Feasibility of a Mobile-Based System for Unsupervised Monitoring in Parkinson’s Disease
Abstract
:1. Introduction
2. Materials and Methods
2.1. Study Design
2.2. Objectives
2.2.1. Primary
2.2.2. Secondary
2.2.3. Exploratory Analysis
2.3. Participants
2.4. Study Supplies
- Mobile-based application (mHealth app): It allows for passive long-term unsupervised functional mobility quantification and position tracking outdoors, remote active testing (e.g., 1-min balance test, finger tapping, and a walk test), and on-demand (onetime or regular) self-reported questionnaires to easily quantify and track a user’s progress and treatment response over time. Additionally, the user can manage their medication and use a direct communication channel with their healthcare team. Users receive a weekly report of their functional mobility and their performance in the active tests.
- Online dashboard: It is a web-based dashboard where the clinical team has access to patients’ information and can interact with them.
2.5. Assessment Protocol
2.6. Analysis of mKinetikos Data
2.7. Statistical Analysis
- Patients’ satisfaction measured through Item 1 of the Post-Study System Usability Questionnaire (PSSUQ) [32];
- Adherence measured through the number of dropouts at the end of the study;
- Average compliance (throughout the whole study) was measured as the average of the following: (1) percent of the daily surveys (2) percent of expected tests performed (weekly active tests), and (3) percent expected medication registration (based on an individual’s medication schedule). Patients were then divided into three groups: “low” (≤0.33), “medium” (0.33–0.66), and “high” (≥0.66) compliances (these compliances correspond to a global compliance throughout the whole study). Moreover, the temporal evolution of this outcome was measured at months 1, 3, and 7 (after one month, immediately before the COVID-19 confinement, and at the end of the study).
3. Results
3.1. Cohort General Data
3.2. Satisfaction
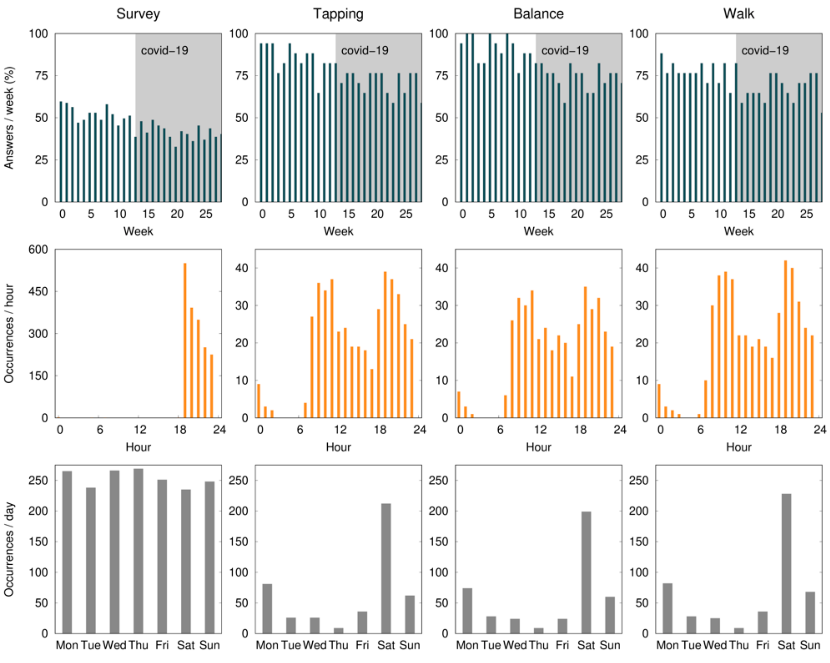
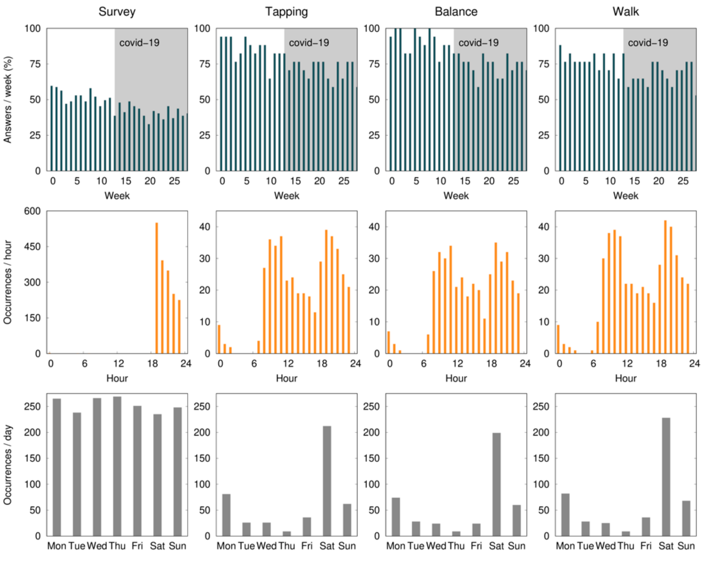
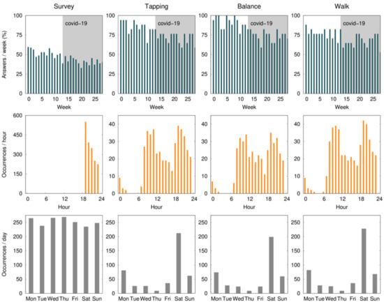
3.3. Adherence
3.4. Compliance
3.5. Usability
3.6. Technical Feasibility
3.7. mKinetikos Scores
4. Discussion
4.1. Feasibility
4.2. Usability
4.3. mKinetikos Scores Validity
4.4. Limitations of the Study
5. Conclusions
Author Contributions
Funding
Institutional Review Board Statement
Informed Consent Statement
Data Availability Statement
Conflicts of Interest
Appendix A. Demographic and Clinical Information Collected during the Study
- (1) Informed consent
- Date of inclusion: ______________
- Data sign informed consent: ______________
- (2) Eligibility
- Meet eligibility criteria? Yes □; No □;
- (3) Demographic data
- Birth: _____________
- Gender: ___________
- (4) Clinical data
- Year of first symptoms: ___________
