A Local TR-MUSIC Algorithm for Damage Imaging of Aircraft Structures
Abstract
1. Introduction
2. Local TR-MUSIC Algorithm
2.1. Transfer Matrix
2.2. Time-Reversal Operation
2.3. Singular Value Decompositions
2.4. TR-MUSIC Imaging Algorithm
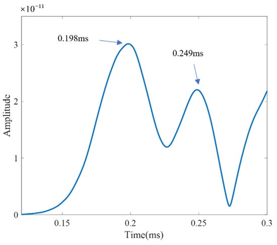
2.5. Local TR-MUSIC Imaging Algorithm
3. Simulation Verification
3.1. Single- and Multi-Damage Identification
3.2. Verification of Local TR-MUSIC Algorithm
3.3. Super-Resolution Imaging
3.4. Enhancing Radial Resolution Using Dual Arrays
4. Experimental Section
4.1. Single Damage Case
4.2. Two-Damage Case
5. Conclusions
- (1)
- The TR-MUSIC algorithm is constructed by the orthogonality of signal and noise subspaces, which are divided by the eigenvalue decomposition of the TR operation of the transfer matrix.
- (2)
- An enhanced algorithm, the local TR-MUSIC algorithm, is proposed by using the moving time window to calculate the space spectrum of TR-MUSIC at different moments.
- (3)
- The TR-MUSIC algorithm can effectively detect damage with a higher angle location accuracy than the radial location accuracy.
- (4)
- The TR-MUSIC algorithm can break through the restriction of the Rayleigh criterion and realize the superresolution identification of multiple damage with distances smaller than a half-wavelength.
- (5)
- By using the local TR-MUSIC algorithm conducted by a moving time window, the proposed algorithm can detect multiple damages, even though the number of identified damage can break through the limitation of the number of sensor array elements.
- (6)
- The damage image in the experiment has a worse radial accuracy than that in the simulation due to the effect of noise.
- (7)
- Some time-varying parameters, like temperature, load and so on, have a significant influence on Lamb waves. Although there are some focusing on eliminating the effect of these parameters, especially the effect of temperature, it is necessary to develop a suitable compensation method for the proposed TR-MUSIC algorithm in the future.
Author Contributions
Funding
Institutional Review Board Statement
Informed Consent Statement
Conflicts of Interest
References
- Qing, X.; Li, W.; Wang, Y.; Sun, H. Piezoelectric Transducer-Based Structural Health Monitoring for Aircraft Applications. Sensors 2019, 19, 545. [Google Scholar] [CrossRef]
- Carboni, M.; Crivelli, D. An acoustic emission based structural health monitoring approach to damage development in solid railway axles. Int. J. Fatigue 2020, 139, 105753. [Google Scholar] [CrossRef]
- Saeedifar, M.; Zarouchas, D. Damage characterization of laminated composites using acoustic emission: A review. Compos. Part B Eng. 2020, 195, 108039. [Google Scholar] [CrossRef]
- Sun, H.; Wang, T.; Lin, D.W.; Wang, Y.S.; Qing, X.L. An Eddy Current-Based Structural Health Monitoring Technique for Tracking Bolt Cracking. Sensors 2020, 20, 6843. [Google Scholar] [CrossRef] [PubMed]
- Sun, H.; Wang, T.; Liu, Q.; Qing, X. A novel eddy current array sensing film for quantitatively monitoring hole-edge crack growth in bolted joints. Smart Mater. Struct. 2018, 28, 015018. [Google Scholar] [CrossRef]
- Sun, H.; Wang, T.; Liu, Q.; Wang, Y.; Qing, X. A two-dimensional eddy current array–based sensing film for estimating failure modes and tracking damage growth of bolted joints. Struct. Heal. Monit. 2021, 20, 877–893. [Google Scholar] [CrossRef]
- Neubeck, R.; Kexel, C.; Moll, J. Matrix techniques for Lamb-wave damage imaging in metal plates. Smart Mater. Struct. 2020, 29, 117003. [Google Scholar] [CrossRef]
- Zhang, H.; Hua, J.; Gao, F.; Lin, J. Efficient Lamb-wave based damage imaging using multiple sparse Bayesian learning in composite laminates. NDT E Int. 2020, 116, 102277. [Google Scholar] [CrossRef]
