticles. ACS Nano 2013, 7, 1188–1199. [Google Scholar] [CrossRef] [PubMed]
- Bednarkiewicz, A.; Marciniak, L.; Carlos, L.D.; Jaque, D. Standardizing luminescence nanothermometry for biomedical applications. Nanoscale 2020, 12, 14405–14421. [Google Scholar] [CrossRef] [PubMed]









Publisher’s Note: MDPI stays neutral with regard to jurisdictional claims in published maps and institutional affiliations. |
© 2021 by the authors. Licensee MDPI, Basel, Switzerland. This article is an open access article distributed under the terms and conditions of the Creative Commons Attribution (CC BY) license (https://creativecommons.org/licenses/by/4.0/).
Share and Cite
Acosta, S.; Borrero-González, L.J.; Umek, P.; Nunes, L.A.O.; Guttmann, P.; Bittencourt, C. Nd3+-Doped TiO2 Nanoparticles as Nanothermometer: High Sensitivity in Temperature Evaluation inside Biological Windows. Sensors 2021, 21, 5306. https://doi.org/10.3390/s21165306
Acosta S, Borrero-González LJ, Umek P, Nunes LAO, Guttmann P, Bittencourt C. Nd3+-Doped TiO2 Nanoparticles as Nanothermometer: High Sensitivity in Temperature Evaluation inside Biological Windows. Sensors. 2021; 21(16):5306. https://doi.org/10.3390/s21165306
Chicago/Turabian StyleAcosta, Selene, Luis J. Borrero-González, Polona Umek, Luiz A. O. Nunes, Peter Guttmann, and Carla Bittencourt. 2021. "Nd3+-Doped TiO2 Nanoparticles as Nanothermometer: High Sensitivity in Temperature Evaluation inside Biological Windows" Sensors 21, no. 16: 5306. https://doi.org/10.3390/s21165306
APA StyleAcosta, S., Borrero-González, L. J., Umek, P., Nunes, L. A. O., Guttmann, P., & Bittencourt, C. (2021). Nd3+-Doped TiO2 Nanoparticles as Nanothermometer: High Sensitivity in Temperature Evaluation inside Biological Windows. Sensors, 21(16), 5306. https://doi.org/10.3390/s21165306