- Year of diagnosis: _______________
- First symptoms: _________________
- Motor complications: _________________
- Comorbidities:
- ________________________________________________________________________________________________________________________________________________________________________________________________________________
- (5) Medication
- ________________________________________________________________________________________________________________________________________________________________________________________________________________
- (6) Clinical assessments
- Construct assessed: Functional mobility.
- Test description: The TUG test is a clinical test where is asked to the participant to rise from a chair, walk three meters at a comfortable and safe pace, turn, and return to the chair.
- Construct assessed: Motor and non-motor symptoms of PD patients
- Test description: The MDS-UPDRS is a four-part rating scale: Part I (non-motor daily living experiences), Part II (motor daily living experiences), Part III (motor examination), and Part IV (motor examination) (motor complications). Part I contains two parts: IA and IB. IA involves a variety of behaviors that the investigator assesses with all relevant information from patients and carers, and IB is completed by the patient with or without the assistance of the caregiver, but independently of the investigator. The rater completes Part III, which contains instructions for the rater to provide or demonstrate to the patient. Part IV contains instructions for the rater as well as information for the patient to read. The rater completes this section, which combines patient-derived data with the rater’s clinical observations and judgments.
- Parkinson’s Disease Questionnaire (PDQ-39) [41]
- Construct assessed: Quality of life
- Test description: The PDQ-39 is a self-reported questionnaire, with 39 items to evaluate, PD patients’ disease health related quality of life in eight domains.
- Clinical and Patients Global Impression (CGI and PGI) [22]
- Construct assessed: Global impression scales
- Test description: These are two one-item scales that clinicians (CGI) or patients can fill out (PGI). It checks all aspects of a patient’s health and determines if their clinical state has improved or deteriorated.
- Post-Study System Usability Questionnaire: The PSSUQ [42]
- Construct assessed: Usability
- Test description: A self-reported questionnaire designed to assess users’ satisfaction with a product at the completion of a study.
- (7) Daily surveys
- Today I felt good during the day
- 1. Never
- 2. Rarely
- 3. Sometimes
- 4. Often
- 5. Almost always
- Today during the day, I was able to do all the tasks I wanted to do.
- 1. Never
- 2. Rarely
- 3. Sometimes
- 4. Often
- 5. Almost always
- How do you rate the severity of symptoms today?