- Campos, F.D.; de Castro, B.A.; Budoya, D.E.; Baptista, F.G.; Ulson, J.A.C.; Andreoli, A.L. Feature extraction approach insensitive to temperature variations for impedance-based structural health monitoring. IET Sci. Meas. Technol. 2019, 13, 536–543. [Google Scholar] [CrossRef]
- Soman, R.; Singh, S.K.; Wandowski, T.; Malinowski, P.M. Development of robust metric based on cumulative electrical power for electromechanical impedance based structural health monitoring. Smart Mater. Struct. 2020, 29. [Google Scholar] [CrossRef]
- Erdogan, Y.S.; Ada, M. A computer-vision based vibration transducer scheme for structural health monitoring applications. Smart Mater. Struct. 2020, 29, 0850007. [Google Scholar] [CrossRef]
- Fan, G.; Li, J.; Hao, H. Vibration signal denoising for structural health monitoring by residual convolutional neural networks. Measurement 2020, 157, 107651. [Google Scholar] [CrossRef]
- Roach, D. Real time crack detection using mountable comparative vacuum monitoring sensors. Smart Struct. Syst. 2009, 5, 317–328. [Google Scholar] [CrossRef]
- Mitra, M.; Gopalakrishnan, S. Guided wave based structural health monitoring: A review. Smart Mater. Struct. 2016, 25, 053001. [Google Scholar] [CrossRef]
- Willberg, C.; Duczek, S.; Vivar-Perez, J.M.; Ahmad, Z.A.B. Simulation Methods for Guided Wave-Based Structural Health Monitoring. Appl. Mech. Rev. 2015, 67, 20. [Google Scholar] [CrossRef]
- Azuara, G.; Barrera, E.; Ruiz, M.; Bekas, D. Damage Detection and Characterization in Composites Using a Geometric Modification of the RAPID Algorithm. IEEE Sens. J. 2019, 20, 2084–2093. [Google Scholar] [CrossRef]
- Zhao, J.J.; Miao, X.T.; Li, F.C.; Li, H.G. Probabilistic Diagnostic Algorithm-Based Damage Detection for Plates with Non-uniform Sections Using the Improved Weight Function. J. Vib. Eng. Technol. 2018, 6, 249–260. [Google Scholar] [CrossRef]
- Bahador, M.M.; Zaimbashi, A.; Rahgozar, R. Three-stage Lamb-wave-based damage localization algorithm in plate-like structures for structural health monitoring applications. Signal Process. 2020, 168, 107360. [Google Scholar] [CrossRef]
- Bao, Q.; Yuan, S.F.; Wang, Y.W.; Qiu, L. Anisotropy compensated MUSIC algorithm based composite structure damage imaging method. Compos. Struct. 2019, 214, 293–303. [Google Scholar] [CrossRef]
- Druet, T.; Recoquillay, A.; Chapuis, B.; Moulin, E. Passive guided wave tomography for structural health monitoring. J. Acoust. Soc. Am. 2019, 146, 2395–2403. [Google Scholar] [CrossRef]
- Druet, T.; Tastet, J.-L.; Chapuis, B.; Moulin, E. Autocalibration method for guided wave tomography with undersampled data. Wave Motion 2019, 89, 265–283. [Google Scholar] [CrossRef]
- Nokhbatolfoghahai, A.; Navazi, H.M.; Groves, R.M. Use of delay and sum for sparse reconstruction improvement for structural health monitoring. J. Intell. Mater. Syst. Struct. 2019, 30, 2919–2931. [Google Scholar] [CrossRef]
- Ren, Y.Q.; Qiu, L.; Yuan, S.F.; Fang, F. Gaussian mixture model and delay-and-sum based 4D imaging of damage in aircraft composite structures under time-varying conditions. Mech. Syst. Signal Process. 2020, 135, 106390. [Google Scholar] [CrossRef]
- Schmidt, R. Multiple emitter location and signal parameter estimation. IEEE Trans. Antennas Propag. 1986, 34, 276–280. [Google Scholar] [CrossRef]
- Engholm, M.; Stepinski, T. Direction of arrival estimation of Lamb waves using circular arrays. Struct. Heal. Monit. 2011, 10, 467–480. [Google Scholar] [CrossRef]
- Ambroziński, Ł.; Stepinski, T.; Uhl, T. Efficient tool for designing 2D phased arrays in lamb waves imaging of isotropic structures. J. Intell. Mater. Syst. Struct. 2015, 26, 2283–2294. [Google Scholar] [CrossRef]