- 1. Absent
- 2. Very weak
- 3. Weak
- 4. Slightly severe
- 5. Severe
- (8) Weekly active tests (performed in On-state medication, at the time of the day more convenient to the participant)
- Ten-minute walk test (three trials)
- The patient was instructed to mark a 10 m straight path (i.e., without changes of direction) and walk it three times.
- Finger tapping test (1 min)
- The patient was asked to tap on the screen during 1 min.
- One-minute quiet stance
- The patient was instructed to put the phone in the pocket before and to stay 1 min in quiet stance. The beginning and the end of the test was marked by a sound the smartphone.
Appendix B. Equations Obtained in the Fitting Procedure
References
- van der Marck, M.; Kalf, J.; Sturkenboom, I.; Nijkrake, M.; Munneke, M.; Bloem, B. Multidisciplinary care for patients with Parkinson’s disease. Park. Relat. Disord. 2009, 15, S219–S223. [Google Scholar] [CrossRef]
- Rascol, O.; Payoux, P.; Ory, F.; Ferreira, J.J.; Brefel-Courbon, C.; Montastruc, J.-L. Limitations of current Parkinson’s disease therapy. Ann. Neurol. 2003, 53, 3–15. [Google Scholar] [CrossRef]
- Timotijevic, L.; Hodgkins, C.E.; Banks, A.; Rusconi, P.; Egan, B.; Peacock, M.; Seiss, E.; Touray, M.M.L.; Gage, H.; Pellicano, C.; et al. Designing a mHealth clinical decision support system for Parkinson’s disease: A theoretically grounded user needs approach. BMC Med. Inform. Decis. Mak. 2020, 20, 34. [Google Scholar] [CrossRef] [Green Version]
- Gatsios, D.; Antonini, A.; Gentile, G.; Marcante, A.; Pellicano, C.; Macchiusi, L.; Assogna, F.; Spalletta, G.; Gage, H.; Touray, M.; et al. Feasibility and Utility of mHealth for the Remote Monitoring of Parkinson Disease: Ancillary Study of the PD_manager Randomized Controlled Tria. JMIR mHealth uHealth 2020, 8, e16414. [Google Scholar] [CrossRef]
- Elm, J.J.; Daeschler, M.; Bataille, L.; Schneider, R.; Amara, A.; Espay, A.J.; Afek, M.; Admati, C.; Teklehaimanot, A.; Simuni, T. Feasibility and utility of a clinician dashboard from wearable and mobile application Parkinson’s disease data. NPJ Digit. Med. 2019, 2, 95. [Google Scholar] [CrossRef] [Green Version]
- Warmerdam, E.; Hausdorff, J.M.; Atrsaei, A.; Zhou, Y.; Mirelman, A.; Aminian, K.; Espay, A.J.; Hansen, C.; Evers, L.J.W.; Keller, A.; et al. Long-term unsupervised mobility assessment in movement disorders. Lancet Neurol. 2020, 19, 462–470. [Google Scholar] [CrossRef]
- Espay, A.J.; Bonato, P.; Nahab, F.B.; Maetzler, W.; Dean, J.M.; Klucken, J.; Eskofier, B.M.; Merola, A.; Horak, F.; Lang, A.; et al. Technology in Parkinson disease: Challenges and Opportunities. Mov. Disord. 2016, 31, 1272–1282. [Google Scholar] [CrossRef] [PubMed] [Green Version]
- Erb, M.K.; Karlin, D.R.; Ho, B.K.; Thomas, K.C.; Parisi, F.; Vergara-Diaz, G.P.; Daneault, J.-F.; Wacnik, P.W.; Zhang, H.; Kangarloo, T.; et al. mHealth and wearable technology should replace motor diaries to track motor fluctuations in Parkinson’s disease. NPJ Digit. Med. 2020, 3, 6. [Google Scholar] [CrossRef]
- Rispens, S.; van Dieen, J.; van Schooten, K.; Lizama, L.E.C.; Daffertshofer, A.; Beek, P.J.; Pijnappels, M. Fall-related gait characteristics on the treadmill and in daily life. J. Neuroeng. Rehabil. 2016, 13, 12. [Google Scholar] [CrossRef] [PubMed] [Green Version]
- Del Din, S.; Godfrey, A.; Galna, B.; Lord, S.; Rochester, L. Free-living gait characteristics in ageing and Parkinson’s disease: Impact of environment and ambulatory bout length. J. Neuroeng. Rehabil. 2016, 13, 46. [Google Scholar] [CrossRef] [Green Version]
- Zhan, A.; Little, M.A.; Harris, D.A.; Abiola, S.O.; Dorsey, E.; Saria, S.; Terzis, A. High Frequency Remote Monitoring of Parkinson’s Disease via Smartphone: Platform Overview and Medication Response Detection. arXiv 2016, arXiv:1601.00960. [Google Scholar]
- Zhan, A.; Mohan, S.; Tarolli, C.; Schneider, R.B.; Adams, J.L.; Sharma, S.; Elson, M.J.; Spear, K.L.; Glidden, A.M.; Little, M.A.; et al. Using smartphones and machine learning to quantify Parkinson disease severity the mobile Parkinson disease score. JAMA Neurol. 2018, 75, 876–880. [Google Scholar] [CrossRef]
- Espay, A.J.; Hausdorff, J.M.; Sánchez-Ferro, Á.; Klucken, J.; Merola, A.; Bonato, P.; Paul, S.S.; Horak, F.B.; Vizcarra, J.A.; Mestre, T.A.; et al. A roadmap for implementation of patient-centered digital outcome measures in Parkinson’s disease obtained using mobile health technologies. Mov. Disord. 2019, 34, 657–663. [Google Scholar] [CrossRef] [PubMed]
- Maetzler, W.; Klucken, J.; Horne, M. A clinical view on the development of technology-based tools in managing Parkinson’s disease. Mov. Disord. 2016, 31, 1263–1271. [Google Scholar] [CrossRef] [PubMed]
- Bronte-Stewart, H.M.; Ding, L.; Alexander, C.; Zhou, Y.; Moore, G.P. Quantitative Digitography (QDG): A Sensitive Measure of Digital Motor Control in Idiopathic Parkinson’s Disease. Mov. Disord. 2000, 15, 36–47. [Google Scholar] [CrossRef]
- Kassavetis, P.; Saifee, T.A.; Roussos, G.; Drougkas, L.; Kojovic, M.; Rothwell, J.C.; Edwards, M.J.; Bhatia, K.P. Developing a Tool for Remote Digital Assessment of Parkinson’s Disease. Mov. Disord. Clin. Pract. 2016, 3, 59–64. [Google Scholar] [CrossRef] [Green Version]
- Goetz, C.G.; Tilley, B.C.; Shaftman, S.R.; Stebbins, G.T.; Fahn, S.; Martinez-Martin, P.; Poewe, W.; Sampaio, C.; Stern, M.B.; Dodel, R.; et al. Movement Disorder Society-sponsored revision of the Unified Parkinson’s Disease Rating Scale (MDS-UPDRS): Scale presentation and clinimetric testing results. Mov. Disord. 2008, 23, 2129–2170. [Google Scholar] [CrossRef]
- Hoehn, M.M.; Yahr, M.D. Parkinsonism: Onset, progression, and mortality. Neurology 1967, 17, 427–442. [Google Scholar] [CrossRef] [Green Version]
- Podsiadlo, D.; Richardson, S. The Timed ”Up & Go”: A test of basic functional mobility for frail elderly persons. J. Am. Geriatr. Soc. 1991, 39, 142–148. [Google Scholar]
- Morris, S.; Morris, M.E.; Iansek, R. Reliability of measurements obtained with the Timed ‘Up, & Go’ Test in people with Parkinson disease. Phys. Ther. 2001, 81, 810–818. [Google Scholar]