- Zhang, Z.H.; Zhong, Y.T.; Xiang, J.W. TAM and MUSIC Approach for Impact-Source Localization under Deformation Conditions. Sensors 2020, 20, 3151. [Google Scholar] [CrossRef]
- Zhang, Z.H.; Zhong, Y.T.; Xiang, J.W.; Jiang, Y.Y. Phase correction improved multiple signal classification for impact source localization under varying temperature conditions. Measurement 2020, 152, 107374. [Google Scholar] [CrossRef]
- Zhang, Z.H.; Zhong, Y.T.; Xiang, J.W.; Jiang, Y.Y.; Wang, Z.L. Research on the Performance and Improvement of Uniform Linear Sensors Array-Based Impact Localization Method Under Vibration Conditions. IEEE Sens. J. 2020, 20, 14932–14939. [Google Scholar] [CrossRef]
- Yuan, S.; Zhong, Y.; Qiu, L.; Wang, Z. Two-dimensional near-field multiple signal classification algorithm–based impact localization. J. Intell. Mater. Syst. Struct. 2015, 26, 400–413. [Google Scholar] [CrossRef]
- Bao, Q.; Yuan, S.F.; Guo, F.Y. A new synthesis aperture-MUSIC algorithm for damage diagnosis on complex aircraft structures. Mech. Syst. Signal Process. 2020, 136, 106491. [Google Scholar] [CrossRef]
- Devaney, A.J.; Marengo, E.A.; Gruber, F.K. Time-reversal-based imaging and inverse scattering of multiply scattering point targets. J. Acoust. Soc. Am. 2005, 118, 3129–3138. [Google Scholar] [CrossRef]
- Simonetti, F. Localization of pointlike scatterers in solids with subwavelength resolution. Appl. Phys. Lett. 2006, 89, 094105. [Google Scholar] [CrossRef]
- Fan, C.; Pan, M.; Luo, F. Ultrasonic broadband time-reversal with multiple signal classification imaging using full matrix capture. Insight-Non-Destr. Test. Cond. Monit. 2014, 56, 487–491. [Google Scholar] [CrossRef]
- He, J.; Yuan, F.-G. Lamb wave-based subwavelength damage imaging using the DORT-MUSIC technique in metallic plates. Struct. Heal. Monit. 2016, 15, 65–80. [Google Scholar] [CrossRef]
























| Case | Damage Numbers | Damage Size (mm) | Damage Center (mm) |
|---|---|---|---|
| I | 1 | 4 × 4 × 1 | (20, 20) |
| II | 3 | 4 × 4 × 1 | (0, 100), (0, 0), (0, −50) |
| Damage No. | Real Damage Location | Identified Damage Location |
|---|---|---|
| 1 | (−50 mm, −50 mm) | None |
| 2 | (0 mm, 0 mm) | (0 mm, 1 mm) |
| 3 | (50 mm, 50 mm) | (100 mm, 60 mm) |
| No. | Eigenvalue | No. | Eigenvalue | No. | Eigenvalue |
|---|---|---|---|---|---|
| 1 | 2.15 × 10−18 | 5 | 9.10 × 10−28 | 9 | 1.06 × 10−30 |
| 2 | 1.70 × 10−21 | 6 | 9.71 × 10−30 | 10 | 4.37 × 10−31 |
| 3 | 1.09 × 10−24 | 7 | 3.39 × 10−30 | 11 | 2.69 × 10−32 |
| 4 | 9.41 × 10−28 | 8 | 1.83 × 10−30 |
Publisher’s Note: MDPI stays neutral with regard to jurisdictional claims in published maps and institutional affiliations. |
© 2021 by the authors. Licensee MDPI, Basel, Switzerland. This article is an open access article distributed under the terms and conditions of the Creative Commons Attribution (CC BY) license (https://creativecommons.org/licenses/by/4.0/).
Share and Cite
Fan, S.; Zhang, A.; Sun, H.; Yun, F. A Local TR-MUSIC Algorithm for Damage Imaging of Aircraft Structures. Sensors 2021, 21, 3334. https://doi.org/10.3390/s21103334
Fan S, Zhang A, Sun H, Yun F. A Local TR-MUSIC Algorithm for Damage Imaging of Aircraft Structures. Sensors. 2021; 21(10):3334. https://doi.org/10.3390/s21103334
Chicago/Turabian StyleFan, Shilei, Aijia Zhang, Hu Sun, and Fenglin Yun. 2021. "A Local TR-MUSIC Algorithm for Damage Imaging of Aircraft Structures" Sensors 21, no. 10: 3334. https://doi.org/10.3390/s21103334
APA StyleFan, S., Zhang, A., Sun, H., & Yun, F. (2021). A Local TR-MUSIC Algorithm for Damage Imaging of Aircraft Structures. Sensors, 21(10), 3334. https://doi.org/10.3390/s21103334