- Bloem, B.R.; Marinus, J.; Almeida, Q.; Dibble, L.; Nieuwboer, A.; Post, B.; Ruzicka, E.; Goetz, C.; Stebbins, G.; Martinez-Martin, P.; et al. Measurement instruments to assess posture, gait, and balance in Parkinson’s disease: Critique and recommendations. Mov. Disord. 2016, 31, 1342–1355. [Google Scholar] [CrossRef] [PubMed]
- Martínez-Martín, P.; Rojo-Abuin, J.M.; Rodríguez-Violante, M.; Serrano-Dueñas, M.; Garretto, N.; Castrillo, J.C.M.; Arillo, V.C.; Fernández, W.; Chaná-Cuevas, P.; Arakaki, T.; et al. Analysis of four scales for global severity evaluation in Parkinson’s disease. NPJ Park. Dis. 2016, 2, 16007. [Google Scholar] [CrossRef] [PubMed]
- Lipsmeier, F.; Taylor, K.I.; Kilchenmann, T.; Wolf, D.; Scotland, A.; Schjodt-Eriksen, J.; Cheng, W.Y.; Fernandez-Garcia, I.; Siebourg-Polster, J.; Jin, L.; et al. Evaluation of smartphone-based testing to generate exploratory outcome measures in a phase 1 Parkinson’s disease clinical trial. Mov. Disord. 2018, 33, 1287–1297. [Google Scholar] [CrossRef] [PubMed]
- Mancini, M.; Salarian, A.; Carlson-Kuhta, P.; Zampieri, C.; King, L.; Chiari, L.; Horak, F.B. ISway: A Sensitive, Valid and Reliable Measure of Postural Control. J. Neuroeng. Rehabil. 2012, 9, 59. [Google Scholar] [CrossRef] [Green Version]
- IEEE Computer Society. The Fourth International Symposium on Wearable Computers: 16-17 October 2000, Atlanta, Georgia: Digest of Papers; IEEE Computer Society: Atlanta, GA, USA, 2000. [Google Scholar]
- Wu, J.; Zhou, Z.; Fourati, H.; Cheng, Y. A Super Fast Attitude Determination Algorithm for Consumer-Level Accelerometer and Magnetometer. IEEE Trans. Consum. Electron. 2018, 64, 375–381. [Google Scholar] [CrossRef]
- Madgwick, S.O.H.; Harrison, A.J.L.; Vaidyanathan, R. Estimation of IMU and MARG orientation using a gradient descent algorithm. In Proceedings of the 2011 IEEE International Conference on Rehabilitation Robotics, Zurich, Switzerland, 29 June–1 July 2011. [Google Scholar] [CrossRef]
- Mirelman, A.; Bonato, P.; Camicioli, R.; Ellis, T.D.; Giladi, N.; Hamilton, J.L.; Hass, C.J.; Hausdorff, J.M.; Pelosin, E.; Almeida, Q.J. Gait impairments in Parkinson’s disease. Lancet Neurol. 2019, 18, 697–708. [Google Scholar] [CrossRef]
- Manor, B.; Yu, W.; Zhu, H.; Harrison, R.; Lo, O.-Y.; Lipsitz, L.; Travison, T.; Pascual-Leone, A.; Zhou, J. Smartphone app–based assessment of gait during normal and dual-task walking: Demonstration of validity and reliability. JMIR mHealth uHealth 2018, 6, e36. [Google Scholar] [CrossRef]
- Zhang, Y.; Li, Y.; Peng, C.; Mou, D.; Li, M.; Wang, W. The height-adaptive parameterized step length measurement method and experiment based on motion parameters. Sensors 2018, 18, 1039. [Google Scholar] [CrossRef] [Green Version]
- Silsupadol, P.; Teja, K.; Lugade, V. Reliability and validity of a smartphone-based assessment of gait parameters across walking speed and smartphone locations: Body, bag, belt, hand, and pocket. Gait Posture 2017, 58, 516–522. [Google Scholar] [CrossRef]
- Fruhling, A.; Lee, S. Assessing the Reliability, Validity and Adaptability of PSSUQ. In Proceedings of the 11th Americas Conference on Information Systems, AMCIS 2005, Omaha, NE, USA, 11–15 August 2005. [Google Scholar]
- Zhang, H.; Song, C.; Rathore, A.S.; Huang, M.-C.; Zhang, Y.; Xu, W. mHealth Technologies towards Parkinson’s Disease Detection and Monitoring in Daily Life: A Comprehensive Review. IEEE Rev. Biomed. Eng. 2020. [Google Scholar] [CrossRef]
- Dorsey, E.R.; Bloem, B.R. The Parkinson pandemic—A call to action. JAMA Neurol. 2018, 1–2. [Google Scholar] [CrossRef] [PubMed]
- Hu, J.; Yuan, D.Z.; Zhao, Q.Y.; Wang, X.F.; Zhang, X.T.; Jiang, Q.H.; Luo, H.R.; Li, J.; Ran, J.H. Acceptability and practicability of self-management for patients with Parkinson’s disease based on smartphone applications in China. BMC Med. Inform. Decis. Mak. 2020, 20, 183. [Google Scholar] [CrossRef] [PubMed]
- Garzo, A.; Silva, P.A.; Garay-Vitoria, N.; Hernandez, E.; Cullen, S.; De Cock, V.C.; Ihalainen, P.; Villing, R. Design and development of a gait training system for Parkinson’s disease. PLoS ONE 2018, 13, e0207136. [Google Scholar] [CrossRef]
- Luis-Martínez, R.; Monje MH, G.; Antonini, A.; Sánchez-Ferro, Á.; Mestre, T.A. Technology-Enabled Care: Integrating Multidisciplinary Care in Parkinson’s Disease Through Digital Technology. Front. Neurol. 2020, 11, 575975. [Google Scholar] [CrossRef]
- Bouça-Machado, R.; Gonçalves, N.; Lousada, I.; Patriarca, M.A.; Costa, P.; Nunes, R.; Dias, S.; Caldas, A.C.; Valadas, A.; Lobo, P.P.; et al. Patients and Health Professional’s Perspective of Functional Mobility in Parkinson’s Disease. Front. Neurol. 2020, 11, 575811. [Google Scholar] [CrossRef]
- Bouça-Machado, R.; Duarte, G.S.; Patriarca, M.; Castro Caldas, A.; Alarcão, J.; Fernandes, R.M.; Mestre, T.A.; Matias, R.; Ferreira, J.J. Measurement Instruments to Assess Functional Mobility in Parkinson’s Disease: A Systematic Review. Mov. Disord. Clin. Pract. 2020, 7, 129–139. [Google Scholar] [CrossRef]
- Movement Disorder Society Task Force on Rating Scales for Parkinson’s Disease. The Unified Parkinson’s Disease Rating Scale (UPDRS): Status and Recommendations. Mov. Disord. 2003, 18, 738–750. [Google Scholar] [CrossRef] [PubMed]
- Jenkinson, C.; Fitzpatrick, R.; Peto, V.; Greenhall, R.; Hyman, N. The Parkinson’s Disease Questionnaire (PDQ-39): Development and validation of a Parkinson’s disease summary index score. Age Ageing 1997, 26, 353–357. [Google Scholar] [CrossRef] [PubMed] [Green Version]
- Lewis, J.R. Psychometric Evaluation of the Post-Study System Usability Questionnaire: The PSSUQ. In Proceedings of the Human Factors Society 36th Annual Meeting, Atlanta, GA, USA, 12–16 October 1992. [Google Scholar]




| Baseline | Daily | Weekly | Monthly | End of the Study (Seven Months) | |
|---|---|---|---|---|---|
| Clinical interview Demographic and clinical data | |||||
| MDS-UPDRS [17] | |||||
| MDS-UPDRS–Part III [17] | |||||
| Hoehn and Yahr stage [17,18] | |||||
| PDQ-39 | |||||
| TUG [19,20,21] | |||||
| CGI-S [22] | |||||
| CGI-C [22] | |||||
| PGI-S [22] | |||||
| PGI-C [22] | |||||
| mKinetikos active tests 1-min quiet stance, 10 m walk test, finger-tapping test | |||||
| mKinetikos passive tests Kinematics-based gait and balance features and displacements | |||||
| PSSUQ |
| Baseline Demographic and Clinical Data (n = 20) | |
|---|---|
| Age (mean, SD) | 60.8 ± 11.2 |
| Male sex (% (n)) | 70% (14) |
| Time since diagnosis (mean, SD) | 7.7 ± 5.9 |
| Presence of motor fluctuation (% (n)) | 40% (8) |
| Presence of dyskinesias (% (n)) | 45% (9) |
| Presence of freezing (% (n)) | 45% (9) |
| MDS-UPDRS I (range 0–52) | 9.6 ± 6.0 |
| MDS-UPDRS II (range 0–52) | 9.7 ± 7.0 |
| MDS-UPDRS III (range, 0–132) | 24.9 ± 16.1 |
| MDS-UPDRS IV (range 0–24) | 3.0 ± 4.2 |
| MDS-UPDRS Total (range 0–260) | 46.8 ± 26.2 |
| Hoehn and Yahr stage (range 1–5) | 2.0 ± 0.5 |
| TUG (s) | 8.9 ± 2.8 |
| CGI–S (range 0–7) | 3.2 ± 1.0 |
| PGI–S (range 0–7) | 3.3 ± 1.0 |
| PDQ-39 (Median [Min, Max]; range 0–7) | 25 [2, 73] |
| Feasibility Data | |||
|---|---|---|---|
| 1 Month | 3 Months | 7 Months | |
| Satisfaction (PSSUQ—Item 1; range 0–7) | 2.2 ± 1.2 | 1.6 ± 1.0 | 1.5 ± 1.1 |
| Dropouts (%, n) | 0% (0) | 15% (3) | 0% (0) |
| Compliance (mean %, SD) | |||
| Patients with a low level of compliance | 46.6 | 32.4 | 15.8 |
| Patients with a medium level of compliance | 53.2 ± 12.8 | 60.4 ± 9.1 | 54.8 ± 12.5 |
| Patients with a high level of compliance | 72.7 ± 6.5 | 83.0 ± 6.9 | 85.2 ± 7.5 |
| Weekly active tests completed (mean %, SD) | 88.2 ± 28.3 | 80.4 ± 39.2 | 71.6 ± 45.8 |
| Weekly walk tests completed (mean %, SD) | 80.9 ± 40.0 | 75.0 ± 43.7 | 69.1 ± 46.5 |
| Weekly balance tests completed (mean %, SD) | 94.1 ± 15.9 | 86.8 ± 33.6 | 75.0 ± 44.5 |
| Weekly tapping tests completed (mean %, SD) | 89.7 ± 29.1 | 79.4 ± 40.3 | 70.6 ± 46.3 |
| Daily PGI survey completed (mean %, SD) | 55.5 ± 34.0 | 49.6 ± 31.2 | 39.5 ± 33.0 |
| Participants adherence to medication notifications (mean %, SD) | 58.0 ± 34.1 | 76.1 ± 34.9 | 62.1 ± 38.7 |
| Interactions through the chat (mean (SD)) | 4 ± 7 | 1 ± 2 | 1 ± 1 |
| Usability Data | |||
| 1 Month | 3 Months | 7 Months | |
| PSSUQ-total score (range 0–133) | 37.4 ± 17.3 | 34.5 ± 16.1 | 31.3 ± 19.0 |
| PSSUQ-system usefulness (range 0–42) | 11.8 ± 5.5 | 10.9 ± 4.5 | 10.2 ± 5.4 |
| PSSUQ-information quality (range 0–42) | 11.8 ± 7.5 | 10.4 ± 5.9 | 10.1 ± 7.6 |
| PSSUQ-interface quality (range 0–21) | 5.6 ± 2.9 | 5.7 ± 3.1 | 4.4 ± 3.4 |
| Clinical Data | |||
| 1 Month | 3 Months | 7 Months | |
| TUG (s) | 8.2 ± 2.2 | 7.8 ± 1.7 | 9.3 ± 5.2 |
| MDS-UPDRS III (range, 0–132) | 29.5 ± 15.7 | 27.4 ± 16.9 | 23.4 ± 17.4 |
| CGI–C (range 0–7) | 2.9 ± 1.2 | 3.1 ± 1.0 | 3.1 ± 0.9 |
| PGI–C (range 0–7) | 2.8 ± 1.4 | 2.5 ± 0.8 | 3.5 ± 1.3 |
| MDS-UPDRS Tapping | 3.18 ± 1.78 | 3.13 ± 1.71 | 2.00 ± 1.85 |
| MDS-UPDRS Balance | 2.00 ± 1.80 | 1.44 ± 1.46 | 1.73 ± 1.49 |
| MDS-UPDRS FM score | 2.06 ± 2.08 | 1.56 ± 1.55 | 1.73 ± 1.58 |
| mKinetikos Scores | |||
| 1 Month | 3 Months | 7 Months | |
| mTapping (au *) | 2.36 ± 1.34 | 2.10 ± 1.30 | 1.75 ± 0.77 |
| mTUG (au *) | 8.04 ± 1.45 | 8.10 ± 1.15 | 8.22 ± 1.35 |
| mMDS FM (au *) | 1.87 ± 0.84 | 1.50 ± 0.91 | 1.55 ± 0.91 |
| mMDS Balance (au *) | 1.94 ± 0.94 | 1.56 ± 0.94 | 1.68 ± 0.94 |
| mPGI (au *) | 74.81 ± 22.23 | 72.56 ± 22.77 | 70.66 ± 31.28 |
| Displacements | |||
| 1 Month | 3 Month | 7 Month | |
| Walking minutes/day (min) | 14.9 ± 10.8 | 18.2 ± 8.6 | 9.3 ± 5.9 |
| Distance traveled/day (km) | 27.99 ± 36.50 | 28.00 ± 22.80 | 12.06 ± 15.88 |
| Low Compliance (n = 1) | Medium Compliance (n = 8) | High Compliance (n = 8) | |
|---|---|---|---|
| Age (mean, SD) | 55 | 63.5 ± 11.6 | 58.8 ± 12.3 |
| Male sex (% (n)) | 0 (0) | 75.0 (6) | 87.5 (7) |
| Time since diagnosis (years; mean, SD) | 6.0 | 10.4 ± 5.2 | 5.0 ± 5.8 |
| MDS-UPDRS III (mean, SD) | 18.0 | 31.6 ± 20.6 | 23.5 ± 11.6 |
| MDS-UPDRS Total (mean, SD) | 51.0 | 62.1(30.7) | 40.5 ± 17.2 |
| TUG (s; mean, SD) | 9.5 | 10.3 ± 3.7 | 7.8 ± 1.0 |
| PDQ-39 (mean, SD) | 36.0 | 44.2 (19.7) | 19.1 (21.6) |
| Clinical Variable | mKinetikos Score | mVariable1 | mVariable2 | r | p-Value | A | B | C |
|---|---|---|---|---|---|---|---|---|
| MDS-UPDRS_Tapping score | mTapping | Number of touches | Maximum distance between touches | 0.51 | <0.001 | −0.03 | 0.78 | 4.62 |
| TUG (s) | mTUG | Stride length (m) | Stance duration | 0.69 | <0.001 | −7.01 | 2.35 | 13.72 |
| MDS-UPDRS_FM score | mMDS_FM | Stride length (m) | Centroidal frequency (Hz) | 0.64 | <0.001 | −5.72 | −0.03 | 7.75 |
| MDS-UPDRS_Balance score | mMDS_Balance | Stride length (m) | Centroidal frequency (Hz) | 0.63 | <0.001 | −5.67 | −0.05 | 7.96 |
| PGI | mPGI | - | - | −0.61 | <0.001 | - | - | - |
| CGI | mPGI | - | - | −0.56 | <0.001 | - | - | - |
Publisher’s Note: MDPI stays neutral with regard to jurisdictional claims in published maps and institutional affiliations. |
© 2021 by the authors. Licensee MDPI, Basel, Switzerland. This article is an open access article distributed under the terms and conditions of the Creative Commons Attribution (CC BY) license (https://creativecommons.org/licenses/by/4.0/).
Share and Cite
Bouça-Machado, R.; Pona-Ferreira, F.; Leitão, M.; Clemente, A.; Vila-Viçosa, D.; Kauppila, L.A.; Costa, R.M.; Matias, R.; Ferreira, J.J. Feasibility of a Mobile-Based System for Unsupervised Monitoring in Parkinson’s Disease. Sensors 2021, 21, 4972. https://doi.org/10.3390/s21154972
Bouça-Machado R, Pona-Ferreira F, Leitão M, Clemente A, Vila-Viçosa D, Kauppila LA, Costa RM, Matias R, Ferreira JJ. Feasibility of a Mobile-Based System for Unsupervised Monitoring in Parkinson’s Disease. Sensors. 2021; 21(15):4972. https://doi.org/10.3390/s21154972
Chicago/Turabian StyleBouça-Machado, Raquel, Filipa Pona-Ferreira, Mariana Leitão, Ana Clemente, Diogo Vila-Viçosa, Linda Azevedo Kauppila, Rui M. Costa, Ricardo Matias, and Joaquim J. Ferreira. 2021. "Feasibility of a Mobile-Based System for Unsupervised Monitoring in Parkinson’s Disease" Sensors 21, no. 15: 4972. https://doi.org/10.3390/s21154972
APA StyleBouça-Machado, R., Pona-Ferreira, F., Leitão, M., Clemente, A., Vila-Viçosa, D., Kauppila, L. A., Costa, R. M., Matias, R., & Ferreira, J. J. (2021). Feasibility of a Mobile-Based System for Unsupervised Monitoring in Parkinson’s Disease. Sensors, 21(15), 4972. https://doi.org/10.3390/s21154972

